Trends in Distributions of Hearing Threshold Levels by Ages: A Comparison of the ISO 7029 and Newly Available Country-Specific Data.

IF 1.4 Q3 OTORHINOLARYNGOLOGY
Journal of Audiology and Otology Pub Date : 2024-01-01 Epub Date: 2024-01-10 DOI:10.7874/jao.2023.00626
In-Ki Jin, Donghyeok Lee, Youngchan Jeong, Young Jun Seo, Tae Hoon Kong, Michelle J Suh, Wan-Ho Cho, Hyo-Jeong Lee, Seong Jun Choi, Dongchul Cha, Kyung-Ho Park, Soo Hee Oh
{"title":"Trends in Distributions of Hearing Threshold Levels by Ages: A Comparison of the ISO 7029 and Newly Available Country-Specific Data.","authors":"In-Ki Jin, Donghyeok Lee, Youngchan Jeong, Young Jun Seo, Tae Hoon Kong, Michelle J Suh, Wan-Ho Cho, Hyo-Jeong Lee, Seong Jun Choi, Dongchul Cha, Kyung-Ho Park, Soo Hee Oh","doi":"10.7874/jao.2023.00626","DOIUrl":null,"url":null,"abstract":"<p><p>Hearing thresholds provide essential information and references about the human auditory system. This study aimed to identify changing trends in distributions of hearing threshold levels across ages by comparing the International Organization for Standardization (ISO) 7029 and newly available data after publishing ISO 7029. To compare ISO 7029 and newly available hearing threshold data after publishing ISO 7029, four country-specific datasets that presented average hearing threshold levels under conditions similar to ISO 7029 were utilized. For frequencies between 125 Hz and 8,000 Hz, the deviations of hearing threshold values by ages from the hearing threshold of the youngest age group for each data point were utilized. For frequencies from 9,000 Hz to 12,500 Hz, the median threshold information was utilized. Hearing threshold data reported after publishing ISO 7029 from the four countries were mostly similar to the ISO 7029 data but tended to deviate in some age groups and sexes. As national hearing threshold trends change, the following ISO 7029 revision suggests the need to integrate hearing threshold data from different countries.</p>","PeriodicalId":44886,"journal":{"name":"Journal of Audiology and Otology","volume":"28 1","pages":"1-9"},"PeriodicalIF":1.4000,"publicationDate":"2024-01-01","publicationTypes":"Journal Article","fieldsOfStudy":null,"isOpenAccess":false,"openAccessPdf":"https://www.ncbi.nlm.nih.gov/pmc/articles/PMC10808389/pdf/","citationCount":"0","resultStr":null,"platform":"Semanticscholar","paperid":null,"PeriodicalName":"Journal of Audiology and Otology","FirstCategoryId":"1085","ListUrlMain":"https://doi.org/10.7874/jao.2023.00626","RegionNum":0,"RegionCategory":null,"ArticlePicture":[],"TitleCN":null,"AbstractTextCN":null,"PMCID":null,"EPubDate":"2024/1/10 0:00:00","PubModel":"Epub","JCR":"Q3","JCRName":"OTORHINOLARYNGOLOGY","Score":null,"Total":0}
引用次数: 0

Abstract

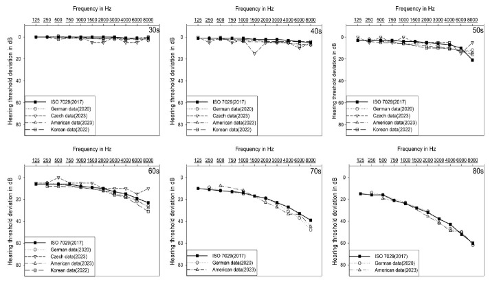
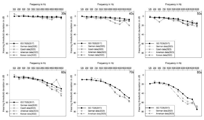
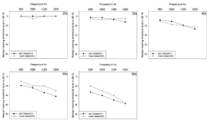
Hearing thresholds provide essential information and references about the human auditory system. This study aimed to identify changing trends in distributions of hearing threshold levels across ages by comparing the International Organization for Standardization (ISO) 7029 and newly available data after publishing ISO 7029. To compare ISO 7029 and newly available hearing threshold data after publishing ISO 7029, four country-specific datasets that presented average hearing threshold levels under conditions similar to ISO 7029 were utilized. For frequencies between 125 Hz and 8,000 Hz, the deviations of hearing threshold values by ages from the hearing threshold of the youngest age group for each data point were utilized. For frequencies from 9,000 Hz to 12,500 Hz, the median threshold information was utilized. Hearing threshold data reported after publishing ISO 7029 from the four countries were mostly similar to the ISO 7029 data but tended to deviate in some age groups and sexes. As national hearing threshold trends change, the following ISO 7029 revision suggests the need to integrate hearing threshold data from different countries.

Abstract Image

Abstract Image

Abstract Image

各年龄段听阈水平分布趋势:国际标准化组织 7029 标准与新近获得的各国具体数据的比较。
听阈提供了有关人类听觉系统的重要信息和参考。本研究旨在通过比较国际标准化组织(ISO)7029 和 ISO 7029 发布后新获得的数据,确定各年龄段听阈水平分布的变化趋势。为了比较 ISO 7029 和 ISO 7029 发布后新获得的听阈数据,我们使用了四个国家的数据集,这些数据集在与 ISO 7029 相似的条件下显示了平均听阈水平。对于 125 Hz 至 8,000 Hz 的频率,采用了各年龄段听力阈值与各数据点最年轻年龄组听力阈值的偏差。对于 9,000 赫兹至 12,500 赫兹的频率,则采用阈值中位数信息。四个国家在发布 ISO 7029 后报告的听阈数据大多与 ISO 7029 数据相似,但在某些年龄组和性别中存在偏差。随着各国听阈趋势的变化,ISO 7029 的后续修订建议有必要整合来自不同国家的听阈数据。
本文章由计算机程序翻译,如有差异,请以英文原文为准。
求助全文
约1分钟内获得全文 求助全文
来源期刊
Journal of Audiology and Otology
Journal of Audiology and Otology OTORHINOLARYNGOLOGY-
CiteScore
1.90
自引率
9.10%
发文量
20
期刊介绍: Journal of Audiology and Otology (JAO) (formerly known as Korean Journal of Audiology) aims to publish the most advanced findings for all aspects of the auditory and vestibular system and diseases of the ear using state-of-the-art techniques and analyses. The journal covers recent trends related to the topics of audiology, otology, and neurotology conducted by professionals, with the goal of providing better possible treatment to people of all ages, from infants to the elderly, who suffer from auditory and/or vestibular disorders and thus, improving their quality of life. This journal encourages the submission of review papers about current professional issues, research papers presenting a scientific base and clinical application, and case papers with unique reports or clinical trials. We also invite letters to the editor and papers related to the manufacture and distribution of medical devices. This journal provides integrated views from otologists, audiologists, and other healthcare practitioners, offering readers high quality scientific and clinical information. This peer-reviewed and open access journal has been the official journal of the Korean Audiological Society since 1997 and of both the Korean Audiological Society and the Korean Otological Society since 2017. It is published in English four times a year in January, April, July, and October.
×
引用
GB/T 7714-2015
复制
MLA
复制
APA
复制
导出至
BibTeX EndNote RefMan NoteFirst NoteExpress
×
提示
您的信息不完整,为了账户安全,请先补充。
现在去补充
×
提示
您因"违规操作"
具体请查看互助需知
我知道了
×
提示
确定
请完成安全验证×
copy
已复制链接
快去分享给好友吧!
我知道了
右上角分享
点击右上角分享
0
联系我们:info@booksci.cn Book学术提供免费学术资源搜索服务,方便国内外学者检索中英文文献。致力于提供最便捷和优质的服务体验。 Copyright © 2023 布克学术 All rights reserved.
京ICP备2023020795号-1
ghs 京公网安备 11010802042870号
Book学术文献互助
Book学术文献互助群
群 号:604180095
Book学术官方微信