The NMR signature of maltose-based glycation in full-length proteins

IF 1.9 3区 生物学 Q3 BIOCHEMISTRY & MOLECULAR BIOLOGY
Pauline Defant, Christof Regl, Christian G. Huber, Mario Schubert
{"title":"The NMR signature of maltose-based glycation in full-length proteins","authors":"Pauline Defant,&nbsp;Christof Regl,&nbsp;Christian G. Huber,&nbsp;Mario Schubert","doi":"10.1007/s10858-023-00432-5","DOIUrl":null,"url":null,"abstract":"<div><p>Reducing sugars can spontaneously react with free amines in protein side chains leading to posttranslational modifications (PTMs) called glycation. In contrast to glycosylation, glycation is a non-enzymatic modification with consequences on the overall charge, solubility, aggregation susceptibility and functionality of a protein. Glycation is a critical quality attribute of therapeutic monoclonal antibodies. In addition to glucose, also disaccharides like maltose can form glycation products. We present here a detailed NMR analysis of the Amadori product formed between proteins and maltose. For better comparison, data collection was done under denaturing conditions using 7 M urea-d<sub>4</sub> in D<sub>2</sub>O. The here presented correlation patterns serve as a signature and can be used to identify maltose-based glycation in any protein that can be denatured. In addition to the model protein BSA, which can be readily glycated, we present data of the biotherapeutic abatacept containing maltose in its formulation buffer. With this contribution, we demonstrate that NMR spectroscopy is an independent method for detecting maltose-based glycation, that is suited for cross-validation with other methods.</p></div>","PeriodicalId":613,"journal":{"name":"Journal of Biomolecular NMR","volume":"78 1","pages":"61 - 72"},"PeriodicalIF":1.9000,"publicationDate":"2023-12-20","publicationTypes":"Journal Article","fieldsOfStudy":null,"isOpenAccess":false,"openAccessPdf":"https://www.ncbi.nlm.nih.gov/pmc/articles/PMC10981599/pdf/","citationCount":"0","resultStr":null,"platform":"Semanticscholar","paperid":null,"PeriodicalName":"Journal of Biomolecular NMR","FirstCategoryId":"99","ListUrlMain":"https://link.springer.com/article/10.1007/s10858-023-00432-5","RegionNum":3,"RegionCategory":"生物学","ArticlePicture":[],"TitleCN":null,"AbstractTextCN":null,"PMCID":null,"EPubDate":"","PubModel":"","JCR":"Q3","JCRName":"BIOCHEMISTRY & MOLECULAR BIOLOGY","Score":null,"Total":0}
引用次数: 0

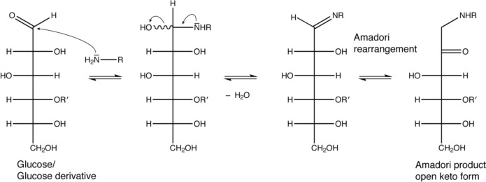
Abstract

Reducing sugars can spontaneously react with free amines in protein side chains leading to posttranslational modifications (PTMs) called glycation. In contrast to glycosylation, glycation is a non-enzymatic modification with consequences on the overall charge, solubility, aggregation susceptibility and functionality of a protein. Glycation is a critical quality attribute of therapeutic monoclonal antibodies. In addition to glucose, also disaccharides like maltose can form glycation products. We present here a detailed NMR analysis of the Amadori product formed between proteins and maltose. For better comparison, data collection was done under denaturing conditions using 7 M urea-d4 in D2O. The here presented correlation patterns serve as a signature and can be used to identify maltose-based glycation in any protein that can be denatured. In addition to the model protein BSA, which can be readily glycated, we present data of the biotherapeutic abatacept containing maltose in its formulation buffer. With this contribution, we demonstrate that NMR spectroscopy is an independent method for detecting maltose-based glycation, that is suited for cross-validation with other methods.

Abstract Image

Abstract Image

Abstract Image

全长蛋白质中基于麦芽糖的糖化核磁共振特征。
还原糖会自发地与蛋白质侧链中的游离胺发生反应,从而导致称为糖化的翻译后修饰(PTMs)。与糖基化不同,糖化是一种非酶修饰,会对蛋白质的整体电荷、溶解度、聚集敏感性和功能性产生影响。糖化是治疗性单克隆抗体的一个关键质量属性。除葡萄糖外,麦芽糖等二糖也会形成糖化产物。我们在此对蛋白质与麦芽糖之间形成的 Amadori 产物进行了详细的核磁共振分析。为了更好地进行比较,数据收集是在变性条件下使用 7 M 尿素-d4 和 D2O 进行的。这里介绍的相关模式是一种特征,可用于识别任何可变性蛋白质中基于麦芽糖的糖化。除了容易糖化的模型蛋白质 BSA 外,我们还提供了生物治疗药物阿巴他赛在其配制缓冲液中含有麦芽糖的数据。通过这项研究,我们证明核磁共振光谱法是检测麦芽糖糖化的一种独立方法,适合与其他方法进行交叉验证。
本文章由计算机程序翻译,如有差异,请以英文原文为准。
求助全文
约1分钟内获得全文 求助全文
来源期刊
Journal of Biomolecular NMR
Journal of Biomolecular NMR 生物-光谱学
CiteScore
6.00
自引率
3.70%
发文量
19
审稿时长
6-12 weeks
期刊介绍: The Journal of Biomolecular NMR provides a forum for publishing research on technical developments and innovative applications of nuclear magnetic resonance spectroscopy for the study of structure and dynamic properties of biopolymers in solution, liquid crystals, solids and mixed environments, e.g., attached to membranes. This may include: Three-dimensional structure determination of biological macromolecules (polypeptides/proteins, DNA, RNA, oligosaccharides) by NMR. New NMR techniques for studies of biological macromolecules. Novel approaches to computer-aided automated analysis of multidimensional NMR spectra. Computational methods for the structural interpretation of NMR data, including structure refinement. Comparisons of structures determined by NMR with those obtained by other methods, e.g. by diffraction techniques with protein single crystals. New techniques of sample preparation for NMR experiments (biosynthetic and chemical methods for isotope labeling, preparation of nutrients for biosynthetic isotope labeling, etc.). An NMR characterization of the products must be included.
×
引用
GB/T 7714-2015
复制
MLA
复制
APA
复制
导出至
BibTeX EndNote RefMan NoteFirst NoteExpress
×
提示
您的信息不完整,为了账户安全,请先补充。
现在去补充
×
提示
您因"违规操作"
具体请查看互助需知
我知道了
×
提示
确定
请完成安全验证×
copy
已复制链接
快去分享给好友吧!
我知道了
右上角分享
点击右上角分享
0
联系我们:info@booksci.cn Book学术提供免费学术资源搜索服务,方便国内外学者检索中英文文献。致力于提供最便捷和优质的服务体验。 Copyright © 2023 布克学术 All rights reserved.
京ICP备2023020795号-1
ghs 京公网安备 11010802042870号
Book学术文献互助
Book学术文献互助群
群 号:604180095
Book学术官方微信