The Alarm Clock Against the Sun: Trends in Google Trends Search Activity Across the Transitions to and from Daylight Saving Time.

Q2 Biochemistry, Genetics and Molecular Biology
Journal of Circadian Rhythms Pub Date : 2023-11-29 eCollection Date: 2023-01-01 DOI:10.5334/jcr.230
Esther Dingena Domenie, Lisa Zarantonello, Chiara Mangini, Chiara Formentin, Gianluca Giusti, Domenico Ruggerini, Paola Cusumano, Alberto Biscontin, Rodolfo Costa, Sara Montagnese
{"title":"The Alarm Clock Against the Sun: Trends in Google Trends Search Activity Across the Transitions to and from Daylight Saving Time.","authors":"Esther Dingena Domenie, Lisa Zarantonello, Chiara Mangini, Chiara Formentin, Gianluca Giusti, Domenico Ruggerini, Paola Cusumano, Alberto Biscontin, Rodolfo Costa, Sara Montagnese","doi":"10.5334/jcr.230","DOIUrl":null,"url":null,"abstract":"<p><p>The human circadian timing system depends on the light/dark cycle as its main cue to synchronize with the environment, and thus with <i>solar time</i>. However, human activities depend also on <i>social time</i>, i.e. the set of time conventions and restrictions dictated by society, including Daylight Saving Time (DST), which adds an hour to any degree of desynchrony between <i>social</i> and <i>solar time</i>. Here, we used Google Trends as a data source to analyze diurnal variation, if any, and the daily peak in the relative search volume of 26 Google search queries in relation to the transitions to/from DST in Italy from 2015 to 2020. Our search queries of interest fell into three categories: sleep/health-related, medication and random non sleep/health-related. After initial rhythm and phase analysis, 11 words were selected to compare the average phase of the 15 days before and after the transition to/from DST. We observed an average phase advance after the transition to DST, and a phase delay after the transition to civil time, ranging from 25 to 60 minutes. Advances or delays shorter than 60 minutes, which were primarily observed in the sleep/health-related category, may suggest that search timing for these queries is at least partially driven by the endogenous circadian rhythm. Finally, a significant trend in phase anticipation over the years was observed for virtually all words. This is most likely related to an increase in age, and thus in earlier chronotypes, amongst Google users.</p>","PeriodicalId":15461,"journal":{"name":"Journal of Circadian Rhythms","volume":"21 ","pages":"3"},"PeriodicalIF":0.0000,"publicationDate":"2023-11-29","publicationTypes":"Journal Article","fieldsOfStudy":null,"isOpenAccess":false,"openAccessPdf":"https://www.ncbi.nlm.nih.gov/pmc/articles/PMC10705023/pdf/","citationCount":"0","resultStr":null,"platform":"Semanticscholar","paperid":null,"PeriodicalName":"Journal of Circadian Rhythms","FirstCategoryId":"1085","ListUrlMain":"https://doi.org/10.5334/jcr.230","RegionNum":0,"RegionCategory":null,"ArticlePicture":[],"TitleCN":null,"AbstractTextCN":null,"PMCID":null,"EPubDate":"2023/1/1 0:00:00","PubModel":"eCollection","JCR":"Q2","JCRName":"Biochemistry, Genetics and Molecular Biology","Score":null,"Total":0}
引用次数: 0

Abstract

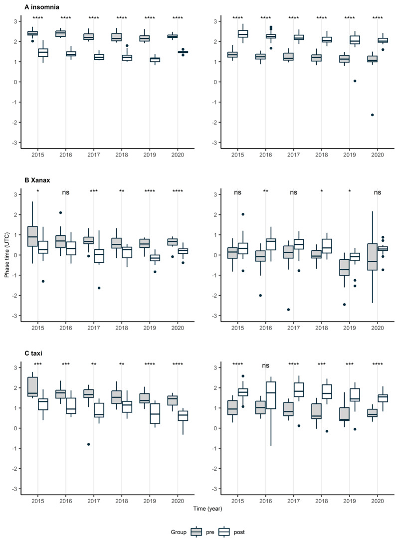
The human circadian timing system depends on the light/dark cycle as its main cue to synchronize with the environment, and thus with solar time. However, human activities depend also on social time, i.e. the set of time conventions and restrictions dictated by society, including Daylight Saving Time (DST), which adds an hour to any degree of desynchrony between social and solar time. Here, we used Google Trends as a data source to analyze diurnal variation, if any, and the daily peak in the relative search volume of 26 Google search queries in relation to the transitions to/from DST in Italy from 2015 to 2020. Our search queries of interest fell into three categories: sleep/health-related, medication and random non sleep/health-related. After initial rhythm and phase analysis, 11 words were selected to compare the average phase of the 15 days before and after the transition to/from DST. We observed an average phase advance after the transition to DST, and a phase delay after the transition to civil time, ranging from 25 to 60 minutes. Advances or delays shorter than 60 minutes, which were primarily observed in the sleep/health-related category, may suggest that search timing for these queries is at least partially driven by the endogenous circadian rhythm. Finally, a significant trend in phase anticipation over the years was observed for virtually all words. This is most likely related to an increase in age, and thus in earlier chronotypes, amongst Google users.

Abstract Image

Abstract Image

Abstract Image

对抗太阳的闹钟:谷歌趋势搜索活动在夏令时与夏令时之间的过渡趋势。
人类的昼夜节律计时系统主要依靠光/暗周期来与环境同步,从而与太阳时同步。然而,人类活动也依赖于社会时间,即社会规定的一系列时间惯例和限制,包括夏令时(DST),它使社会时间和太阳时之间的任何不同步程度都增加了一个小时。在此,我们使用谷歌趋势作为数据源,分析昼夜变化(如果有的话),以及与 2015 年至 2020 年意大利夏令时转换有关的 26 个谷歌搜索查询的日相对搜索量峰值。我们感兴趣的搜索查询分为三类:与睡眠/健康相关、药物和随机非睡眠/健康相关。经过初步的节奏和相位分析后,我们选择了 11 个词来比较转入/转出夏令时前后 15 天的平均相位。我们观察到,在过渡到夏令时后,平均相位提前,而在过渡到民用时间后,相位延迟,从 25 分钟到 60 分钟不等。提前或延迟时间短于 60 分钟的情况主要出现在睡眠/健康相关类别中,这可能表明这些查询的搜索时间至少部分受内生昼夜节律的影响。最后,几乎在所有词中都观察到了多年来相位预测的显著趋势。这很可能与谷歌用户的年龄增长有关,因此也与较早的昼夜节律有关。
本文章由计算机程序翻译,如有差异,请以英文原文为准。
求助全文
约1分钟内获得全文 求助全文
来源期刊
Journal of Circadian Rhythms
Journal of Circadian Rhythms Biochemistry, Genetics and Molecular Biology-Physiology
CiteScore
7.10
自引率
0.00%
发文量
0
审稿时长
12 weeks
期刊介绍: Journal of Circadian Rhythms is an Open Access, peer-reviewed online journal that publishes research articles dealing with circadian and nycthemeral (daily) rhythms in living organisms, including processes associated with photoperiodism and daily torpor. Journal of Circadian Rhythms aims to include both basic and applied research at any level of biological organization (molecular, cellular, organic, organismal, and populational). Studies of daily rhythms in environmental factors that directly affect circadian rhythms are also pertinent to the journal"s mission.
×
引用
GB/T 7714-2015
复制
MLA
复制
APA
复制
导出至
BibTeX EndNote RefMan NoteFirst NoteExpress
×
提示
您的信息不完整,为了账户安全,请先补充。
现在去补充
×
提示
您因"违规操作"
具体请查看互助需知
我知道了
×
提示
确定
请完成安全验证×
copy
已复制链接
快去分享给好友吧!
我知道了
右上角分享
点击右上角分享
0
联系我们:info@booksci.cn Book学术提供免费学术资源搜索服务,方便国内外学者检索中英文文献。致力于提供最便捷和优质的服务体验。 Copyright © 2023 布克学术 All rights reserved.
京ICP备2023020795号-1
ghs 京公网安备 11010802042870号
Book学术文献互助
Book学术文献互助群
群 号:604180095
Book学术官方微信