Treat, follow-up, or discharge? An aid in sonographic decisions for the borderline centered neonatal/infantile hips.

IF 1.5 Q3 RADIOLOGY, NUCLEAR MEDICINE & MEDICAL IMAGING
Journal of Ultrasonography Pub Date : 2024-02-07 eCollection Date: 2024-02-01 DOI:10.15557/jou.2024.0003
Konstantinos Chlapoutakis, Maria Raissaki, Styliani Markatzinou, Nikolaos Skoulikaris, Antonios Galanos, Adam Hatzidakis, Panagiotis Prassopoulos
{"title":"Treat, follow-up, or discharge? An aid in sonographic decisions for the borderline centered neonatal/infantile hips.","authors":"Konstantinos Chlapoutakis, Maria Raissaki, Styliani Markatzinou, Nikolaos Skoulikaris, Antonios Galanos, Adam Hatzidakis, Panagiotis Prassopoulos","doi":"10.15557/jou.2024.0003","DOIUrl":null,"url":null,"abstract":"<p><strong>Aim: </strong>To investigate whether linear measurements or ratios on the Graf's \"standard plane\" ultrasound images of the neonatal/infantile hip, can support the clinically important differentiation between type I and type II hips.</p><p><strong>Material and methods: </strong>A total of 60 Graf type II hips and 124 randomly selected Graf type I hips, matched to the gestational age at delivery, birth weight, delivery mode, and age at the time of the examination, were identified through our hip screening service, during a period of two years. The images were diagnostically suitable, following anatomical identification and usability check, according to Graf. Anatomical landmarks including the lower limb of the os ilium, the bony rim, the silhouette of the os ilium, the labrum and the femoral head's borders, were used to determine the measurements and ratios which quantified their inter-relationships.</p><p><strong>Results: </strong>The indices which differed significantly between type I and type II hips included: (a) the width of the \"bony roof\" (cut-off value 5.91 mm, sensitivity: 75%, specificity: 70%), (b) the ratio of the width of the \"bony roof\" to the femoral head's width (cut-off value 0.40, sensitivity 83%, specificity 71%), and (c) the ratio of the cartilaginous acetabular roof's width (including the labrum), to the width of the femoral head (cut-off value 0.450, sensitivity 82%, specificity 67%).</p><p><strong>Conclusions: </strong>Newly introduced measurements and calculated ratios on \"standard plane\" ultrasound images can be used as additional indices in the differentiation between Graf's types of \"centered hips\", thus increasing the diagnostic certainty of the examiner in borderline cases and limiting unnecessary re-examinations or treatment.</p>","PeriodicalId":45612,"journal":{"name":"Journal of Ultrasonography","volume":"24 94","pages":"1-7"},"PeriodicalIF":1.5000,"publicationDate":"2024-02-07","publicationTypes":"Journal Article","fieldsOfStudy":null,"isOpenAccess":false,"openAccessPdf":"https://www.ncbi.nlm.nih.gov/pmc/articles/PMC10850939/pdf/","citationCount":"0","resultStr":null,"platform":"Semanticscholar","paperid":null,"PeriodicalName":"Journal of Ultrasonography","FirstCategoryId":"1085","ListUrlMain":"https://doi.org/10.15557/jou.2024.0003","RegionNum":0,"RegionCategory":null,"ArticlePicture":[],"TitleCN":null,"AbstractTextCN":null,"PMCID":null,"EPubDate":"2024/2/1 0:00:00","PubModel":"eCollection","JCR":"Q3","JCRName":"RADIOLOGY, NUCLEAR MEDICINE & MEDICAL IMAGING","Score":null,"Total":0}
引用次数: 0

Abstract

Aim: To investigate whether linear measurements or ratios on the Graf's "standard plane" ultrasound images of the neonatal/infantile hip, can support the clinically important differentiation between type I and type II hips.

Material and methods: A total of 60 Graf type II hips and 124 randomly selected Graf type I hips, matched to the gestational age at delivery, birth weight, delivery mode, and age at the time of the examination, were identified through our hip screening service, during a period of two years. The images were diagnostically suitable, following anatomical identification and usability check, according to Graf. Anatomical landmarks including the lower limb of the os ilium, the bony rim, the silhouette of the os ilium, the labrum and the femoral head's borders, were used to determine the measurements and ratios which quantified their inter-relationships.

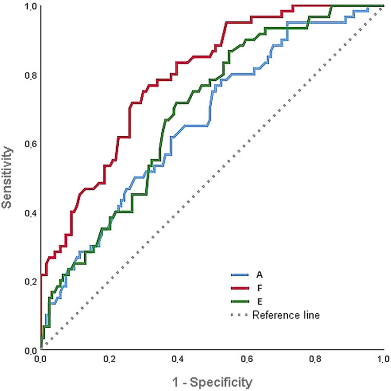
Results: The indices which differed significantly between type I and type II hips included: (a) the width of the "bony roof" (cut-off value 5.91 mm, sensitivity: 75%, specificity: 70%), (b) the ratio of the width of the "bony roof" to the femoral head's width (cut-off value 0.40, sensitivity 83%, specificity 71%), and (c) the ratio of the cartilaginous acetabular roof's width (including the labrum), to the width of the femoral head (cut-off value 0.450, sensitivity 82%, specificity 67%).

Conclusions: Newly introduced measurements and calculated ratios on "standard plane" ultrasound images can be used as additional indices in the differentiation between Graf's types of "centered hips", thus increasing the diagnostic certainty of the examiner in borderline cases and limiting unnecessary re-examinations or treatment.

Abstract Image

Abstract Image

Abstract Image

治疗、随访还是出院?新生儿/婴儿髋关节边缘中心声像图辅助决策。
目的:研究新生儿/婴儿髋关节格拉夫 "标准平面 "超声图像上的线性测量值或比率是否有助于临床上区分I型和II型髋关节:在两年的时间里,我们通过髋关节筛查服务共发现了 60 个格拉夫 II 型髋关节和 124 个随机抽取的格拉夫 I 型髋关节,它们与分娩时的胎龄、出生体重、分娩方式和检查时的年龄相匹配。根据格拉夫的说法,经过解剖鉴定和可用性检查,这些图像在诊断上是合适的。解剖地标包括髂骨下缘、骨缘、髂骨轮廓、髂唇和股骨头边界,这些地标被用来确定测量值和比率,量化它们之间的相互关系:结果:Ⅰ型和Ⅱ型髋关节之间存在明显差异的指标包括(a) "骨顶 "宽度(临界值为 5.91 毫米,敏感性:75%,特异性:70%),(b) "骨顶 "宽度与股骨头宽度的比率(临界值为 0.40,灵敏度为 83%,特异度为 71%),以及 (c) 髋臼软骨顶宽度(包括髋臼唇)与股骨头宽度之比(临界值为 0.450,灵敏度为 82%,特异度为 67%):结论:在 "标准平面 "超声图像上新引入的测量值和计算比率可作为区分格拉夫 "中心髋 "类型的附加指标,从而提高检查者对边缘病例的诊断确定性,并限制不必要的复查或治疗。
本文章由计算机程序翻译,如有差异,请以英文原文为准。
求助全文
约1分钟内获得全文 求助全文
来源期刊
Journal of Ultrasonography
Journal of Ultrasonography RADIOLOGY, NUCLEAR MEDICINE & MEDICAL IMAGING-
CiteScore
2.30
自引率
0.00%
发文量
58
审稿时长
20 weeks
×
引用
GB/T 7714-2015
复制
MLA
复制
APA
复制
导出至
BibTeX EndNote RefMan NoteFirst NoteExpress
×
提示
您的信息不完整,为了账户安全,请先补充。
现在去补充
×
提示
您因"违规操作"
具体请查看互助需知
我知道了
×
提示
确定
请完成安全验证×
copy
已复制链接
快去分享给好友吧!
我知道了
右上角分享
点击右上角分享
0
联系我们:info@booksci.cn Book学术提供免费学术资源搜索服务,方便国内外学者检索中英文文献。致力于提供最便捷和优质的服务体验。 Copyright © 2023 布克学术 All rights reserved.
京ICP备2023020795号-1
ghs 京公网安备 11010802042870号
Book学术文献互助
Book学术文献互助群
群 号:604180095
Book学术官方微信