Prognostic factors and predictive models in hot gallbladder surgery: A prospective observational study in a high-volume center.

IF 1.7 Q4 GASTROENTEROLOGY & HEPATOLOGY
Annals of hepato-biliary-pancreatic surgery Pub Date : 2024-05-31 Epub Date: 2024-01-12 DOI:10.14701/ahbps.23-112
Giovanni Domenico Tebala, Amanda Shabana, Mahul Patel, Benjamin Samra, Alan Chetwynd, Mickaela Nixon, Siddhee Pradhan, Bara'a Elhag, Gabriel Mok, Alexandra Mighiu, Diandra Antunes, Zoe Slack, Roberto Cirocchi, Giles Bond-Smith
{"title":"Prognostic factors and predictive models in hot gallbladder surgery: A prospective observational study in a high-volume center.","authors":"Giovanni Domenico Tebala, Amanda Shabana, Mahul Patel, Benjamin Samra, Alan Chetwynd, Mickaela Nixon, Siddhee Pradhan, Bara'a Elhag, Gabriel Mok, Alexandra Mighiu, Diandra Antunes, Zoe Slack, Roberto Cirocchi, Giles Bond-Smith","doi":"10.14701/ahbps.23-112","DOIUrl":null,"url":null,"abstract":"<p><strong>Backgrounds/aims: </strong>The standard treatment for acute cholecystitis, biliary pancreatitis and intractable biliary colics (\"hot gallbladder\") is emergency laparoscopic cholecystectomy (LC). This paper aims to identify the prognostic factors and create statistical models to predict the outcomes of emergency LC for \"hot gallbladder.\"</p><p><strong>Methods: </strong>A prospective observational cohort study was conducted on 466 patients having an emergency LC in 17 months. Primary endpoint was \"suboptimal treatment,\" defined as the use of escape strategies due to the impossibility to complete the LC. Secondary endpoints were postoperative morbidity and length of postoperative stay.</p><p><strong>Results: </strong>About 10% of patients had a \"suboptimal treatment\" predicted by age and low albumin. Postop morbidity was 17.2%, predicted by age, admission day, and male sex. Postoperative length of stay was correlated to age, low albumin, and delayed surgery.</p><p><strong>Conclusions: </strong>Several predictive prognostic factors were found to be related to poor emergency LC outcomes. These can be useful in the decision-making process and to inform patients of risks and benefits of an emergency vs. delayed LC for hot gallbladder.</p>","PeriodicalId":72220,"journal":{"name":"Annals of hepato-biliary-pancreatic surgery","volume":" ","pages":"203-213"},"PeriodicalIF":1.7000,"publicationDate":"2024-05-31","publicationTypes":"Journal Article","fieldsOfStudy":null,"isOpenAccess":false,"openAccessPdf":"https://www.ncbi.nlm.nih.gov/pmc/articles/PMC11128792/pdf/","citationCount":"0","resultStr":null,"platform":"Semanticscholar","paperid":null,"PeriodicalName":"Annals of hepato-biliary-pancreatic surgery","FirstCategoryId":"1085","ListUrlMain":"https://doi.org/10.14701/ahbps.23-112","RegionNum":0,"RegionCategory":null,"ArticlePicture":[],"TitleCN":null,"AbstractTextCN":null,"PMCID":null,"EPubDate":"2024/1/12 0:00:00","PubModel":"Epub","JCR":"Q4","JCRName":"GASTROENTEROLOGY & HEPATOLOGY","Score":null,"Total":0}
引用次数: 0

Abstract

Backgrounds/aims: The standard treatment for acute cholecystitis, biliary pancreatitis and intractable biliary colics ("hot gallbladder") is emergency laparoscopic cholecystectomy (LC). This paper aims to identify the prognostic factors and create statistical models to predict the outcomes of emergency LC for "hot gallbladder."

Methods: A prospective observational cohort study was conducted on 466 patients having an emergency LC in 17 months. Primary endpoint was "suboptimal treatment," defined as the use of escape strategies due to the impossibility to complete the LC. Secondary endpoints were postoperative morbidity and length of postoperative stay.

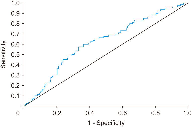
Results: About 10% of patients had a "suboptimal treatment" predicted by age and low albumin. Postop morbidity was 17.2%, predicted by age, admission day, and male sex. Postoperative length of stay was correlated to age, low albumin, and delayed surgery.

Conclusions: Several predictive prognostic factors were found to be related to poor emergency LC outcomes. These can be useful in the decision-making process and to inform patients of risks and benefits of an emergency vs. delayed LC for hot gallbladder.

Abstract Image

Abstract Image

Abstract Image

热胆囊手术的预后因素和预测模型:在一个高流量中心进行的前瞻性观察研究。
背景/目的:急性胆囊炎、胆汁性胰腺炎和顽固性胆绞痛("热胆")的标准治疗方法是急诊腹腔镜胆囊切除术(LC)。本文旨在确定预后因素并建立统计模型,以预测 "热胆囊 "急诊腹腔镜胆囊切除术的结果:对 466 名在 17 个月内接受急诊胆囊切除术的患者进行了前瞻性观察性队列研究。主要终点是 "次优治疗",即由于无法完成胆囊切除术而采取的逃避策略。次要终点是术后发病率和术后住院时间:结果:约有 10% 的患者因年龄和低白蛋白而采用了 "次优治疗"。根据年龄、入院日期和男性性别预测,术后发病率为 17.2%。术后住院时间与年龄、低白蛋白和手术延迟有关:结论:研究发现,一些预测性预后因素与急诊腹腔镜手术的不良预后有关。这些因素有助于决策过程,并让患者了解急诊胆囊切除术与延迟胆囊切除术的风险和益处。
本文章由计算机程序翻译,如有差异,请以英文原文为准。
求助全文
约1分钟内获得全文 求助全文
来源期刊
CiteScore
0.80
自引率
0.00%
发文量
0
×
引用
GB/T 7714-2015
复制
MLA
复制
APA
复制
导出至
BibTeX EndNote RefMan NoteFirst NoteExpress
×
提示
您的信息不完整,为了账户安全,请先补充。
现在去补充
×
提示
您因"违规操作"
具体请查看互助需知
我知道了
×
提示
确定
请完成安全验证×
copy
已复制链接
快去分享给好友吧!
我知道了
右上角分享
点击右上角分享
0
联系我们:info@booksci.cn Book学术提供免费学术资源搜索服务,方便国内外学者检索中英文文献。致力于提供最便捷和优质的服务体验。 Copyright © 2023 布克学术 All rights reserved.
京ICP备2023020795号-1
ghs 京公网安备 11010802042870号
Book学术文献互助
Book学术文献互助群
群 号:604180095
Book学术官方微信