Physician Awareness of the Safe Use of Cyproterone Acetate in Europe: A Survey on the Effectiveness of Additional Risk Minimization Measures.

IF 4.5 Q2 PHARMACOLOGY & PHARMACY
Pharmaceutical Medicine Pub Date : 2024-03-01 Epub Date: 2024-01-31 DOI:10.1007/s40290-023-00510-x
Carolyn Sweeney, Alicia Gilsenan, Brian Calingaert, Carsten Moeller, Gesa Schomakers, Alen Sok, Ruth Holzmann, Federica Pisa
{"title":"Physician Awareness of the Safe Use of Cyproterone Acetate in Europe: A Survey on the Effectiveness of Additional Risk Minimization Measures.","authors":"Carolyn Sweeney, Alicia Gilsenan, Brian Calingaert, Carsten Moeller, Gesa Schomakers, Alen Sok, Ruth Holzmann, Federica Pisa","doi":"10.1007/s40290-023-00510-x","DOIUrl":null,"url":null,"abstract":"<p><strong>Background: </strong>Cyproterone acetate (CPA) is a synthetic progesterone derivative introduced in the 1970s and prescribed as antiandrogenic therapy for inoperable prostate cancer, sexual deviations in men, and signs of androgenization in women. In 2020, the CPA summary of product characteristics (SmPC) was revised to include an updated special warning and precaution about (1) the risk of meningioma with increasing cumulative dose and (2) contraindication in patients with meningioma or history of meningioma. A Direct Healthcare Professional Communication (DHPC) was distributed. The European Medicine Agency's Pharmacovigilance Risk Assessment Committee requested that marketing authorization holders in Europe conduct a survey to assess physicians' knowledge of the updated key safety information. The primary objective of this study was to measure physicians' awareness (i.e., did they receive and review the revised SmPC and DHPC) and level of knowledge and understanding of the key safety information pertaining to the restricted use of CPA monotherapy because of the risk of meningioma.</p><p><strong>Methods: </strong>This cross-sectional web-based survey was administered to dermatologists, endocrinologists, gynecologists, urologists, oncologists, psychiatrists, and general practitioners in France, Germany, Poland, Spain, and the Netherlands who had prescribed CPA monotherapy in the previous 12 months to assess awareness of the risk of meningioma associated with CPA monotherapy.</p><p><strong>Results: </strong>Of the 613 physicians who participated, 85% correctly indicated that CPA monotherapy should be prescribed with the lowest effective dose, 75% correctly indicated that the risk of meningioma increases with increasing cumulative CPA monotherapy doses, and 73% correctly indicated that treatment with CPA-containing products must be stopped permanently if a patient is diagnosed with meningioma. Overall, 40% of physicians reported having received the DHPC, and 42% reported having received the revised SmPC.</p><p><strong>Conclusions: </strong>Despite low recall of receipt of the updated SmPC and DHPC, most physicians surveyed are aware of the meningioma risk and actions to mitigate the risk.</p>","PeriodicalId":19778,"journal":{"name":"Pharmaceutical Medicine","volume":" ","pages":"145-156"},"PeriodicalIF":4.5000,"publicationDate":"2024-03-01","publicationTypes":"Journal Article","fieldsOfStudy":null,"isOpenAccess":false,"openAccessPdf":"https://www.ncbi.nlm.nih.gov/pmc/articles/PMC10948458/pdf/","citationCount":"0","resultStr":null,"platform":"Semanticscholar","paperid":null,"PeriodicalName":"Pharmaceutical Medicine","FirstCategoryId":"1085","ListUrlMain":"https://doi.org/10.1007/s40290-023-00510-x","RegionNum":0,"RegionCategory":null,"ArticlePicture":[],"TitleCN":null,"AbstractTextCN":null,"PMCID":null,"EPubDate":"2024/1/31 0:00:00","PubModel":"Epub","JCR":"Q2","JCRName":"PHARMACOLOGY & PHARMACY","Score":null,"Total":0}
引用次数: 0

Abstract

Background: Cyproterone acetate (CPA) is a synthetic progesterone derivative introduced in the 1970s and prescribed as antiandrogenic therapy for inoperable prostate cancer, sexual deviations in men, and signs of androgenization in women. In 2020, the CPA summary of product characteristics (SmPC) was revised to include an updated special warning and precaution about (1) the risk of meningioma with increasing cumulative dose and (2) contraindication in patients with meningioma or history of meningioma. A Direct Healthcare Professional Communication (DHPC) was distributed. The European Medicine Agency's Pharmacovigilance Risk Assessment Committee requested that marketing authorization holders in Europe conduct a survey to assess physicians' knowledge of the updated key safety information. The primary objective of this study was to measure physicians' awareness (i.e., did they receive and review the revised SmPC and DHPC) and level of knowledge and understanding of the key safety information pertaining to the restricted use of CPA monotherapy because of the risk of meningioma.

Methods: This cross-sectional web-based survey was administered to dermatologists, endocrinologists, gynecologists, urologists, oncologists, psychiatrists, and general practitioners in France, Germany, Poland, Spain, and the Netherlands who had prescribed CPA monotherapy in the previous 12 months to assess awareness of the risk of meningioma associated with CPA monotherapy.

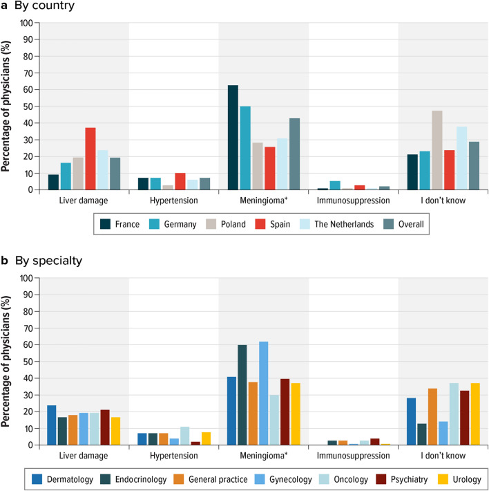
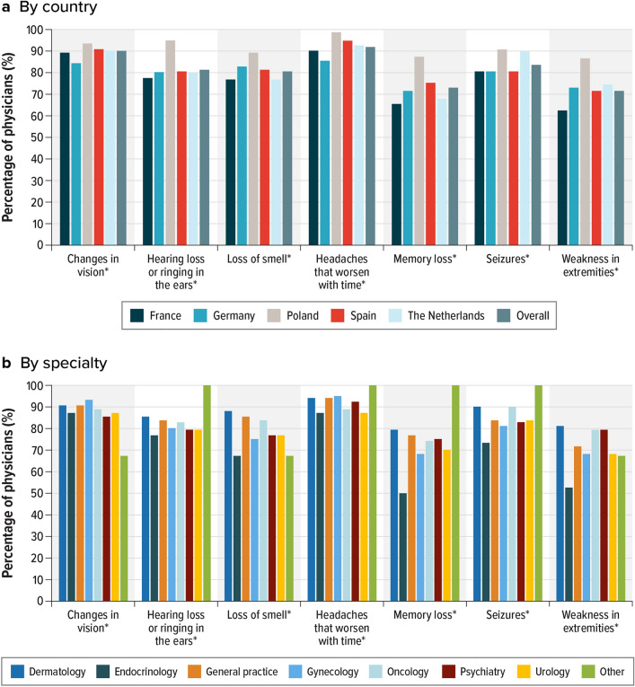
Results: Of the 613 physicians who participated, 85% correctly indicated that CPA monotherapy should be prescribed with the lowest effective dose, 75% correctly indicated that the risk of meningioma increases with increasing cumulative CPA monotherapy doses, and 73% correctly indicated that treatment with CPA-containing products must be stopped permanently if a patient is diagnosed with meningioma. Overall, 40% of physicians reported having received the DHPC, and 42% reported having received the revised SmPC.

Conclusions: Despite low recall of receipt of the updated SmPC and DHPC, most physicians surveyed are aware of the meningioma risk and actions to mitigate the risk.

Abstract Image

Abstract Image

Abstract Image

欧洲医生对安全使用醋酸环丙孕酮的认识:关于其他风险最小化措施有效性的调查。
背景:醋酸环丙孕酮(CPA)是一种合成孕酮衍生物,于20世纪70年代问世,作为抗雄激素疗法用于治疗无法手术的前列腺癌、男性性变态和女性雄激素化症状。2020 年,CPA 修订了产品特征概要(SmPC),纳入了最新的特别警告和注意事项:(1) 脑膜瘤的风险随累积剂量的增加而增加;(2) 脑膜瘤患者或有脑膜瘤病史者禁用。分发了《医护人员直接沟通》(DHPC)。欧洲药品管理局药物警戒风险评估委员会要求欧洲的上市许可持有人开展一项调查,以评估医生对更新的关键安全性信息的了解程度。本研究的主要目的是衡量医生对因脑膜瘤风险而限制使用 CPA 单一疗法的关键安全性信息的知晓度(即他们是否收到并审阅了修订后的 SmPC 和 DHPC)、了解和理解程度:法国、德国、波兰、西班牙和荷兰的皮肤科医生、内分泌科医生、妇科医生、泌尿科医生、肿瘤科医生、精神科医生和全科医生在过去12个月中开具过CPA单一疗法处方:结果:在参与调查的 613 名医生中,85% 的医生正确指出 CPA 单一疗法应使用最低有效剂量,75% 的医生正确指出脑膜瘤的风险随着 CPA 单一疗法累积剂量的增加而增加,73% 的医生正确指出如果患者被诊断出患有脑膜瘤,必须永久停止使用含 CPA 产品的治疗。总体而言,40% 的医生表示收到过 DHPC,42% 的医生表示收到过修订后的 SmPC:结论:尽管接受调查的医生对收到更新版 SmPC 和 DHPC 的回忆率较低,但大多数医生都了解脑膜瘤的风险以及降低风险的措施。
本文章由计算机程序翻译,如有差异,请以英文原文为准。
求助全文
约1分钟内获得全文 求助全文
来源期刊
Pharmaceutical Medicine
Pharmaceutical Medicine PHARMACOLOGY & PHARMACY-
CiteScore
5.10
自引率
4.00%
发文量
36
期刊介绍: Pharmaceutical Medicine is a specialist discipline concerned with medical aspects of the discovery, development, evaluation, registration, regulation, monitoring, marketing, distribution and pricing of medicines, drug-device and drug-diagnostic combinations. The Journal disseminates information to support the community of professionals working in these highly inter-related functions. Key areas include translational medicine, clinical trial design, pharmacovigilance, clinical toxicology, drug regulation, clinical pharmacology, biostatistics and pharmacoeconomics. The Journal includes:Overviews of contentious or emerging issues.Comprehensive narrative reviews that provide an authoritative source of information on topical issues.Systematic reviews that collate empirical evidence to answer a specific research question, using explicit, systematic methods as outlined by PRISMA statement.Original research articles reporting the results of well-designed studies with a strong link to wider areas of clinical research.Additional digital features (including animated abstracts, video abstracts, slide decks, audio slides, instructional videos, infographics, podcasts and animations) can be published with articles; these are designed to increase the visibility, readership and educational value of the journal’s content. In addition, articles published in Pharmaceutical Medicine may be accompanied by plain language summaries to assist readers who have some knowledge of, but not in-depth expertise in, the area to understand important medical advances.All manuscripts are subject to peer review by international experts. Letters to the Editor are welcomed and will be considered for publication.
×
引用
GB/T 7714-2015
复制
MLA
复制
APA
复制
导出至
BibTeX EndNote RefMan NoteFirst NoteExpress
×
提示
您的信息不完整,为了账户安全,请先补充。
现在去补充
×
提示
您因"违规操作"
具体请查看互助需知
我知道了
×
提示
确定
请完成安全验证×
copy
已复制链接
快去分享给好友吧!
我知道了
右上角分享
点击右上角分享
0
联系我们:info@booksci.cn Book学术提供免费学术资源搜索服务,方便国内外学者检索中英文文献。致力于提供最便捷和优质的服务体验。 Copyright © 2023 布克学术 All rights reserved.
京ICP备2023020795号-1
ghs 京公网安备 11010802042870号
Book学术文献互助
Book学术文献互助群
群 号:604180095
Book学术官方微信