Stable Levels of Antibodies Against Unrelated Toxoid Vaccines After COVID-19: COVID-19 Infection Does Not Affect Toxoid Vaccine Antibody Levels.

Q1 Medicine
Pathogens and Immunity Pub Date : 2024-02-07 eCollection Date: 2023-01-01 DOI:10.20411/pai.v8i2.627
Suvi T Jokiranta, Simo Miettinen, Sami Salonen, Lauri Kareinen, Ruut Uusitalo, Essi M Korhonen, Jenni Virtanen, Ilkka Kivistö, Kirsi Aaltonen, Dina A Mosselhy, Tinja Lääveri, Anu Kantele, T Petteri Arstila, Hanna Jarva, Olli Vapalahti, Santtu Heinonen, Eliisa Kekäläinen
{"title":"Stable Levels of Antibodies Against Unrelated Toxoid Vaccines After COVID-19: COVID-19 Infection Does Not Affect Toxoid Vaccine Antibody Levels.","authors":"Suvi T Jokiranta, Simo Miettinen, Sami Salonen, Lauri Kareinen, Ruut Uusitalo, Essi M Korhonen, Jenni Virtanen, Ilkka Kivistö, Kirsi Aaltonen, Dina A Mosselhy, Tinja Lääveri, Anu Kantele, T Petteri Arstila, Hanna Jarva, Olli Vapalahti, Santtu Heinonen, Eliisa Kekäläinen","doi":"10.20411/pai.v8i2.627","DOIUrl":null,"url":null,"abstract":"<p><strong>Background: </strong>Lymphopenia is common in COVID-19. This has raised concerns that COVID-19 could affect the immune system akin to measles infection, which causes immune amnesia and a reduction in protective antibodies.</p><p><strong>Methods: </strong>We recruited COVID-19 patients (n = 59) in Helsinki, Finland, and collected plasma samples on 2 to 3 occasions during and after infection. We measured IgG antibodies to diphtheria toxin, tetanus toxoid, and pertussis toxin, along with total IgG, SARS-CoV-2 spike protein IgG, and neutralizing antibodies. We also surveyed the participants for up to 17 months for long-term impaired olfaction as a proxy for prolonged post-acute COVID-19 symptoms.</p><p><strong>Results: </strong>No significant differences were found in the unrelated vaccine responses while the serological response against COVID-19 was appropriate. During the acute phase of the disease, the SARSCoV-2 IgG levels were lower in outpatients when compared to inpatients. SARS-CoV-2 serology kinetics matched expectations. In the acute phase, anti-tetanus and anti-diphtheria IgG levels were lower in patients with prolonged impaired olfaction during follow up than in those without.</p><p><strong>Conclusions: </strong>We could not detect significant decline in overall humoral immunity during or after COVID-19 infection. In severe COVID-19, there appears to be a temporary decline in total IgG levels.</p>","PeriodicalId":36419,"journal":{"name":"Pathogens and Immunity","volume":"8 2","pages":"74-87"},"PeriodicalIF":0.0000,"publicationDate":"2024-02-07","publicationTypes":"Journal Article","fieldsOfStudy":null,"isOpenAccess":false,"openAccessPdf":"https://www.ncbi.nlm.nih.gov/pmc/articles/PMC10860543/pdf/","citationCount":"0","resultStr":null,"platform":"Semanticscholar","paperid":null,"PeriodicalName":"Pathogens and Immunity","FirstCategoryId":"1085","ListUrlMain":"https://doi.org/10.20411/pai.v8i2.627","RegionNum":0,"RegionCategory":null,"ArticlePicture":[],"TitleCN":null,"AbstractTextCN":null,"PMCID":null,"EPubDate":"2023/1/1 0:00:00","PubModel":"eCollection","JCR":"Q1","JCRName":"Medicine","Score":null,"Total":0}
引用次数: 0

Abstract

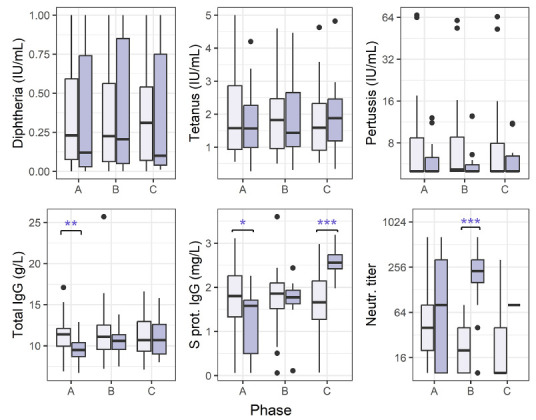
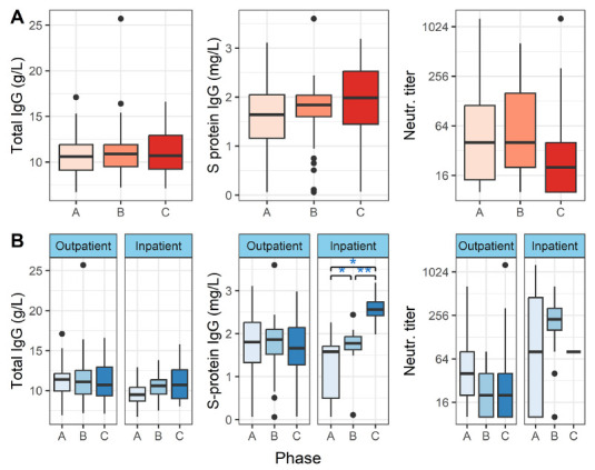
Background: Lymphopenia is common in COVID-19. This has raised concerns that COVID-19 could affect the immune system akin to measles infection, which causes immune amnesia and a reduction in protective antibodies.

Methods: We recruited COVID-19 patients (n = 59) in Helsinki, Finland, and collected plasma samples on 2 to 3 occasions during and after infection. We measured IgG antibodies to diphtheria toxin, tetanus toxoid, and pertussis toxin, along with total IgG, SARS-CoV-2 spike protein IgG, and neutralizing antibodies. We also surveyed the participants for up to 17 months for long-term impaired olfaction as a proxy for prolonged post-acute COVID-19 symptoms.

Results: No significant differences were found in the unrelated vaccine responses while the serological response against COVID-19 was appropriate. During the acute phase of the disease, the SARSCoV-2 IgG levels were lower in outpatients when compared to inpatients. SARS-CoV-2 serology kinetics matched expectations. In the acute phase, anti-tetanus and anti-diphtheria IgG levels were lower in patients with prolonged impaired olfaction during follow up than in those without.

Conclusions: We could not detect significant decline in overall humoral immunity during or after COVID-19 infection. In severe COVID-19, there appears to be a temporary decline in total IgG levels.

Abstract Image

Abstract Image

Abstract Image

COVID-19 病毒感染后,针对非相关类毒素疫苗的抗体水平保持稳定:COVID-19 感染不会影响类毒素疫苗抗体水平。
背景淋巴细胞减少症在 COVID-19 中很常见。这引起了人们的担忧,COVID-19 可能会影响免疫系统,类似于麻疹感染,导致免疫失忆和保护性抗体减少:我们在芬兰赫尔辛基招募了 COVID-19 患者(n = 59),并在感染期间和感染后收集了 2 至 3 次血浆样本。我们测定了白喉毒素、破伤风类毒素和百日咳毒素的 IgG 抗体,以及总 IgG、SARS-CoV-2 尖峰蛋白 IgG 和中和抗体。我们还对参与者进行了长达 17 个月的长期嗅觉受损情况调查,以此作为 COVID-19 急性发作后长期症状的替代指标:结果:与疫苗无关的反应没有发现明显差异,而针对 COVID-19 的血清反应是适当的。在疾病的急性期,门诊患者的 SARSCoV-2 IgG 水平低于住院患者。SARS-CoV-2 血清学动力学符合预期。在急性期,随访期间嗅觉长期受损的患者的抗破伤风和抗白喉 IgG 水平低于嗅觉未受损的患者:结论:在感染 COVID-19 期间或感染后,我们无法检测到整体体液免疫的显著下降。在重症 COVID-19 患者中,总 IgG 水平似乎会暂时下降。
本文章由计算机程序翻译,如有差异,请以英文原文为准。
求助全文
约1分钟内获得全文 求助全文
来源期刊
Pathogens and Immunity
Pathogens and Immunity Medicine-Infectious Diseases
CiteScore
10.60
自引率
0.00%
发文量
16
审稿时长
10 weeks
×
引用
GB/T 7714-2015
复制
MLA
复制
APA
复制
导出至
BibTeX EndNote RefMan NoteFirst NoteExpress
×
提示
您的信息不完整,为了账户安全,请先补充。
现在去补充
×
提示
您因"违规操作"
具体请查看互助需知
我知道了
×
提示
确定
请完成安全验证×
copy
已复制链接
快去分享给好友吧!
我知道了
右上角分享
点击右上角分享
0
联系我们:info@booksci.cn Book学术提供免费学术资源搜索服务,方便国内外学者检索中英文文献。致力于提供最便捷和优质的服务体验。 Copyright © 2023 布克学术 All rights reserved.
京ICP备2023020795号-1
ghs 京公网安备 11010802042870号
Book学术文献互助
Book学术文献互助群
群 号:604180095
Book学术官方微信