Long-term endocrine sequelae after hematopoietic stem cell transplantation in children and adolescents.

IF 3.3 Q3 ENDOCRINOLOGY & METABOLISM
Soojin Hwang, Yena Lee, Ji-Hee Yoon, Ja Hye Kim, Hyery Kim, Kyung-Nam Koh, Ho Joon Im, Han-Wook Yoo, Jin-Ho Choi
{"title":"Long-term endocrine sequelae after hematopoietic stem cell transplantation in children and adolescents.","authors":"Soojin Hwang, Yena Lee, Ji-Hee Yoon, Ja Hye Kim, Hyery Kim, Kyung-Nam Koh, Ho Joon Im, Han-Wook Yoo, Jin-Ho Choi","doi":"10.6065/apem.2346046.023","DOIUrl":null,"url":null,"abstract":"<p><strong>Purpose: </strong>As the survival rate from pediatric cancers has increased significantly with advances in treatment modalities, long-term endocrine complications have also risen. This study investigated the frequencies and risks of endocrine sequelae in childhood cancer survivors who received hematopoietic stem cell transplantation (HSCT).</p><p><strong>Methods: </strong>This study included 200 pediatric patients who underwent HSCT. Clinical and endocrinological findings were collected retrospectively. The median follow-up duration after HSCT was 14 years.</p><p><strong>Results: </strong>Endocrine complications occurred in 135 patients (67.5%). Children who underwent HSCT at pubertal age (n=100) were at higher risk of endocrine complications than those who received it at prepubertal age (79% vs. 56%, P=0.001). The most common complication was hypogonadism (40%), followed by dyslipidemia (22%). Short stature and diabetes mellitus were more prevalent in the prepubertal group, whereas hypogonadism and osteoporosis were more common in the pubertal group. Being female, pubertal age at HSCT, and glucocorticoid use were predictors of an increased risk for any complication. Radiation exposure increased the risk of short stature and hypothyroidism. Hypogonadism was significantly associated with being female, pubertal age at HSCT, and high-dose radiation. Pubertal age at HSCT also increased the risks of osteoporosis and dyslipidemia.</p><p><strong>Conclusion: </strong>This study demonstrates that long-term endocrine complications are common after HSCT in children and adolescents. Age at HSCT is a critical factor for endocrine complications after HSCT. These findings suggest that surveillance strategies for endocrine complications in childhood cancer survivors should be specified according to age at HSCT.</p>","PeriodicalId":44915,"journal":{"name":"Annals of Pediatric Endocrinology & Metabolism","volume":" ","pages":"109-118"},"PeriodicalIF":3.3000,"publicationDate":"2024-04-01","publicationTypes":"Journal Article","fieldsOfStudy":null,"isOpenAccess":false,"openAccessPdf":"https://www.ncbi.nlm.nih.gov/pmc/articles/PMC11076227/pdf/","citationCount":"0","resultStr":null,"platform":"Semanticscholar","paperid":null,"PeriodicalName":"Annals of Pediatric Endocrinology & Metabolism","FirstCategoryId":"1085","ListUrlMain":"https://doi.org/10.6065/apem.2346046.023","RegionNum":0,"RegionCategory":null,"ArticlePicture":[],"TitleCN":null,"AbstractTextCN":null,"PMCID":null,"EPubDate":"2024/1/24 0:00:00","PubModel":"Epub","JCR":"Q3","JCRName":"ENDOCRINOLOGY & METABOLISM","Score":null,"Total":0}
引用次数: 0

Abstract

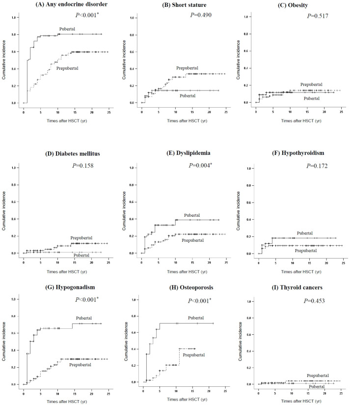
Purpose: As the survival rate from pediatric cancers has increased significantly with advances in treatment modalities, long-term endocrine complications have also risen. This study investigated the frequencies and risks of endocrine sequelae in childhood cancer survivors who received hematopoietic stem cell transplantation (HSCT).

Methods: This study included 200 pediatric patients who underwent HSCT. Clinical and endocrinological findings were collected retrospectively. The median follow-up duration after HSCT was 14 years.

Results: Endocrine complications occurred in 135 patients (67.5%). Children who underwent HSCT at pubertal age (n=100) were at higher risk of endocrine complications than those who received it at prepubertal age (79% vs. 56%, P=0.001). The most common complication was hypogonadism (40%), followed by dyslipidemia (22%). Short stature and diabetes mellitus were more prevalent in the prepubertal group, whereas hypogonadism and osteoporosis were more common in the pubertal group. Being female, pubertal age at HSCT, and glucocorticoid use were predictors of an increased risk for any complication. Radiation exposure increased the risk of short stature and hypothyroidism. Hypogonadism was significantly associated with being female, pubertal age at HSCT, and high-dose radiation. Pubertal age at HSCT also increased the risks of osteoporosis and dyslipidemia.

Conclusion: This study demonstrates that long-term endocrine complications are common after HSCT in children and adolescents. Age at HSCT is a critical factor for endocrine complications after HSCT. These findings suggest that surveillance strategies for endocrine complications in childhood cancer survivors should be specified according to age at HSCT.

Abstract Image

儿童和青少年造血干细胞移植后的长期内分泌后遗症。
目的:随着治疗方法的进步,儿童癌症的存活率显著提高,长期内分泌并发症也随之增加。本研究调查了造血干细胞移植(HSCT)后儿童癌症幸存者出现内分泌后遗症的频率和风险:这项研究包括200名接受造血干细胞移植的儿童患者。方法:该研究纳入了200名接受造血干细胞移植的儿童患者,并回顾性地收集了他们的临床和内分泌学检查结果。造血干细胞移植后的中位随访时间为14年:结果:135名患者(67.5%)出现了内分泌并发症。在青春期接受造血干细胞移植的儿童(n = 100)发生内分泌并发症的风险高于青春期前(79% 对 56%,P = 0.001)。最常见的并发症是性腺功能减退(40%),其次是血脂异常(22%)。身材矮小和糖尿病在青春期前组更常见,而性腺功能低下和骨质疏松症在青春期组更常见。女性、造血干细胞移植时的青春期年龄和使用糖皮质激素是任何并发症风险增加的预测因素。辐射照射会增加身材矮小和甲状腺功能减退的风险。性腺功能减退与女性、造血干细胞移植时的青春期年龄和高剂量辐射有显著相关性。造血干细胞移植时的青春期年龄也增加了骨质疏松症和血脂异常的风险:本研究表明,儿童和青少年造血干细胞移植后常见长期内分泌并发症。造血干细胞移植时的年龄是造血干细胞移植后内分泌并发症的关键因素。这些研究结果表明,应根据造血干细胞移植时的年龄制定儿童癌症幸存者内分泌并发症的监测策略。
本文章由计算机程序翻译,如有差异,请以英文原文为准。
求助全文
约1分钟内获得全文 求助全文
来源期刊
CiteScore
4.00
自引率
18.20%
发文量
59
审稿时长
24 weeks
期刊介绍: The Annals of Pediatric Endocrinology & Metabolism Journal is the official publication of the Korean Society of Pediatric Endocrinology. Its formal abbreviated title is “Ann Pediatr Endocrinol Metab”. It is a peer-reviewed open access journal of medicine published in English. The journal was launched in 1996 under the title of ‘Journal of Korean Society of Pediatric Endocrinology’ until 2011 (pISSN 1226-2242). Since 2012, the title is now changed to ‘Annals of Pediatric Endocrinology & Metabolism’. The Journal is published four times per year on the last day of March, June, September, and December. It is widely distributed for free to members of the Korean Society of Pediatric Endocrinology, medical schools, libraries, and academic institutions. The journal is indexed/tracked/covered by web sites of PubMed Central, PubMed, Emerging Sources Citation Index (ESCI), Scopus, EBSCO, EMBASE, KoreaMed, KoMCI, KCI, Science Central, DOI/CrossRef, Directory of Open Access Journals(DOAJ), and Google Scholar. The aims of Annals of Pediatric Endocrinology & Metabolism are to contribute to the advancements in the fields of pediatric endocrinology & metabolism through the scientific reviews and interchange of all of pediatric endocrinology and metabolism. It aims to reflect the latest clinical, translational, and basic research trends from worldwide valuable achievements. In addition, genome research, epidemiology, public education and clinical practice guidelines in each country are welcomed for publication. The Journal particularly focuses on research conducted with Asian-Pacific children whose genetic and environmental backgrounds are different from those of the Western. Area of specific interest include the following : Growth, puberty, glucose metabolism including diabetes mellitus, obesity, nutrition, disorders of sexual development, pituitary, thyroid, parathyroid, adrenal cortex, bone or other endocrine and metabolic disorders from infancy through adolescence.
×
引用
GB/T 7714-2015
复制
MLA
复制
APA
复制
导出至
BibTeX EndNote RefMan NoteFirst NoteExpress
×
提示
您的信息不完整,为了账户安全,请先补充。
现在去补充
×
提示
您因"违规操作"
具体请查看互助需知
我知道了
×
提示
确定
请完成安全验证×
copy
已复制链接
快去分享给好友吧!
我知道了
右上角分享
点击右上角分享
0
联系我们:info@booksci.cn Book学术提供免费学术资源搜索服务,方便国内外学者检索中英文文献。致力于提供最便捷和优质的服务体验。 Copyright © 2023 布克学术 All rights reserved.
京ICP备2023020795号-1
ghs 京公网安备 11010802042870号
Book学术文献互助
Book学术文献互助群
群 号:604180095
Book学术官方微信