Secrecy in Everyday Life.

IF 2.9 2区 心理学 Q1 PSYCHOLOGY, SOCIAL
Valentina Bianchi, Katharine H Greenaway, Ella K Moeck, Michael L Slepian, Elise K Kalokerinos
{"title":"Secrecy in Everyday Life.","authors":"Valentina Bianchi, Katharine H Greenaway, Ella K Moeck, Michael L Slepian, Elise K Kalokerinos","doi":"10.1177/01461672241226560","DOIUrl":null,"url":null,"abstract":"<p><p>Secrecy is common, yet we know little about how it plays out in daily life. Most existing research on secrecy is based on methods involving retrospection over long periods of time, failing to capture secrecy \"in the wild.\" Filling this gap, we conducted two studies using intensive longitudinal designs to present the first picture of secrecy in everyday life. We investigated momentary contextual factors and individual differences as predictors of mind-wandering to and concealing secrets. Contextual factors more consistently predicted secrecy experiences than person-level factors. Feeling more negative about a secret predicted a greater likelihood of mind-wandering to the secret. Interacting with the secret target was linked with a greater likelihood of secret concealment. Individual differences were not consistently associated with mind-wandering to secrets. We conclude that daily experiences with secrets may be better predicted by momentary feelings rather than individual differences such as personality traits.</p>","PeriodicalId":19834,"journal":{"name":"Personality and Social Psychology Bulletin","volume":" ","pages":"1664-1688"},"PeriodicalIF":2.9000,"publicationDate":"2025-09-01","publicationTypes":"Journal Article","fieldsOfStudy":null,"isOpenAccess":false,"openAccessPdf":"https://www.ncbi.nlm.nih.gov/pmc/articles/PMC12276408/pdf/","citationCount":"0","resultStr":null,"platform":"Semanticscholar","paperid":null,"PeriodicalName":"Personality and Social Psychology Bulletin","FirstCategoryId":"102","ListUrlMain":"https://doi.org/10.1177/01461672241226560","RegionNum":2,"RegionCategory":"心理学","ArticlePicture":[],"TitleCN":null,"AbstractTextCN":null,"PMCID":null,"EPubDate":"2024/2/7 0:00:00","PubModel":"Epub","JCR":"Q1","JCRName":"PSYCHOLOGY, SOCIAL","Score":null,"Total":0}
引用次数: 0

Abstract

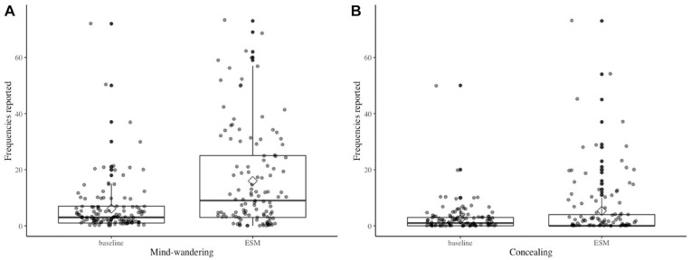
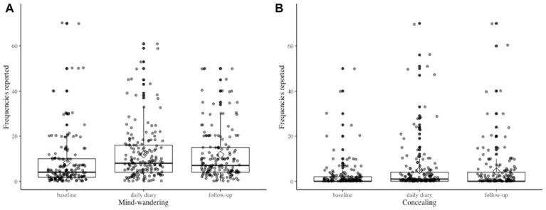
Secrecy is common, yet we know little about how it plays out in daily life. Most existing research on secrecy is based on methods involving retrospection over long periods of time, failing to capture secrecy "in the wild." Filling this gap, we conducted two studies using intensive longitudinal designs to present the first picture of secrecy in everyday life. We investigated momentary contextual factors and individual differences as predictors of mind-wandering to and concealing secrets. Contextual factors more consistently predicted secrecy experiences than person-level factors. Feeling more negative about a secret predicted a greater likelihood of mind-wandering to the secret. Interacting with the secret target was linked with a greater likelihood of secret concealment. Individual differences were not consistently associated with mind-wandering to secrets. We conclude that daily experiences with secrets may be better predicted by momentary feelings rather than individual differences such as personality traits.

Abstract Image

Abstract Image

Abstract Image

日常生活中的保密
保密很常见,但我们对它在日常生活中的表现却知之甚少。大多数现有的保密研究都是基于长期回顾的方法,无法捕捉到 "野外 "的保密现象。为了填补这一空白,我们进行了两项研究,采用密集的纵向设计,首次展示了日常生活中的保密情况。我们调查了瞬间的情境因素和个体差异,以预测心智游荡和隐藏秘密的情况。与个人层面的因素相比,情境因素对保密经历的预测更为一致。对秘密的负面感觉预示着更有可能对秘密进行思索。与秘密目标互动与更有可能隐藏秘密有关。个体差异与心智游离于秘密之间的关系并不一致。我们的结论是,对秘密的日常体验可能更好地由瞬间感受而非个性特征等个体差异来预测。
本文章由计算机程序翻译,如有差异,请以英文原文为准。
求助全文
约1分钟内获得全文 求助全文
来源期刊
CiteScore
9.20
自引率
5.00%
发文量
116
期刊介绍: The Personality and Social Psychology Bulletin is the official journal for the Society of Personality and Social Psychology. The journal is an international outlet for original empirical papers in all areas of personality and social psychology.
×
引用
GB/T 7714-2015
复制
MLA
复制
APA
复制
导出至
BibTeX EndNote RefMan NoteFirst NoteExpress
×
提示
您的信息不完整,为了账户安全,请先补充。
现在去补充
×
提示
您因"违规操作"
具体请查看互助需知
我知道了
×
提示
确定
请完成安全验证×
copy
已复制链接
快去分享给好友吧!
我知道了
右上角分享
点击右上角分享
0
联系我们:info@booksci.cn Book学术提供免费学术资源搜索服务,方便国内外学者检索中英文文献。致力于提供最便捷和优质的服务体验。 Copyright © 2023 布克学术 All rights reserved.
京ICP备2023020795号-1
ghs 京公网安备 11010802042870号
Book学术文献互助
Book学术文献互助群
群 号:604180095
Book学术官方微信