Evaluation of prescription medication changes following sleeve gastrectomy surgery.

IF 1.9 Q3 ENDOCRINOLOGY & METABOLISM
Obesity Science & Practice Pub Date : 2024-02-13 eCollection Date: 2024-02-01 DOI:10.1002/osp4.742
Gina Arena, Alex Kitsos, Jeffrey M Hamdorf, Mike D'Arcy-Evans, Michelle Kilpatrick, Alison Venn, David B Preen
{"title":"Evaluation of prescription medication changes following sleeve gastrectomy surgery.","authors":"Gina Arena, Alex Kitsos, Jeffrey M Hamdorf, Mike D'Arcy-Evans, Michelle Kilpatrick, Alison Venn, David B Preen","doi":"10.1002/osp4.742","DOIUrl":null,"url":null,"abstract":"<p><strong>Objective: </strong>The increasing global prevalence of obesity, coupled with its association with chronic health conditions and rising healthcare costs, highlights the need for effective interventions; however, despite the availability of treatment options, the ongoing success of primary interventions in maintaining long-term weight loss remains limited. This study examined the prescription medication dispensing changes following sleeve gastrectomy in Australians aged 45 years and over.</p><p><strong>Methods: </strong>In a retrospective analysis of 847 bariatric surgery patients from the New South Wales 45 and Up Study, the assessment of medication patterns categorizing into three groups: gastrointestinal, metabolic, cardiorespiratory, musculoskeletal, and nervous systems was conducted. Each drug class was analyzed, focusing on patients with dispensing records within the 12 months before surgery. This study employed interrupted time-series analysis to compare pre- and post-surgery medication usage.</p><p><strong>Results: </strong>With a predominantly female population (76.9%) and an average age of 57.2 (standard deviation 5.71), there were statistically significant reductions in both unique medications (12.5% decrease, <i>p</i> = 0.004) and total medications dispensed (15.9% decrease, <i>p</i> = 0.003) from 12 months before surgery to 13-24 months after bariatric surgery. All medication categories, except opioids, showed reductions. Notably, the most significant reductions were observed in diabetes (38.6%), agents acting on the renin-angiotensin system (40.4%), lipid modifying agents (26.5%), anti-inflammatory products (46.3%), and obstructive airway diseases (53.3%) medications during this time frame.</p><p><strong>Conclusion: </strong>These findings suggest that sleeve gastrectomy provides an effective therapeutic intervention for patients with comorbidities requiring multiple medications, especially for obesity-related diseases such as diabetes, cardiovascular, respiratory and musculoskeletal disorders.</p>","PeriodicalId":19448,"journal":{"name":"Obesity Science & Practice","volume":"10 1","pages":"e742"},"PeriodicalIF":1.9000,"publicationDate":"2024-02-13","publicationTypes":"Journal Article","fieldsOfStudy":null,"isOpenAccess":false,"openAccessPdf":"https://www.ncbi.nlm.nih.gov/pmc/articles/PMC10863745/pdf/","citationCount":"0","resultStr":null,"platform":"Semanticscholar","paperid":null,"PeriodicalName":"Obesity Science & Practice","FirstCategoryId":"1085","ListUrlMain":"https://doi.org/10.1002/osp4.742","RegionNum":0,"RegionCategory":null,"ArticlePicture":[],"TitleCN":null,"AbstractTextCN":null,"PMCID":null,"EPubDate":"2024/2/1 0:00:00","PubModel":"eCollection","JCR":"Q3","JCRName":"ENDOCRINOLOGY & METABOLISM","Score":null,"Total":0}
引用次数: 0

Abstract

Objective: The increasing global prevalence of obesity, coupled with its association with chronic health conditions and rising healthcare costs, highlights the need for effective interventions; however, despite the availability of treatment options, the ongoing success of primary interventions in maintaining long-term weight loss remains limited. This study examined the prescription medication dispensing changes following sleeve gastrectomy in Australians aged 45 years and over.

Methods: In a retrospective analysis of 847 bariatric surgery patients from the New South Wales 45 and Up Study, the assessment of medication patterns categorizing into three groups: gastrointestinal, metabolic, cardiorespiratory, musculoskeletal, and nervous systems was conducted. Each drug class was analyzed, focusing on patients with dispensing records within the 12 months before surgery. This study employed interrupted time-series analysis to compare pre- and post-surgery medication usage.

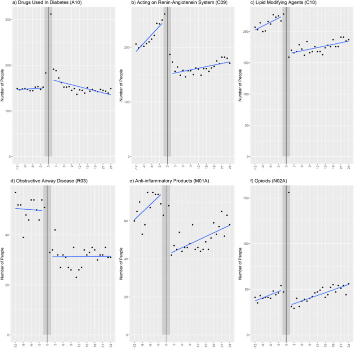
Results: With a predominantly female population (76.9%) and an average age of 57.2 (standard deviation 5.71), there were statistically significant reductions in both unique medications (12.5% decrease, p = 0.004) and total medications dispensed (15.9% decrease, p = 0.003) from 12 months before surgery to 13-24 months after bariatric surgery. All medication categories, except opioids, showed reductions. Notably, the most significant reductions were observed in diabetes (38.6%), agents acting on the renin-angiotensin system (40.4%), lipid modifying agents (26.5%), anti-inflammatory products (46.3%), and obstructive airway diseases (53.3%) medications during this time frame.

Conclusion: These findings suggest that sleeve gastrectomy provides an effective therapeutic intervention for patients with comorbidities requiring multiple medications, especially for obesity-related diseases such as diabetes, cardiovascular, respiratory and musculoskeletal disorders.

Abstract Image

Abstract Image

Abstract Image

评估袖状胃切除术后处方药的变化。
目的:肥胖症在全球的发病率越来越高,再加上肥胖症与慢性疾病和医疗成本上升的关系,凸显了采取有效干预措施的必要性;然而,尽管有各种治疗方案可供选择,但在维持长期减肥效果方面,初级干预措施的持续成功率仍然有限。本研究调查了 45 岁及以上澳大利亚人袖状胃切除术后的处方配药变化:在对新南威尔士州 45 岁及以上研究中的 847 名减肥手术患者进行的回顾性分析中,评估了分为三组的用药模式:胃肠道系统、代谢系统、心肺系统、肌肉骨骼系统和神经系统。对每一类药物都进行了分析,重点是手术前 12 个月内有配药记录的患者。这项研究采用了间断时间序列分析法来比较手术前后的用药情况:患者以女性为主(76.9%),平均年龄为 57.2 岁(标准偏差为 5.71),从手术前 12 个月到减肥手术后 13-24 个月,独特药物(减少 12.5%,p = 0.004)和配药总量(减少 15.9%,p = 0.003)均有统计学意义上的显著减少。除阿片类药物外,所有药物类别均有所减少。值得注意的是,在这段时间内,糖尿病药物(38.6%)、肾素-血管紧张素系统药物(40.4%)、调脂药物(26.5%)、抗炎产品(46.3%)和阻塞性气道疾病药物(53.3%)的减少幅度最大:这些研究结果表明,袖带胃切除术为需要服用多种药物的合并症患者提供了有效的治疗干预,尤其是与肥胖相关的疾病,如糖尿病、心血管疾病、呼吸系统疾病和肌肉骨骼疾病。
本文章由计算机程序翻译,如有差异,请以英文原文为准。
求助全文
约1分钟内获得全文 求助全文
来源期刊
Obesity Science & Practice
Obesity Science & Practice ENDOCRINOLOGY & METABOLISM-
CiteScore
4.20
自引率
4.50%
发文量
73
审稿时长
29 weeks
×
引用
GB/T 7714-2015
复制
MLA
复制
APA
复制
导出至
BibTeX EndNote RefMan NoteFirst NoteExpress
×
提示
您的信息不完整,为了账户安全,请先补充。
现在去补充
×
提示
您因"违规操作"
具体请查看互助需知
我知道了
×
提示
确定
请完成安全验证×
copy
已复制链接
快去分享给好友吧!
我知道了
右上角分享
点击右上角分享
0
联系我们:info@booksci.cn Book学术提供免费学术资源搜索服务,方便国内外学者检索中英文文献。致力于提供最便捷和优质的服务体验。 Copyright © 2023 布克学术 All rights reserved.
京ICP备2023020795号-1
ghs 京公网安备 11010802042870号
Book学术文献互助
Book学术文献互助群
群 号:604180095
Book学术官方微信