Meaningful Within-Patient Change in Subjective Total Sleep Time in Patients with Insomnia Disorder: An Analysis of the Sleep Diary Questionnaire Using Data from Open-Label and Phase III Clinical Trials.

IF 4.5 Q2 PHARMACOLOGY & PHARMACY
Pharmaceutical Medicine Pub Date : 2024-03-01 Epub Date: 2024-02-01 DOI:10.1007/s40290-023-00512-9
Andrea Phillips-Beyer, Ariane K Kawata, Leah Kleinman, Dalma Seboek Kinter, Bruno Flamion
{"title":"Meaningful Within-Patient Change in Subjective Total Sleep Time in Patients with Insomnia Disorder: An Analysis of the Sleep Diary Questionnaire Using Data from Open-Label and Phase III Clinical Trials.","authors":"Andrea Phillips-Beyer, Ariane K Kawata, Leah Kleinman, Dalma Seboek Kinter, Bruno Flamion","doi":"10.1007/s40290-023-00512-9","DOIUrl":null,"url":null,"abstract":"<p><strong>Background: </strong>The Sleep Diary Questionnaire (SDQ), a modified version of the Consensus Sleep Diary, is a 17-item sleep diary for assessing subjective total sleep time (sTST: total time spent asleep at night) and other sleep parameters in insomnia trials. sTST is a key parameter of efficacy in insomnia trials; however, the magnitude of improvement in this parameter that people with insomnia disorder consider clinically meaningful is unclear.</p><p><strong>Objective: </strong>The aim of this study was to estimate meaningful within-patient change for sTST using clinical trial data.</p><p><strong>Methods: </strong>Data were from an open-label trial of zolpidem and pooled data from a phase III placebo-controlled trial of daridorexant. In both trials, adults with moderate to severe insomnia completed the SDQ daily. Meaningful change in sTST was estimated in an anchor-based analysis using outcome measures that were correlated with change in weekly average sTST (Spearman correlation coefficient ≥ 0.30): the Insomnia Severity Index, patient global assessments and impressions of severity and change in daytime and night-time symptoms (PGA-S, PGI-S, PGI-C), and clinician global impressions of severity and change in patients' daytime symptoms (CGI-S, CGI-C). Meaningful within-patient change estimates were 'triangulated' to identify a value where they converged.</p><p><strong>Results: </strong>In the open-label trial (N = 114), subjects with a 1-point or 1-step improvement on the anchors had mean increases in sTST of 60.1-83.2 min at day 8 and 55.5-68.2 min at day 15. For subjects with a 2-point or 2-step improvement on the anchors, mean increases in sTST were 79.6-81.4 min at day 8 and 80.1-93.5 min at day 15. In the phase III trial (N = 930), weekly average increases in sTST for subjects with a 1-point or 1-step improvement on the anchors were 39.3-46.7 min at month 1 and 47.3-58.3 min at month 3. For subjects with a 2-point or 2-step improvement on the anchors, mean increases in sTST were 60.7-76.2 min at month 1 and 70.1-87.7 min at month 3. Triangulation of these values supported a meaningful within-patient change threshold starting at 55 min.</p><p><strong>Conclusion: </strong>Increasing sTST is an important treatment outcome for people with insomnia. An increase in sleep time of approximately 55 min is meaningful to patients.</p><p><strong>Clinical trials registration: </strong>NCT03056053 (17 February 2017) and NCT03545191 (4 June 2018).</p>","PeriodicalId":19778,"journal":{"name":"Pharmaceutical Medicine","volume":" ","pages":"133-144"},"PeriodicalIF":4.5000,"publicationDate":"2024-03-01","publicationTypes":"Journal Article","fieldsOfStudy":null,"isOpenAccess":false,"openAccessPdf":"https://www.ncbi.nlm.nih.gov/pmc/articles/PMC10948516/pdf/","citationCount":"0","resultStr":null,"platform":"Semanticscholar","paperid":null,"PeriodicalName":"Pharmaceutical Medicine","FirstCategoryId":"1085","ListUrlMain":"https://doi.org/10.1007/s40290-023-00512-9","RegionNum":0,"RegionCategory":null,"ArticlePicture":[],"TitleCN":null,"AbstractTextCN":null,"PMCID":null,"EPubDate":"2024/2/1 0:00:00","PubModel":"Epub","JCR":"Q2","JCRName":"PHARMACOLOGY & PHARMACY","Score":null,"Total":0}
引用次数: 0

Abstract

Background: The Sleep Diary Questionnaire (SDQ), a modified version of the Consensus Sleep Diary, is a 17-item sleep diary for assessing subjective total sleep time (sTST: total time spent asleep at night) and other sleep parameters in insomnia trials. sTST is a key parameter of efficacy in insomnia trials; however, the magnitude of improvement in this parameter that people with insomnia disorder consider clinically meaningful is unclear.

Objective: The aim of this study was to estimate meaningful within-patient change for sTST using clinical trial data.

Methods: Data were from an open-label trial of zolpidem and pooled data from a phase III placebo-controlled trial of daridorexant. In both trials, adults with moderate to severe insomnia completed the SDQ daily. Meaningful change in sTST was estimated in an anchor-based analysis using outcome measures that were correlated with change in weekly average sTST (Spearman correlation coefficient ≥ 0.30): the Insomnia Severity Index, patient global assessments and impressions of severity and change in daytime and night-time symptoms (PGA-S, PGI-S, PGI-C), and clinician global impressions of severity and change in patients' daytime symptoms (CGI-S, CGI-C). Meaningful within-patient change estimates were 'triangulated' to identify a value where they converged.

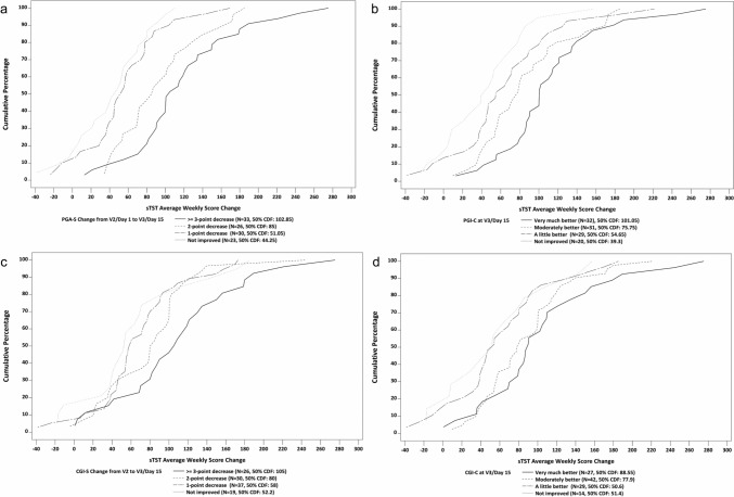
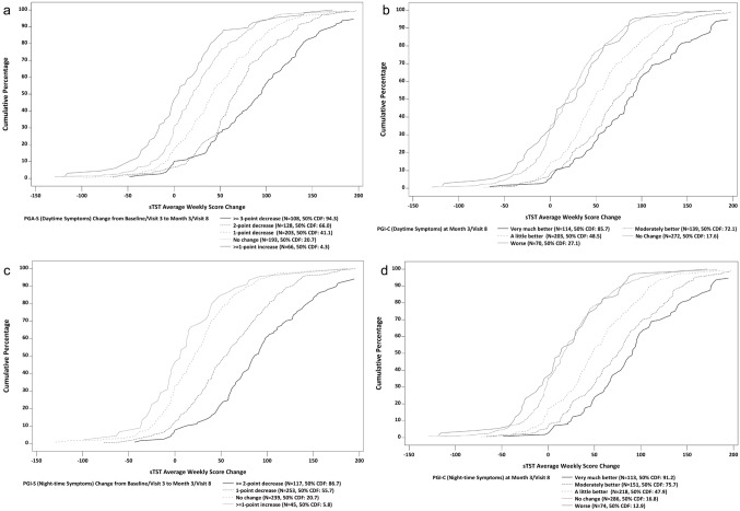
Results: In the open-label trial (N = 114), subjects with a 1-point or 1-step improvement on the anchors had mean increases in sTST of 60.1-83.2 min at day 8 and 55.5-68.2 min at day 15. For subjects with a 2-point or 2-step improvement on the anchors, mean increases in sTST were 79.6-81.4 min at day 8 and 80.1-93.5 min at day 15. In the phase III trial (N = 930), weekly average increases in sTST for subjects with a 1-point or 1-step improvement on the anchors were 39.3-46.7 min at month 1 and 47.3-58.3 min at month 3. For subjects with a 2-point or 2-step improvement on the anchors, mean increases in sTST were 60.7-76.2 min at month 1 and 70.1-87.7 min at month 3. Triangulation of these values supported a meaningful within-patient change threshold starting at 55 min.

Conclusion: Increasing sTST is an important treatment outcome for people with insomnia. An increase in sleep time of approximately 55 min is meaningful to patients.

Clinical trials registration: NCT03056053 (17 February 2017) and NCT03545191 (4 June 2018).

Abstract Image

Abstract Image

Abstract Image

失眠症患者主观总睡眠时间在患者内部的显著变化:利用开放标签和 III 期临床试验数据对睡眠日记问卷的分析
背景:睡眠日记问卷(SDQ)是共识睡眠日记的修订版,是一种包含17个项目的睡眠日记,用于评估失眠症试验中的主观总睡眠时间(sTST:夜间睡眠总时间)和其他睡眠参数:本研究旨在利用临床试验数据估算有意义的 sTST 患者内部变化:数据来自一项唑吡坦开放标签试验和一项达立酮Ⅲ期安慰剂对照试验的汇总数据。在这两项试验中,患有中度至重度失眠症的成人每天都要填写 SDQ。在基于锚点的分析中,使用与每周平均 sTST 变化相关的结果测量(Spearman 相关系数≥ 0.30)来估算 sTST 的有意义变化:失眠严重程度指数、患者对白天和夜间症状严重程度和变化的总体评估和印象(PGA-S、PGI-S、PGI-C),以及临床医生对患者白天症状严重程度和变化的总体印象(CGI-S、CGI-C)。对患者内部有意义的变化估计值进行 "三角测量",以确定它们趋同的数值:在开放标签试验中(N = 114),受试者的锚点改善了 1 点或 1 级,其 sTST 在第 8 天和第 15 天分别平均增加了 60.1-83.2 分钟和 55.5-68.2 分钟。对于锚点提高 2 点或提高 2 步的受试者,第 8 天的 sTST 平均提高时间为 79.6-81.4 分钟,第 15 天为 80.1-93.5 分钟。在 III 期试验中(N = 930),锚点提高 1 点或提高 1 级的受试者的 sTST 每周平均增长时间为:第 1 个月 39.3-46.7 分钟,第 3 个月 47.3-58.3 分钟;锚点提高 2 点或提高 2 级的受试者的 sTST 每周平均增长时间为:第 1 个月 60.7-76.2 分钟,第 3 个月 70.1-87.7 分钟:结论:对于失眠症患者来说,增加 sTST 是一项重要的治疗结果。临床试验注册:NCT03056053(2017 年 2 月 17 日)和 NCT03545191(2018 年 6 月 4 日)。
本文章由计算机程序翻译,如有差异,请以英文原文为准。
求助全文
约1分钟内获得全文 求助全文
来源期刊
Pharmaceutical Medicine
Pharmaceutical Medicine PHARMACOLOGY & PHARMACY-
CiteScore
5.10
自引率
4.00%
发文量
36
期刊介绍: Pharmaceutical Medicine is a specialist discipline concerned with medical aspects of the discovery, development, evaluation, registration, regulation, monitoring, marketing, distribution and pricing of medicines, drug-device and drug-diagnostic combinations. The Journal disseminates information to support the community of professionals working in these highly inter-related functions. Key areas include translational medicine, clinical trial design, pharmacovigilance, clinical toxicology, drug regulation, clinical pharmacology, biostatistics and pharmacoeconomics. The Journal includes:Overviews of contentious or emerging issues.Comprehensive narrative reviews that provide an authoritative source of information on topical issues.Systematic reviews that collate empirical evidence to answer a specific research question, using explicit, systematic methods as outlined by PRISMA statement.Original research articles reporting the results of well-designed studies with a strong link to wider areas of clinical research.Additional digital features (including animated abstracts, video abstracts, slide decks, audio slides, instructional videos, infographics, podcasts and animations) can be published with articles; these are designed to increase the visibility, readership and educational value of the journal’s content. In addition, articles published in Pharmaceutical Medicine may be accompanied by plain language summaries to assist readers who have some knowledge of, but not in-depth expertise in, the area to understand important medical advances.All manuscripts are subject to peer review by international experts. Letters to the Editor are welcomed and will be considered for publication.
×
引用
GB/T 7714-2015
复制
MLA
复制
APA
复制
导出至
BibTeX EndNote RefMan NoteFirst NoteExpress
×
提示
您的信息不完整,为了账户安全,请先补充。
现在去补充
×
提示
您因"违规操作"
具体请查看互助需知
我知道了
×
提示
确定
请完成安全验证×
copy
已复制链接
快去分享给好友吧!
我知道了
右上角分享
点击右上角分享
0
联系我们:info@booksci.cn Book学术提供免费学术资源搜索服务,方便国内外学者检索中英文文献。致力于提供最便捷和优质的服务体验。 Copyright © 2023 布克学术 All rights reserved.
京ICP备2023020795号-1
ghs 京公网安备 11010802042870号
Book学术文献互助
Book学术文献互助群
群 号:604180095
Book学术官方微信