Dominant role of soil moisture in mediating carbon and water fluxes in dryland ecosystems

IF 16.1 1区 地球科学 Q1 GEOSCIENCES, MULTIDISCIPLINARY
Steven A. Kannenberg, William R. L. Anderegg, Mallory L. Barnes, Matthew P. Dannenberg, Alan K. Knapp
{"title":"Dominant role of soil moisture in mediating carbon and water fluxes in dryland ecosystems","authors":"Steven A. Kannenberg, William R. L. Anderegg, Mallory L. Barnes, Matthew P. Dannenberg, Alan K. Knapp","doi":"10.1038/s41561-023-01351-8","DOIUrl":null,"url":null,"abstract":"Drylands exert a strong influence over global interannual variability in carbon and water cycling due to their substantial heterogeneity over space and time. This variability in ecosystem fluxes presents challenges for understanding their primary drivers. Here we quantify the sensitivity of dryland gross primary productivity and evapotranspiration to various hydrometeorological drivers by synthesizing eddy covariance data, remote sensing products and land surface model output across the western United States. We find that gross primary productivity and evapotranspiration derived from eddy covariance are most sensitive to soil moisture fluctuations, with lesser sensitivity to vapour pressure deficit and little to no sensitivity to air temperature or light. We find that remote sensing data accurately capture the sensitivity of eddy covariance fluxes to soil moisture but largely over-predict sensitivity to atmospheric drivers. In contrast, land surface models underestimate sensitivity of gross primary productivity to soil moisture fluctuations by approximately 45%. Amid debates about the role of increasing vapour pressure deficit in a changing climate, we conclude that soil moisture is the primary driver of US dryland carbon–water fluxes. It is thus imperative to both improve model representation of soil water limitation and more realistically represent how atmospheric drivers affect dryland vegetation in remotely sensed flux products. Soil moisture is the primary driver of variability in dryland carbon and water cycling, according to a synthesis of eddy covariance, remote sensing and land surface model data from the western United States.","PeriodicalId":19053,"journal":{"name":"Nature Geoscience","volume":"17 1","pages":"38-43"},"PeriodicalIF":16.1000,"publicationDate":"2024-01-04","publicationTypes":"Journal Article","fieldsOfStudy":null,"isOpenAccess":false,"openAccessPdf":"","citationCount":"0","resultStr":null,"platform":"Semanticscholar","paperid":null,"PeriodicalName":"Nature Geoscience","FirstCategoryId":"89","ListUrlMain":"https://www.nature.com/articles/s41561-023-01351-8","RegionNum":1,"RegionCategory":"地球科学","ArticlePicture":[],"TitleCN":null,"AbstractTextCN":null,"PMCID":null,"EPubDate":"","PubModel":"","JCR":"Q1","JCRName":"GEOSCIENCES, MULTIDISCIPLINARY","Score":null,"Total":0}
引用次数: 0

Abstract

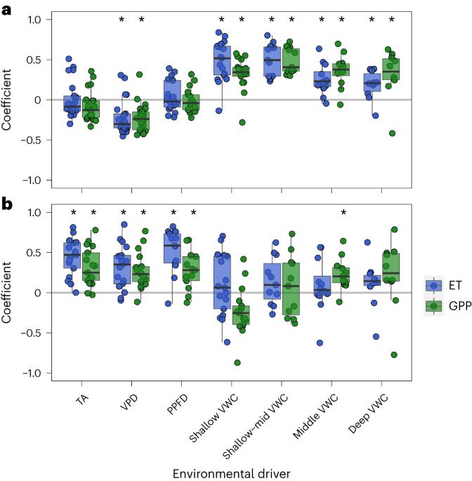
Drylands exert a strong influence over global interannual variability in carbon and water cycling due to their substantial heterogeneity over space and time. This variability in ecosystem fluxes presents challenges for understanding their primary drivers. Here we quantify the sensitivity of dryland gross primary productivity and evapotranspiration to various hydrometeorological drivers by synthesizing eddy covariance data, remote sensing products and land surface model output across the western United States. We find that gross primary productivity and evapotranspiration derived from eddy covariance are most sensitive to soil moisture fluctuations, with lesser sensitivity to vapour pressure deficit and little to no sensitivity to air temperature or light. We find that remote sensing data accurately capture the sensitivity of eddy covariance fluxes to soil moisture but largely over-predict sensitivity to atmospheric drivers. In contrast, land surface models underestimate sensitivity of gross primary productivity to soil moisture fluctuations by approximately 45%. Amid debates about the role of increasing vapour pressure deficit in a changing climate, we conclude that soil moisture is the primary driver of US dryland carbon–water fluxes. It is thus imperative to both improve model representation of soil water limitation and more realistically represent how atmospheric drivers affect dryland vegetation in remotely sensed flux products. Soil moisture is the primary driver of variability in dryland carbon and water cycling, according to a synthesis of eddy covariance, remote sensing and land surface model data from the western United States.

Abstract Image

Abstract Image

土壤水分在调节干旱地区生态系统碳通量和水通量中的主导作用
由于旱地在空间和时间上的巨大异质性,它们对全球碳循环和水循环的年际变化具有很大影响。生态系统通量的这种变异性为了解其主要驱动因素带来了挑战。在这里,我们通过综合美国西部的涡度协方差数据、遥感产品和地表模型输出,量化了旱地总初级生产力和蒸散量对各种水文气象驱动因素的敏感性。我们发现,根据涡度协方差得出的总初级生产力和蒸散量对土壤水分波动最为敏感,对蒸汽压力不足的敏感性较低,而对气温或光照几乎不敏感。我们发现,遥感数据准确捕捉到了涡度协方差通量对土壤水分的敏感性,但在很大程度上高估了对大气驱动因素的敏感性。相比之下,地表模型低估了总初级生产力对土壤水分波动的敏感性,低估幅度约为 45%。在不断变化的气候中,水汽压力不足的作用不断增加,在对此争论不休的情况下,我们得出结论:土壤水分是美国旱地碳-水通量的主要驱动因素。因此,当务之急是改进模型对土壤水分限制的表示,并在遥感通量产品中更真实地表示大气驱动因素如何影响旱地植被。
本文章由计算机程序翻译,如有差异,请以英文原文为准。
求助全文
约1分钟内获得全文 求助全文
来源期刊
Nature Geoscience
Nature Geoscience 地学-地球科学综合
CiteScore
26.70
自引率
1.60%
发文量
187
审稿时长
3.3 months
期刊介绍: Nature Geoscience is a monthly interdisciplinary journal that gathers top-tier research spanning Earth Sciences and related fields. The journal covers all geoscience disciplines, including fieldwork, modeling, and theoretical studies. Topics include atmospheric science, biogeochemistry, climate science, geobiology, geochemistry, geoinformatics, remote sensing, geology, geomagnetism, paleomagnetism, geomorphology, geophysics, glaciology, hydrology, limnology, mineralogy, oceanography, paleontology, paleoclimatology, paleoceanography, petrology, planetary science, seismology, space physics, tectonics, and volcanology. Nature Geoscience upholds its commitment to publishing significant, high-quality Earth Sciences research through fair, rapid, and rigorous peer review, overseen by a team of full-time professional editors.
×
引用
GB/T 7714-2015
复制
MLA
复制
APA
复制
导出至
BibTeX EndNote RefMan NoteFirst NoteExpress
×
提示
您的信息不完整,为了账户安全,请先补充。
现在去补充
×
提示
您因"违规操作"
具体请查看互助需知
我知道了
×
提示
确定
请完成安全验证×
copy
已复制链接
快去分享给好友吧!
我知道了
右上角分享
点击右上角分享
0
联系我们:info@booksci.cn Book学术提供免费学术资源搜索服务,方便国内外学者检索中英文文献。致力于提供最便捷和优质的服务体验。 Copyright © 2023 布克学术 All rights reserved.
京ICP备2023020795号-1
ghs 京公网安备 11010802042870号
Book学术文献互助
Book学术文献互助群
群 号:604180095
Book学术官方微信