Scavenger Receptor BI Deficiency in Mice Is Associated With Plasma Ceramide and Sphingomyelin Accumulation and a Reduced Cholesteryl Ester Fatty Acid Length and Unsaturation Degree.

Q2 Medicine
Journal of Lipid and Atherosclerosis Pub Date : 2024-01-01 Epub Date: 2023-11-06 DOI:10.12997/jla.2024.13.1.69
Menno Hoekstra, Zhengzheng Zhang, Peter W Lindenburg, Miranda Van Eck
{"title":"Scavenger Receptor BI Deficiency in Mice Is Associated With Plasma Ceramide and Sphingomyelin Accumulation and a Reduced Cholesteryl Ester Fatty Acid Length and Unsaturation Degree.","authors":"Menno Hoekstra, Zhengzheng Zhang, Peter W Lindenburg, Miranda Van Eck","doi":"10.12997/jla.2024.13.1.69","DOIUrl":null,"url":null,"abstract":"<p><strong>Objective: </strong>Scavenger receptor class B type I (SR-BI) is primarily known for its role in the selective uptake of cholesteryl esters (CEs) from high-density lipoproteins (HDLs). Here we investigated whether SR-BI deficiency is associated with other potentially relevant changes in the plasma lipidome than the established effect of HDL-cholesterol elevation.</p><p><strong>Methods: </strong>Targeted ultra-high-performance liquid chromatography-tandem mass spectrometry was utilized to measure lipid species in plasma from female wild-type and SR-BI knockout mice.</p><p><strong>Results: </strong>SR-BI deficiency was associated with a reduction in the average CE fatty acid length (-2%; <i>p</i><0.001) and degree of CE fatty acid unsaturation (-18%; <i>p</i><0.001) due to a relative shift from longer, polyunsaturated CE species CE (20:4), CE (20:5), and CE (22:6) towards the mono-unsaturated CE (18:1) species. Sphingomyelin (SM) levels were 64% higher (<i>p</i><0.001) in SR-BI knockout mice without a parallel change in (lyso)phosphatidylcholine (LPC) concentrations, resulting in an increase in the SM/LPC ratio from 0.102±0.005 to 0.163±0.003 (<i>p</i><0.001). In addition, lower LPC lengths (-5%; <i>p</i><0.05) and fatty acid unsaturation degrees (-20%; <i>p</i><0.01) were detected in SR-BI knockout mice. Furthermore, SR-BI deficiency was associated with a 4.7-fold increase (<i>p</i><0.001) in total plasma ceramide (Cer) levels, with a marked >9-fold rise (<i>p</i><0.001) in Cer (d18:1/24:1) concentrations.</p><p><strong>Conclusion: </strong>We have shown that SR-BI deficiency in mice not only impacts the CE concentrations, length, and saturation index within the plasma compartment, but is also associated with plasma accumulation of several Cer and SM species that may contribute to the development of specific hematological and metabolic (disease) phenotypes previously detected in SR-BI knockout mice.</p>","PeriodicalId":16284,"journal":{"name":"Journal of Lipid and Atherosclerosis","volume":"13 1","pages":"69-79"},"PeriodicalIF":0.0000,"publicationDate":"2024-01-01","publicationTypes":"Journal Article","fieldsOfStudy":null,"isOpenAccess":false,"openAccessPdf":"https://www.ncbi.nlm.nih.gov/pmc/articles/PMC10825577/pdf/","citationCount":"0","resultStr":null,"platform":"Semanticscholar","paperid":null,"PeriodicalName":"Journal of Lipid and Atherosclerosis","FirstCategoryId":"1085","ListUrlMain":"https://doi.org/10.12997/jla.2024.13.1.69","RegionNum":0,"RegionCategory":null,"ArticlePicture":[],"TitleCN":null,"AbstractTextCN":null,"PMCID":null,"EPubDate":"2023/11/6 0:00:00","PubModel":"Epub","JCR":"Q2","JCRName":"Medicine","Score":null,"Total":0}
引用次数: 0

Abstract

Objective: Scavenger receptor class B type I (SR-BI) is primarily known for its role in the selective uptake of cholesteryl esters (CEs) from high-density lipoproteins (HDLs). Here we investigated whether SR-BI deficiency is associated with other potentially relevant changes in the plasma lipidome than the established effect of HDL-cholesterol elevation.

Methods: Targeted ultra-high-performance liquid chromatography-tandem mass spectrometry was utilized to measure lipid species in plasma from female wild-type and SR-BI knockout mice.

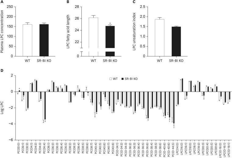
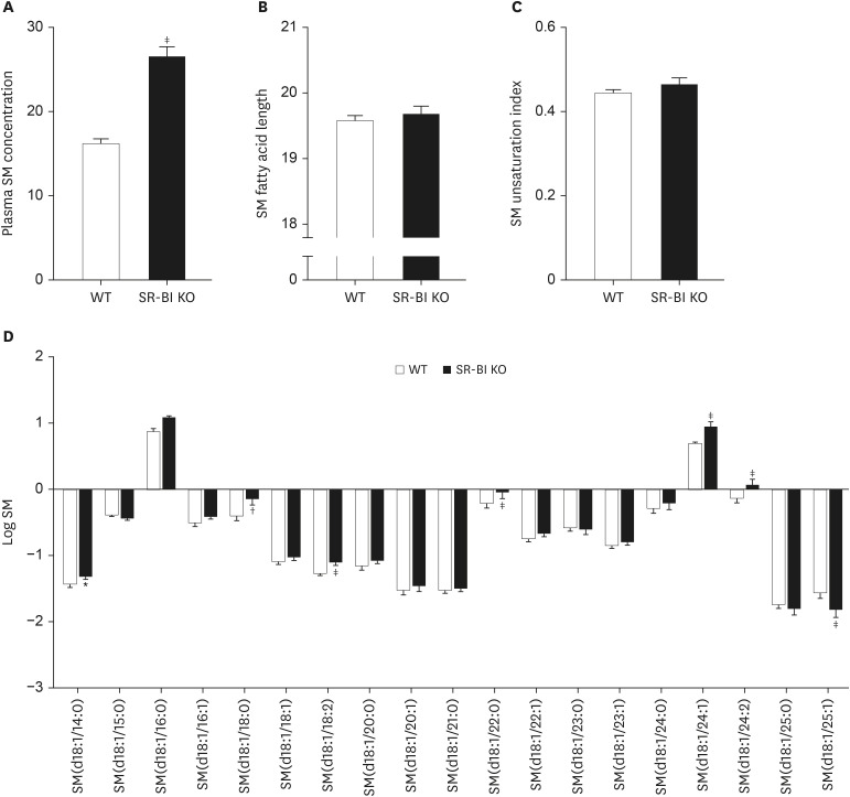
Results: SR-BI deficiency was associated with a reduction in the average CE fatty acid length (-2%; p<0.001) and degree of CE fatty acid unsaturation (-18%; p<0.001) due to a relative shift from longer, polyunsaturated CE species CE (20:4), CE (20:5), and CE (22:6) towards the mono-unsaturated CE (18:1) species. Sphingomyelin (SM) levels were 64% higher (p<0.001) in SR-BI knockout mice without a parallel change in (lyso)phosphatidylcholine (LPC) concentrations, resulting in an increase in the SM/LPC ratio from 0.102±0.005 to 0.163±0.003 (p<0.001). In addition, lower LPC lengths (-5%; p<0.05) and fatty acid unsaturation degrees (-20%; p<0.01) were detected in SR-BI knockout mice. Furthermore, SR-BI deficiency was associated with a 4.7-fold increase (p<0.001) in total plasma ceramide (Cer) levels, with a marked >9-fold rise (p<0.001) in Cer (d18:1/24:1) concentrations.

Conclusion: We have shown that SR-BI deficiency in mice not only impacts the CE concentrations, length, and saturation index within the plasma compartment, but is also associated with plasma accumulation of several Cer and SM species that may contribute to the development of specific hematological and metabolic (disease) phenotypes previously detected in SR-BI knockout mice.

Abstract Image

Abstract Image

Abstract Image

小鼠清道夫受体 BI 缺乏与血浆神经酰胺和鞘磷脂的积累以及胆固醇酯脂肪酸长度和不饱和度的降低有关。
目的:清道夫受体 B 类 I 型(SR-BI清道夫受体 B 类 I 型(SR-BI)的主要作用是选择性摄取高密度脂蛋白(HDL)中的胆固醇酯(CE)。在此,我们研究了 SR-BI 缺乏是否与血浆脂质组中其他潜在的相关变化有关,而非高密度脂蛋白胆固醇升高的既定效应:方法:利用靶向超高效液相色谱-串联质谱法测量雌性野生型小鼠和 SR-BI 基因敲除小鼠血浆中的脂质种类:结果:SR-BI的缺乏与CE脂肪酸平均长度的减少有关(-2%;pppppp9倍上升(p结论:SR-BI的缺乏与CE脂肪酸平均长度的减少有关:我们已经证明,小鼠的 SR-BI 缺乏不仅会影响血浆中 CE 的浓度、长度和饱和指数,而且还与血浆中几种 Cer 和 SM 的积累有关,这些物质可能会导致之前在 SR-BI 基因敲除小鼠中检测到的特定血液学和代谢(疾病)表型的发生。
本文章由计算机程序翻译,如有差异,请以英文原文为准。
求助全文
约1分钟内获得全文 求助全文
来源期刊
Journal of Lipid and Atherosclerosis
Journal of Lipid and Atherosclerosis Medicine-Internal Medicine
CiteScore
6.90
自引率
0.00%
发文量
26
审稿时长
12 weeks
×
引用
GB/T 7714-2015
复制
MLA
复制
APA
复制
导出至
BibTeX EndNote RefMan NoteFirst NoteExpress
×
提示
您的信息不完整,为了账户安全,请先补充。
现在去补充
×
提示
您因"违规操作"
具体请查看互助需知
我知道了
×
提示
确定
请完成安全验证×
copy
已复制链接
快去分享给好友吧!
我知道了
右上角分享
点击右上角分享
0
联系我们:info@booksci.cn Book学术提供免费学术资源搜索服务,方便国内外学者检索中英文文献。致力于提供最便捷和优质的服务体验。 Copyright © 2023 布克学术 All rights reserved.
京ICP备2023020795号-1
ghs 京公网安备 11010802042870号
Book学术文献互助
Book学术文献互助群
群 号:604180095
Book学术官方微信