Enhancement of silicon sub-bandgap photodetection by helium-ion implantation.

IF 5.2 3区 工程技术 Q2 ENGINEERING, ELECTRICAL & ELECTRONIC
Zhao Wang, Xiaolei Wen, Kai Zou, Yun Meng, Jinwei Zeng, Jian Wang, Huan Hu, Xiaolong Hu
{"title":"Enhancement of silicon sub-bandgap photodetection by helium-ion implantation.","authors":"Zhao Wang, Xiaolei Wen, Kai Zou, Yun Meng, Jinwei Zeng, Jian Wang, Huan Hu, Xiaolong Hu","doi":"10.1007/s12200-023-00096-x","DOIUrl":null,"url":null,"abstract":"<p><p>Silicon sub-bandgap photodetectors can detect light at the infrared telecommunication wavelengths but with relatively weak photo-response. In this work, we demonstrate the enhancement of sub-bandgap photodetection in silicon by helium-ion implantation, without affecting the transparency that is an important beneficial feature of this type of photodetectors. With an implantation dose of 1 × 10<sup>13</sup> ions/cm<sup>2</sup>, the minimal detectable optical power can be improved from - 33.2 to - 63.1 dBm, or, by 29.9 dB, at the wavelength of 1550 nm, and the photo-response at the same optical power (- 10 dBm) can be enhanced by approximately 18.8 dB. Our work provides a method for strategically modifying the intrinsic trade-off between transparency and strong photo-responses of this type of photodetectors.</p>","PeriodicalId":12685,"journal":{"name":"Frontiers of Optoelectronics","volume":"16 1","pages":"41"},"PeriodicalIF":5.2000,"publicationDate":"2023-12-06","publicationTypes":"Journal Article","fieldsOfStudy":null,"isOpenAccess":false,"openAccessPdf":"https://www.ncbi.nlm.nih.gov/pmc/articles/PMC10700279/pdf/","citationCount":"0","resultStr":null,"platform":"Semanticscholar","paperid":null,"PeriodicalName":"Frontiers of Optoelectronics","FirstCategoryId":"5","ListUrlMain":"https://doi.org/10.1007/s12200-023-00096-x","RegionNum":3,"RegionCategory":"工程技术","ArticlePicture":[],"TitleCN":null,"AbstractTextCN":null,"PMCID":null,"EPubDate":"","PubModel":"","JCR":"Q2","JCRName":"ENGINEERING, ELECTRICAL & ELECTRONIC","Score":null,"Total":0}
引用次数: 0

Abstract

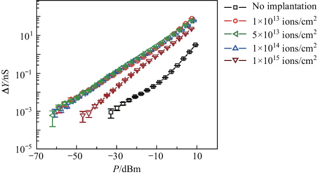
Silicon sub-bandgap photodetectors can detect light at the infrared telecommunication wavelengths but with relatively weak photo-response. In this work, we demonstrate the enhancement of sub-bandgap photodetection in silicon by helium-ion implantation, without affecting the transparency that is an important beneficial feature of this type of photodetectors. With an implantation dose of 1 × 1013 ions/cm2, the minimal detectable optical power can be improved from - 33.2 to - 63.1 dBm, or, by 29.9 dB, at the wavelength of 1550 nm, and the photo-response at the same optical power (- 10 dBm) can be enhanced by approximately 18.8 dB. Our work provides a method for strategically modifying the intrinsic trade-off between transparency and strong photo-responses of this type of photodetectors.

Abstract Image

Abstract Image

Abstract Image

通过氦离子注入增强硅亚带隙光电探测。
硅亚带隙光电探测器可以探测红外通信波长的光,但光响应相对较弱。在这项工作中,我们展示了通过氦离子植入来增强硅亚带隙光电探测器的性能,同时不影响透明度,而透明度正是这类光电探测器的一个重要优点。当植入剂量为 1 × 1013 离子/平方厘米时,波长为 1550 纳米的最小可探测光功率可从 - 33.2 dBm 提高到 - 63.1 dBm,即提高 29.9 dB,而相同光功率(- 10 dBm)下的光反应可提高约 18.8 dB。我们的工作提供了一种方法,可以从战略上改变这类光电探测器在透明度和强光响应之间的内在权衡。
本文章由计算机程序翻译,如有差异,请以英文原文为准。
求助全文
约1分钟内获得全文 求助全文
来源期刊
Frontiers of Optoelectronics
Frontiers of Optoelectronics ENGINEERING, ELECTRICAL & ELECTRONIC-
CiteScore
7.80
自引率
0.00%
发文量
583
期刊介绍: Frontiers of Optoelectronics seeks to provide a multidisciplinary forum for a broad mix of peer-reviewed academic papers in order to promote rapid communication and exchange between researchers in China and abroad. It introduces and reflects significant achievements being made in the field of photonics or optoelectronics. The topics include, but are not limited to, semiconductor optoelectronics, nano-photonics, information photonics, energy photonics, ultrafast photonics, biomedical photonics, nonlinear photonics, fiber optics, laser and terahertz technology and intelligent photonics. The journal publishes reviews, research articles, letters, comments, special issues and so on. Frontiers of Optoelectronics especially encourages papers from new emerging and multidisciplinary areas, papers reflecting the international trends of research and development, and on special topics reporting progress made in the field of optoelectronics. All published papers will reflect the original thoughts of researchers and practitioners on basic theories, design and new technology in optoelectronics. Frontiers of Optoelectronics is strictly peer-reviewed and only accepts original submissions in English. It is a fully OA journal and the APCs are covered by Higher Education Press and Huazhong University of Science and Technology. ● Presents the latest developments in optoelectronics and optics ● Emphasizes the latest developments of new optoelectronic materials, devices, systems and applications ● Covers industrial photonics, information photonics, biomedical photonics, energy photonics, laser and terahertz technology, and more
×
引用
GB/T 7714-2015
复制
MLA
复制
APA
复制
导出至
BibTeX EndNote RefMan NoteFirst NoteExpress
×
提示
您的信息不完整,为了账户安全,请先补充。
现在去补充
×
提示
您因"违规操作"
具体请查看互助需知
我知道了
×
提示
确定
请完成安全验证×
copy
已复制链接
快去分享给好友吧!
我知道了
右上角分享
点击右上角分享
0
联系我们:info@booksci.cn Book学术提供免费学术资源搜索服务,方便国内外学者检索中英文文献。致力于提供最便捷和优质的服务体验。 Copyright © 2023 布克学术 All rights reserved.
京ICP备2023020795号-1
ghs 京公网安备 11010802042870号
Book学术文献互助
Book学术文献互助群
群 号:604180095
Book学术官方微信