A dual-selective thermal emitter with enhanced subambient radiative cooling performance

IF 15.7 1区 综合性期刊 Q1 MULTIDISCIPLINARY SCIENCES
Xueke Wu, Jinlei Li, Fei Xie, Xun-En Wu, Siming Zhao, Qinyuan Jiang, Shiliang Zhang, Baoshun Wang, Yunrui Li, Di Gao, Run Li, Fei Wang, Ya Huang, Yanlong Zhao, Yingying Zhang, Wei Li, Jia Zhu, Rufan Zhang
{"title":"A dual-selective thermal emitter with enhanced subambient radiative cooling performance","authors":"Xueke Wu, Jinlei Li, Fei Xie, Xun-En Wu, Siming Zhao, Qinyuan Jiang, Shiliang Zhang, Baoshun Wang, Yunrui Li, Di Gao, Run Li, Fei Wang, Ya Huang, Yanlong Zhao, Yingying Zhang, Wei Li, Jia Zhu, Rufan Zhang","doi":"10.1038/s41467-024-45095-4","DOIUrl":null,"url":null,"abstract":"<p>Radiative cooling is a zero-energy technology that enables subambient cooling by emitting heat into outer space (~3 K) through the atmospheric transparent windows. However, existing designs typically focus only on the main atmospheric transparent window (8–13 μm) and ignore another window (16–25 μm), under-exploiting their cooling potential. Here, we show a dual-selective radiative cooling design based on a scalable thermal emitter, which exhibits selective emission in both atmospheric transparent windows and reflection in the remaining mid-infrared and solar wavebands. As a result, the dual-selective thermal emitter exhibits an ultrahigh subambient cooling capacity (~9 °C) under strong sunlight, surpassing existing typical thermal emitters (≥3 °C cooler) and commercial counterparts (as building materials). Furthermore, the dual-selective sample also exhibits high weather resistance and color compatibility, indicating a high practicality. This work provides a scalable and practical radiative cooling design for sustainable thermal management.</p>","PeriodicalId":19066,"journal":{"name":"Nature Communications","volume":"91 1","pages":""},"PeriodicalIF":15.7000,"publicationDate":"2024-01-27","publicationTypes":"Journal Article","fieldsOfStudy":null,"isOpenAccess":false,"openAccessPdf":"","citationCount":"0","resultStr":null,"platform":"Semanticscholar","paperid":null,"PeriodicalName":"Nature Communications","FirstCategoryId":"103","ListUrlMain":"https://doi.org/10.1038/s41467-024-45095-4","RegionNum":1,"RegionCategory":"综合性期刊","ArticlePicture":[],"TitleCN":null,"AbstractTextCN":null,"PMCID":null,"EPubDate":"","PubModel":"","JCR":"Q1","JCRName":"MULTIDISCIPLINARY SCIENCES","Score":null,"Total":0}
引用次数: 0

Abstract

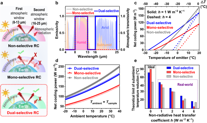
Radiative cooling is a zero-energy technology that enables subambient cooling by emitting heat into outer space (~3 K) through the atmospheric transparent windows. However, existing designs typically focus only on the main atmospheric transparent window (8–13 μm) and ignore another window (16–25 μm), under-exploiting their cooling potential. Here, we show a dual-selective radiative cooling design based on a scalable thermal emitter, which exhibits selective emission in both atmospheric transparent windows and reflection in the remaining mid-infrared and solar wavebands. As a result, the dual-selective thermal emitter exhibits an ultrahigh subambient cooling capacity (~9 °C) under strong sunlight, surpassing existing typical thermal emitters (≥3 °C cooler) and commercial counterparts (as building materials). Furthermore, the dual-selective sample also exhibits high weather resistance and color compatibility, indicating a high practicality. This work provides a scalable and practical radiative cooling design for sustainable thermal management.

Abstract Image

双选择热辐射器,具有更强的亚环境辐射冷却性能
辐射冷却是一种零能耗技术,它通过大气透明窗口向外层空间(约 3 K)发射热量,从而实现亚环境冷却。然而,现有的设计通常只关注主要的大气透明窗口(8-13 μm),而忽略了另一个窗口(16-25 μm),没有充分利用其冷却潜力。在这里,我们展示了一种基于可扩展热发射器的双选择性辐射冷却设计,它在两个大气透明窗口中都表现出选择性发射,而在其余中红外波段和太阳波段中则表现出选择性反射。因此,这种双选择性热发射器在强烈阳光下具有超高的亚环境制冷能力(约 9 °C),超过了现有的典型热发射器(制冷温度≥3 °C)和商业同类产品(作为建筑材料)。此外,这种双选择性样品还具有很高的耐候性和色彩兼容性,具有很强的实用性。这项工作为可持续热管理提供了一种可扩展的实用辐射冷却设计。
本文章由计算机程序翻译,如有差异,请以英文原文为准。
求助全文
约1分钟内获得全文 求助全文
来源期刊
Nature Communications
Nature Communications Biological Science Disciplines-
CiteScore
24.90
自引率
2.40%
发文量
6928
审稿时长
3.7 months
期刊介绍: Nature Communications, an open-access journal, publishes high-quality research spanning all areas of the natural sciences. Papers featured in the journal showcase significant advances relevant to specialists in each respective field. With a 2-year impact factor of 16.6 (2022) and a median time of 8 days from submission to the first editorial decision, Nature Communications is committed to rapid dissemination of research findings. As a multidisciplinary journal, it welcomes contributions from biological, health, physical, chemical, Earth, social, mathematical, applied, and engineering sciences, aiming to highlight important breakthroughs within each domain.
文献相关原料
公司名称
产品信息
阿拉丁
dimethylformamide (DMF)
阿拉丁
1,1,1,3,3,3-hexafluoro-2-propanol (HFIP)
×
引用
GB/T 7714-2015
复制
MLA
复制
APA
复制
导出至
BibTeX EndNote RefMan NoteFirst NoteExpress
×
提示
您的信息不完整,为了账户安全,请先补充。
现在去补充
×
提示
您因"违规操作"
具体请查看互助需知
我知道了
×
提示
确定
请完成安全验证×
copy
已复制链接
快去分享给好友吧!
我知道了
右上角分享
点击右上角分享
0
联系我们:info@booksci.cn Book学术提供免费学术资源搜索服务,方便国内外学者检索中英文文献。致力于提供最便捷和优质的服务体验。 Copyright © 2023 布克学术 All rights reserved.
京ICP备2023020795号-1
ghs 京公网安备 11010802042870号
Book学术文献互助
Book学术文献互助群
群 号:604180095
Book学术官方微信