Prediction of malaria positivity using patients' demographic and environmental features and clinical symptoms to complement parasitological confirmation before treatment.

IF 2.2 Q3 INFECTIOUS DISEASES
Taiwo Adetola Ojurongbe, Habeeb Abiodun Afolabi, Kehinde Adekunle Bashiru, Waidi Folorunso Sule, Sunday Babatunde Akinde, Olusola Ojurongbe, Nurudeen A Adegoke
{"title":"Prediction of malaria positivity using patients' demographic and environmental features and clinical symptoms to complement parasitological confirmation before treatment.","authors":"Taiwo Adetola Ojurongbe, Habeeb Abiodun Afolabi, Kehinde Adekunle Bashiru, Waidi Folorunso Sule, Sunday Babatunde Akinde, Olusola Ojurongbe, Nurudeen A Adegoke","doi":"10.1186/s40794-023-00208-7","DOIUrl":null,"url":null,"abstract":"<p><strong>Background: </strong>Current malaria diagnosis methods that rely on microscopy and Histidine Rich Protein-2 (HRP2)-based rapid diagnostic tests (RDT) have drawbacks that necessitate the development of improved and complementary malaria diagnostic methods to overcome some or all these limitations. Consequently, the addition of automated detection and classification of malaria using laboratory methods can provide patients with more accurate and faster diagnosis. Therefore, this study used a machine-learning model to predict Plasmodium falciparum (Pf) antigen positivity (presence of malaria) based on sociodemographic behaviour, environment, and clinical features.</p><p><strong>Method: </strong>Data from 200 Nigerian patients were used to develop predictive models using nested cross-validation and sequential backward feature selection (SBFS), with 80% of the dataset randomly selected for training and optimisation and the remaining 20% for testing the models. Outcomes were classified as Pf-positive or Pf-negative, corresponding to the presence or absence of malaria, respectively.</p><p><strong>Results: </strong>Among the three machine learning models examined, the penalised logistic regression model had the best area under the receiver operating characteristic curve for the training set (AUC = 84%; 95% confidence interval [CI]: 75-93%) and test set (AUC = 83%; 95% CI: 63-100%). Increased odds of malaria were associated with higher body weight (adjusted odds ratio (AOR) = 4.50, 95% CI: 2.27 to 8.01, p < 0.0001). Even though the association between the odds of having malaria and body temperature was not significant, patients with high body temperature had higher odds of testing positive for the Pf antigen than those who did not have high body temperature (AOR = 1.40, 95% CI: 0.99 to 1.91, p = 0.068). In addition, patients who had bushes in their surroundings (AOR = 2.60, 95% CI: 1.30 to 4.66, p = 0.006) or experienced fever (AOR = 2.10, 95% CI: 0.88 to 4.24, p = 0.099), headache (AOR = 2.07; 95% CI: 0.95 to 3.95, p = 0.068), muscle pain (AOR = 1.49; 95% CI: 0.66 to 3.39, p = 0.333), and vomiting (AOR = 2.32; 95% CI: 0.85 to 6.82, p = 0.097) were more likely to experience malaria. In contrast, decreased odds of malaria were associated with age (AOR = 0.62, 95% CI: 0.41 to 0.90, p = 0.012) and BMI (AOR = 0.47, 95% CI: 0.26 to 0.80, p = 0.006).</p><p><strong>Conclusion: </strong>Newly developed routinely collected baseline sociodemographic, environmental, and clinical features to predict Pf antigen positivity may be a valuable tool for clinical decision-making.</p>","PeriodicalId":23303,"journal":{"name":"Tropical Diseases, Travel Medicine and Vaccines","volume":"9 1","pages":"24"},"PeriodicalIF":2.2000,"publicationDate":"2023-12-15","publicationTypes":"Journal Article","fieldsOfStudy":null,"isOpenAccess":false,"openAccessPdf":"https://www.ncbi.nlm.nih.gov/pmc/articles/PMC10722830/pdf/","citationCount":"0","resultStr":null,"platform":"Semanticscholar","paperid":null,"PeriodicalName":"Tropical Diseases, Travel Medicine and Vaccines","FirstCategoryId":"1085","ListUrlMain":"https://doi.org/10.1186/s40794-023-00208-7","RegionNum":0,"RegionCategory":null,"ArticlePicture":[],"TitleCN":null,"AbstractTextCN":null,"PMCID":null,"EPubDate":"","PubModel":"","JCR":"Q3","JCRName":"INFECTIOUS DISEASES","Score":null,"Total":0}
引用次数: 0

Abstract

Background: Current malaria diagnosis methods that rely on microscopy and Histidine Rich Protein-2 (HRP2)-based rapid diagnostic tests (RDT) have drawbacks that necessitate the development of improved and complementary malaria diagnostic methods to overcome some or all these limitations. Consequently, the addition of automated detection and classification of malaria using laboratory methods can provide patients with more accurate and faster diagnosis. Therefore, this study used a machine-learning model to predict Plasmodium falciparum (Pf) antigen positivity (presence of malaria) based on sociodemographic behaviour, environment, and clinical features.

Method: Data from 200 Nigerian patients were used to develop predictive models using nested cross-validation and sequential backward feature selection (SBFS), with 80% of the dataset randomly selected for training and optimisation and the remaining 20% for testing the models. Outcomes were classified as Pf-positive or Pf-negative, corresponding to the presence or absence of malaria, respectively.

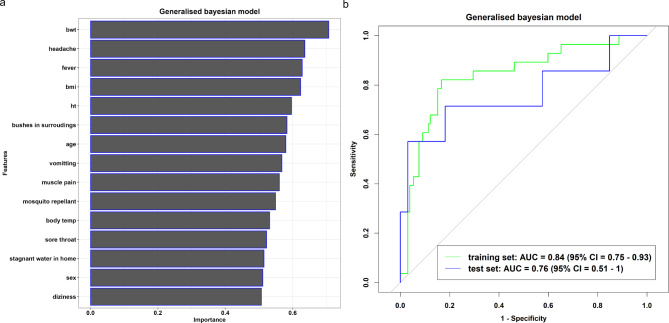
Results: Among the three machine learning models examined, the penalised logistic regression model had the best area under the receiver operating characteristic curve for the training set (AUC = 84%; 95% confidence interval [CI]: 75-93%) and test set (AUC = 83%; 95% CI: 63-100%). Increased odds of malaria were associated with higher body weight (adjusted odds ratio (AOR) = 4.50, 95% CI: 2.27 to 8.01, p < 0.0001). Even though the association between the odds of having malaria and body temperature was not significant, patients with high body temperature had higher odds of testing positive for the Pf antigen than those who did not have high body temperature (AOR = 1.40, 95% CI: 0.99 to 1.91, p = 0.068). In addition, patients who had bushes in their surroundings (AOR = 2.60, 95% CI: 1.30 to 4.66, p = 0.006) or experienced fever (AOR = 2.10, 95% CI: 0.88 to 4.24, p = 0.099), headache (AOR = 2.07; 95% CI: 0.95 to 3.95, p = 0.068), muscle pain (AOR = 1.49; 95% CI: 0.66 to 3.39, p = 0.333), and vomiting (AOR = 2.32; 95% CI: 0.85 to 6.82, p = 0.097) were more likely to experience malaria. In contrast, decreased odds of malaria were associated with age (AOR = 0.62, 95% CI: 0.41 to 0.90, p = 0.012) and BMI (AOR = 0.47, 95% CI: 0.26 to 0.80, p = 0.006).

Conclusion: Newly developed routinely collected baseline sociodemographic, environmental, and clinical features to predict Pf antigen positivity may be a valuable tool for clinical decision-making.

Abstract Image

Abstract Image

Abstract Image

利用患者的人口和环境特征以及临床症状来预测疟疾阳性,以补充治疗前的寄生虫学确认。
背景:目前的疟疾诊断方法依赖于显微镜检查和基于组氨酸富集蛋白-2 (HRP2) 的快速诊断检测 (RDT),这些方法都存在缺陷,因此有必要开发改进的辅助疟疾诊断方法,以克服部分或全部这些局限性。因此,利用实验室方法对疟疾进行自动检测和分类可为患者提供更准确、更快速的诊断。因此,本研究使用机器学习模型,根据社会人口行为、环境和临床特征预测恶性疟原虫(Pf)抗原阳性率(是否存在疟疾):采用嵌套交叉验证和连续后向特征选择(SBFS)方法,利用 200 名尼日利亚患者的数据开发预测模型,其中 80% 的数据集随机用于训练和优化,其余 20% 用于测试模型。结果被分为 Pf 阳性或 Pf 阴性,分别与存在或不存在疟疾相对应:在所研究的三种机器学习模型中,惩罚逻辑回归模型在训练集(AUC = 84%;95% 置信区间 [CI]:75-93%)和测试集(AUC = 83%;95% 置信区间:63-100%)的接收者操作特征曲线下面积最佳。疟疾发生几率的增加与体重增加有关(调整后的几率比(AOR)=4.50,95% CI:2.27 至 8.01,p 结论:疟疾发生几率的增加与体重增加有关(调整后的几率比(AOR)=4.50,95% CI:2.27 至 8.01,p 结论):新开发的用于预测 Pf 抗原阳性的常规基线社会人口学、环境和临床特征可能是临床决策的重要工具。
本文章由计算机程序翻译,如有差异,请以英文原文为准。
求助全文
约1分钟内获得全文 求助全文
来源期刊
CiteScore
5.20
自引率
0.00%
发文量
25
审稿时长
17 weeks
期刊介绍: Tropical Diseases, Travel Medicine and Vaccines is an open access journal that considers basic, translational and applied research, as well as reviews and commentary, related to the prevention and management of healthcare and diseases in international travelers. Given the changes in demographic trends of travelers globally, as well as the epidemiological transitions which many countries are experiencing, the journal considers non-infectious problems including chronic disease among target populations of interest as well as infectious diseases.
×
引用
GB/T 7714-2015
复制
MLA
复制
APA
复制
导出至
BibTeX EndNote RefMan NoteFirst NoteExpress
×
提示
您的信息不完整,为了账户安全,请先补充。
现在去补充
×
提示
您因"违规操作"
具体请查看互助需知
我知道了
×
提示
确定
请完成安全验证×
copy
已复制链接
快去分享给好友吧!
我知道了
右上角分享
点击右上角分享
0
联系我们:info@booksci.cn Book学术提供免费学术资源搜索服务,方便国内外学者检索中英文文献。致力于提供最便捷和优质的服务体验。 Copyright © 2023 布克学术 All rights reserved.
京ICP备2023020795号-1
ghs 京公网安备 11010802042870号
Book学术文献互助
Book学术文献互助群
群 号:604180095
Book学术官方微信