The diagnostic cut-off points for components of sarcopenia in Finnish Caucasian women: A retrospective cross-sectional study.

Samu Sjöblom, Juha Suuronen, Toni Rikkonen, Risto Honkanen, Heikki Kröger, Joonas Sirola
{"title":"The diagnostic cut-off points for components of sarcopenia in Finnish Caucasian women: A retrospective cross-sectional study.","authors":"Samu Sjöblom, Juha Suuronen, Toni Rikkonen, Risto Honkanen, Heikki Kröger, Joonas Sirola","doi":"10.22540/JFSF-08-211","DOIUrl":null,"url":null,"abstract":"<p><strong>Objectives: </strong>To determine the diagnostic cut-off values of components for sarcopenia in Caucasian women.</p><p><strong>Methods: </strong>The present retrospective cross-sectional study based on the REFERENCE sample included 400 healthy women aged 20 to 40 years, and the OSTPRE sample included 344 women aged 63 to 75. The subjects of the OSTPRE population were re-measured five and ten years later after the baseline. Both samples underwent grip strength (GS), quadriceps strength (QS), and total-body DXA (TB-DXA) measurements, from which Relative Skeletal Muscle Mass Index (RSMI) was calculated.</p><p><strong>Results: </strong>In the REFERENCE population, the -1 SD / -2 SD cut-off points were for RSMI 5.8 kg/m<sup>2</sup> / 5.1 kg/m<sup>2</sup>, for GS 32.0 kg / 26.4 kg, and for QS 39.8 kg / 29.8 kg. The prevalence of under -2 SD distributions in REFERENCE were: RSMI 1.8%, GS 1.3%, and QS 2.0%, and in OSTPRE (15/20/25 years measurements): RSMI 1.2 %/1.9 %/0.5 %, GS 52.2%/42.3%/48.8%, and QS 47.4%/55.2%/not available. The distributions of GS and QS were statistically significantly different between REFERENCE and all OSTPRE measurement points (p<0.001 in Chi-squared).</p><p><strong>Conclusions: </strong>The diagnostic cut-offs for components of sarcopenia are RSMI 5.1 kg/m<sup>2</sup>, grip strength 26.4 kg, and quadriceps strength 29.8 kg in Finnish Caucasian women.</p>","PeriodicalId":73754,"journal":{"name":"Journal of frailty, sarcopenia and falls","volume":"8 4","pages":"211-220"},"PeriodicalIF":0.0000,"publicationDate":"2023-12-01","publicationTypes":"Journal Article","fieldsOfStudy":null,"isOpenAccess":false,"openAccessPdf":"https://www.ncbi.nlm.nih.gov/pmc/articles/PMC10690131/pdf/","citationCount":"0","resultStr":null,"platform":"Semanticscholar","paperid":null,"PeriodicalName":"Journal of frailty, sarcopenia and falls","FirstCategoryId":"1085","ListUrlMain":"https://doi.org/10.22540/JFSF-08-211","RegionNum":0,"RegionCategory":null,"ArticlePicture":[],"TitleCN":null,"AbstractTextCN":null,"PMCID":null,"EPubDate":"","PubModel":"","JCR":"","JCRName":"","Score":null,"Total":0}
引用次数: 0

Abstract

Objectives: To determine the diagnostic cut-off values of components for sarcopenia in Caucasian women.

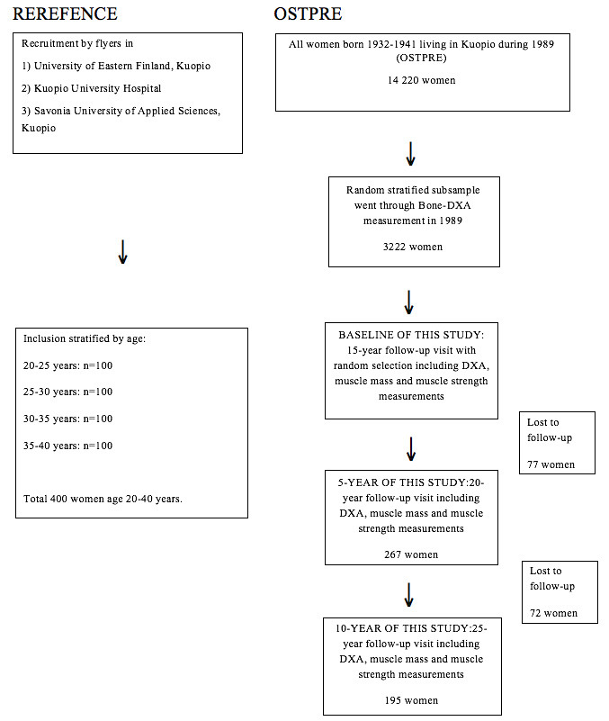
Methods: The present retrospective cross-sectional study based on the REFERENCE sample included 400 healthy women aged 20 to 40 years, and the OSTPRE sample included 344 women aged 63 to 75. The subjects of the OSTPRE population were re-measured five and ten years later after the baseline. Both samples underwent grip strength (GS), quadriceps strength (QS), and total-body DXA (TB-DXA) measurements, from which Relative Skeletal Muscle Mass Index (RSMI) was calculated.

Results: In the REFERENCE population, the -1 SD / -2 SD cut-off points were for RSMI 5.8 kg/m2 / 5.1 kg/m2, for GS 32.0 kg / 26.4 kg, and for QS 39.8 kg / 29.8 kg. The prevalence of under -2 SD distributions in REFERENCE were: RSMI 1.8%, GS 1.3%, and QS 2.0%, and in OSTPRE (15/20/25 years measurements): RSMI 1.2 %/1.9 %/0.5 %, GS 52.2%/42.3%/48.8%, and QS 47.4%/55.2%/not available. The distributions of GS and QS were statistically significantly different between REFERENCE and all OSTPRE measurement points (p<0.001 in Chi-squared).

Conclusions: The diagnostic cut-offs for components of sarcopenia are RSMI 5.1 kg/m2, grip strength 26.4 kg, and quadriceps strength 29.8 kg in Finnish Caucasian women.

Abstract Image

Abstract Image

Abstract Image

芬兰高加索女性肌肉减少症的诊断分界点:一项回顾性横断面研究。
目的:确定高加索女性肌肉减少症的诊断临界值。方法:本研究以REFERENCE样本为基础,纳入400名20 ~ 40岁的健康女性,OSTPRE样本包括344名63 ~ 75岁的女性。OSTPRE人群的受试者在基线后5年和10年后重新测量。两组样本均接受握力(GS)、股四头肌力量(QS)和全身DXA (TB-DXA)测量,并由此计算相对骨骼肌质量指数(RSMI)。结果:在参考人群中,-1 SD / -2 SD分界点分别为RSMI为5.8 kg/m2 / 5.1 kg/m2, GS为32.0 kg/ 26.4 kg, QS为39.8 kg/ 29.8 kg。参考文献中-2 SD以下的患病率分布为:RSMI为1.8%,GS为1.3%,QS为2.0%;OSTPRE(15/20/25年测量)中:RSMI为1.2% / 1.9% / 0.5%,GS为52.2%/42.3%/48.8%,QS为47.4%/55.2%/not available。GS和QS的分布在REFERENCE和所有OSTPRE测量点之间有统计学差异(p结论:芬兰高加索女性肌肉减少症成分的诊断截止值为RSMI 5.1 kg/m2,握力26.4 kg,股四头肌力量29.8 kg。
本文章由计算机程序翻译,如有差异,请以英文原文为准。
求助全文
约1分钟内获得全文 求助全文
来源期刊
自引率
0.00%
发文量
0
审稿时长
6 weeks
×
引用
GB/T 7714-2015
复制
MLA
复制
APA
复制
导出至
BibTeX EndNote RefMan NoteFirst NoteExpress
×
提示
您的信息不完整,为了账户安全,请先补充。
现在去补充
×
提示
您因"违规操作"
具体请查看互助需知
我知道了
×
提示
确定
请完成安全验证×
copy
已复制链接
快去分享给好友吧!
我知道了
右上角分享
点击右上角分享
0
联系我们:info@booksci.cn Book学术提供免费学术资源搜索服务,方便国内外学者检索中英文文献。致力于提供最便捷和优质的服务体验。 Copyright © 2023 布克学术 All rights reserved.
京ICP备2023020795号-1
ghs 京公网安备 11010802042870号
Book学术文献互助
Book学术文献互助群
群 号:604180095
Book学术官方微信