Impact of Grinding and Sorting Particle Size on Phytochemical Yield in Dipterocarpus alatus Leaf Extract.

IF 4.5 Q3 MATERIALS SCIENCE, BIOMATERIALS
International Journal of Biomaterials Pub Date : 2023-12-22 eCollection Date: 2023-01-01 DOI:10.1155/2023/4512665
Kritsadang Senawong, Somporn Katekaew, Suchat Juntahum, Kittipong Laloon
{"title":"Impact of Grinding and Sorting Particle Size on Phytochemical Yield in <i>Dipterocarpus alatus</i> Leaf Extract.","authors":"Kritsadang Senawong, Somporn Katekaew, Suchat Juntahum, Kittipong Laloon","doi":"10.1155/2023/4512665","DOIUrl":null,"url":null,"abstract":"<p><p>The main objective of this study was to investigate the impact of grinding (pretreatment) with a pin mill on the crude extract yields of <i>Dipterocarpus alatus</i> (Yang-Na) leaves. A factorial design in a completely randomized design was conducted to study the combinational effects of sieve sizes (1.0, 1.5, and 3.0 mm) and feed rates (1.0, 1.5, and 3.0 kg min<sup>-1</sup>), examining the interaction of parameters for grinding oven-dried Yang-Na leaves. Ethanol extraction initially evaluated the influence of Yang-Na leaf powder with diverse particle sizes. When sorting particle size, the crude extract yield increased as the particle size decreased, with 0.038-0.150 mm particles yielding the highest extraction, although yields decline when the particle size is lower than 0.038 mm. The average particle sizes, production capacity, and fineness modulus all exhibited a significant decrease as the sieve size and feeding rate were reduced, while the specific energy consumption showed an inversely proportional relationship with these parameters. Intriguingly, the crude extract yield remained independent of the average particle size. Notably, the highest yield (14.79 g kg<sup>-1</sup>) was derived from a 0.31 mm average particle size, ground with a 1.5 mm sieve and a 3 kg min<sup>-1</sup> feeding rate. This suggests that the pretreatment, involving both grinding conditions and sorting size, has an impact on the performance of the extraction process. However, this study offers an energy-efficient alternative, advocating for using average particle sizes without prior sorting, streamlining the extraction process while maintaining substantial yields. These insights underline the crucial influence of particle size and grinding techniques, advancing our understanding of efficient herbal extraction techniques for industrial applications.</p>","PeriodicalId":13704,"journal":{"name":"International Journal of Biomaterials","volume":"2023 ","pages":"4512665"},"PeriodicalIF":4.5000,"publicationDate":"2023-12-22","publicationTypes":"Journal Article","fieldsOfStudy":null,"isOpenAccess":false,"openAccessPdf":"https://www.ncbi.nlm.nih.gov/pmc/articles/PMC10756739/pdf/","citationCount":"0","resultStr":null,"platform":"Semanticscholar","paperid":null,"PeriodicalName":"International Journal of Biomaterials","FirstCategoryId":"1085","ListUrlMain":"https://doi.org/10.1155/2023/4512665","RegionNum":0,"RegionCategory":null,"ArticlePicture":[],"TitleCN":null,"AbstractTextCN":null,"PMCID":null,"EPubDate":"2023/1/1 0:00:00","PubModel":"eCollection","JCR":"Q3","JCRName":"MATERIALS SCIENCE, BIOMATERIALS","Score":null,"Total":0}
引用次数: 0

Abstract

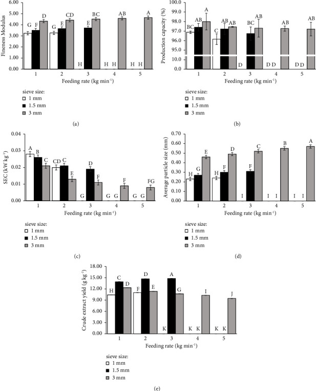
The main objective of this study was to investigate the impact of grinding (pretreatment) with a pin mill on the crude extract yields of Dipterocarpus alatus (Yang-Na) leaves. A factorial design in a completely randomized design was conducted to study the combinational effects of sieve sizes (1.0, 1.5, and 3.0 mm) and feed rates (1.0, 1.5, and 3.0 kg min-1), examining the interaction of parameters for grinding oven-dried Yang-Na leaves. Ethanol extraction initially evaluated the influence of Yang-Na leaf powder with diverse particle sizes. When sorting particle size, the crude extract yield increased as the particle size decreased, with 0.038-0.150 mm particles yielding the highest extraction, although yields decline when the particle size is lower than 0.038 mm. The average particle sizes, production capacity, and fineness modulus all exhibited a significant decrease as the sieve size and feeding rate were reduced, while the specific energy consumption showed an inversely proportional relationship with these parameters. Intriguingly, the crude extract yield remained independent of the average particle size. Notably, the highest yield (14.79 g kg-1) was derived from a 0.31 mm average particle size, ground with a 1.5 mm sieve and a 3 kg min-1 feeding rate. This suggests that the pretreatment, involving both grinding conditions and sorting size, has an impact on the performance of the extraction process. However, this study offers an energy-efficient alternative, advocating for using average particle sizes without prior sorting, streamlining the extraction process while maintaining substantial yields. These insights underline the crucial influence of particle size and grinding techniques, advancing our understanding of efficient herbal extraction techniques for industrial applications.

Abstract Image

Abstract Image

Abstract Image

研磨和分选粒度对白千层叶提取物中植物化学成分产量的影响
本研究的主要目的是调查针磨机研磨(预处理)对杨那双戟叶粗萃产量的影响。研究采用完全随机设计的因子设计,研究了筛孔尺寸(1.0、1.5 和 3.0 毫米)和进料速率(1.0、1.5 和 3.0 千克/分钟-1)的组合效应,考察了各参数在研磨烘干的杨-楠树叶时的交互作用。乙醇萃取初步评估了不同粒度的杨那叶粉的影响。在对粒径进行分类时,粗提取物的产量随着粒径的减小而增加,0.038-0.150 毫米的颗粒提取物产量最高,但当粒径小于 0.038 毫米时产量下降。平均粒度、生产能力和细度模量都随着筛孔尺寸和进料速度的减小而显著减小,而比能耗则与这些参数成反比关系。耐人寻味的是,粗提取物的产量仍然与平均粒度无关。值得注意的是,平均粒径为 0.31 毫米、用 1.5 毫米筛子研磨、进料速度为 3 千克/分钟的粗提物产量最高(14.79 克/千克-1)。这表明,预处理(包括研磨条件和分选粒度)对提取过程的性能有影响。不过,这项研究提供了一种节能的替代方法,主张使用平均粒度,而无需事先分选,这样既简化了萃取过程,又保持了可观的产量。这些见解强调了颗粒大小和研磨技术的重要影响,推动了我们对工业应用中高效草药提取技术的理解。
本文章由计算机程序翻译,如有差异,请以英文原文为准。
求助全文
约1分钟内获得全文 求助全文
来源期刊
International Journal of Biomaterials
International Journal of Biomaterials MATERIALS SCIENCE, BIOMATERIALS-
CiteScore
4.30
自引率
3.20%
发文量
50
审稿时长
21 weeks
×
引用
GB/T 7714-2015
复制
MLA
复制
APA
复制
导出至
BibTeX EndNote RefMan NoteFirst NoteExpress
×
提示
您的信息不完整,为了账户安全,请先补充。
现在去补充
×
提示
您因"违规操作"
具体请查看互助需知
我知道了
×
提示
确定
请完成安全验证×
copy
已复制链接
快去分享给好友吧!
我知道了
右上角分享
点击右上角分享
0
联系我们:info@booksci.cn Book学术提供免费学术资源搜索服务,方便国内外学者检索中英文文献。致力于提供最便捷和优质的服务体验。 Copyright © 2023 布克学术 All rights reserved.
京ICP备2023020795号-1
ghs 京公网安备 11010802042870号
Book学术文献互助
Book学术文献互助群
群 号:604180095
Book学术官方微信