Adherence to the Mediterranean Diet Is Associated with Decreased Fecal Calprotectin Levels in Children with Crohn's Disease in Clinical Remission under Biological Therapy.

IF 2.1 4区 医学 Q3 GASTROENTEROLOGY & HEPATOLOGY
Digestive Diseases Pub Date : 2024-01-01 Epub Date: 2023-12-01 DOI:10.1159/000535540
Rotem Sigall Boneh, Amit Assa, Raffi Lev-Tzion, Manar Matar, Dror Shouval, Chen Shubeli, Tsachi Tsadok Perets, Gabriel Chodick, Raanan Shamir
{"title":"Adherence to the Mediterranean Diet Is Associated with Decreased Fecal Calprotectin Levels in Children with Crohn's Disease in Clinical Remission under Biological Therapy.","authors":"Rotem Sigall Boneh, Amit Assa, Raffi Lev-Tzion, Manar Matar, Dror Shouval, Chen Shubeli, Tsachi Tsadok Perets, Gabriel Chodick, Raanan Shamir","doi":"10.1159/000535540","DOIUrl":null,"url":null,"abstract":"<p><strong>Introduction: </strong>Adherence to the Mediterranean diet (MD) was shown to be associated with decreased disease activity in adult patients with Crohn's disease (CD). Nevertheless, data on its association with fecal calprotectin (FC), particularly in children, remain limited. This study aimed to assess the association between adherence to the MD and FC as an indicator of mucosal healing in patients who are predominantly in remission while undergoing biological therapy.</p><p><strong>Methods: </strong>This was a cross-sectional study among children with CD. Adherence to MD was evaluated using both the KIDMED questionnaire and a food frequency questionnaire (FFQ). Israeli Mediterranean Diet Adherence Screener (I-MEDAS) score was calculated, and FC samples were obtained.</p><p><strong>Results: </strong>Of 103 eligible patients, 99 were included (mean age 14.3 ± 2.6 years; 38.4% females); 88% were in clinical remission, and 30% presented with elevated FC. The mean KIDMED score was higher among patients who had FC &lt;200 μg/g compared to patients with FC &gt;200 μg/g (5.48 ± 2.58 vs. 4.37 ± 2.47, respectively; p = 0.04). A moderate correlation between the KIDMED score and the I-MEDAS score was observed (r = 0.46; p = 0.001). In a multivariate regression analysis, adherence to MD was associated with decreased calprotectin levels, OR 0.75 [95% CI: 0.6-0.95], p = 0.019. Vegetable consumption was found to be inversely associated with elevated FC (0.9 portion/day [0.3-2.9] in FC &gt;200 μg/g vs. 2.2 portions/day [0.87-3.82] in FC &lt;200 μg/g; p = 0.049).</p><p><strong>Conclusions: </strong>In children with CD who are mostly in clinical remission under biological therapy, high adherence to MD is associated with decreased FC levels. Encouraging vegetable consumption, especially during remission, may benefit these patients.</p>","PeriodicalId":11294,"journal":{"name":"Digestive Diseases","volume":" ","pages":"199-210"},"PeriodicalIF":2.1000,"publicationDate":"2024-01-01","publicationTypes":"Journal Article","fieldsOfStudy":null,"isOpenAccess":false,"openAccessPdf":"https://www.ncbi.nlm.nih.gov/pmc/articles/PMC10997263/pdf/","citationCount":"0","resultStr":null,"platform":"Semanticscholar","paperid":null,"PeriodicalName":"Digestive Diseases","FirstCategoryId":"3","ListUrlMain":"https://doi.org/10.1159/000535540","RegionNum":4,"RegionCategory":"医学","ArticlePicture":[],"TitleCN":null,"AbstractTextCN":null,"PMCID":null,"EPubDate":"2023/12/1 0:00:00","PubModel":"Epub","JCR":"Q3","JCRName":"GASTROENTEROLOGY & HEPATOLOGY","Score":null,"Total":0}
引用次数: 0

Abstract

Introduction: Adherence to the Mediterranean diet (MD) was shown to be associated with decreased disease activity in adult patients with Crohn's disease (CD). Nevertheless, data on its association with fecal calprotectin (FC), particularly in children, remain limited. This study aimed to assess the association between adherence to the MD and FC as an indicator of mucosal healing in patients who are predominantly in remission while undergoing biological therapy.

Methods: This was a cross-sectional study among children with CD. Adherence to MD was evaluated using both the KIDMED questionnaire and a food frequency questionnaire (FFQ). Israeli Mediterranean Diet Adherence Screener (I-MEDAS) score was calculated, and FC samples were obtained.

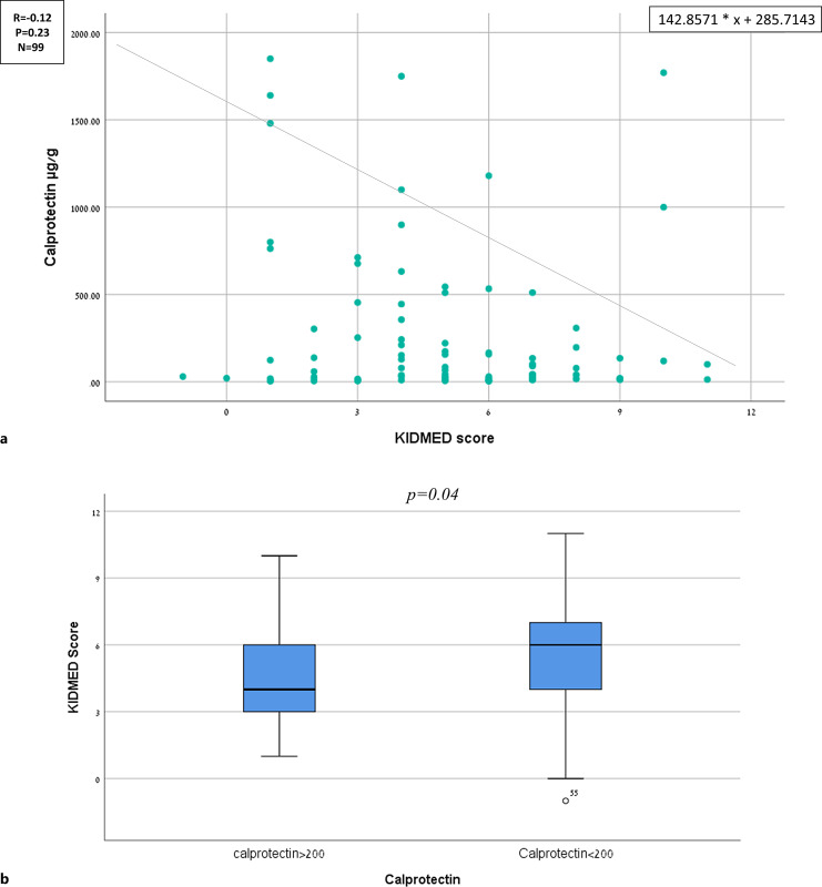
Results: Of 103 eligible patients, 99 were included (mean age 14.3 ± 2.6 years; 38.4% females); 88% were in clinical remission, and 30% presented with elevated FC. The mean KIDMED score was higher among patients who had FC <200 μg/g compared to patients with FC >200 μg/g (5.48 ± 2.58 vs. 4.37 ± 2.47, respectively; p = 0.04). A moderate correlation between the KIDMED score and the I-MEDAS score was observed (r = 0.46; p = 0.001). In a multivariate regression analysis, adherence to MD was associated with decreased calprotectin levels, OR 0.75 [95% CI: 0.6-0.95], p = 0.019. Vegetable consumption was found to be inversely associated with elevated FC (0.9 portion/day [0.3-2.9] in FC >200 μg/g vs. 2.2 portions/day [0.87-3.82] in FC <200 μg/g; p = 0.049).

Conclusions: In children with CD who are mostly in clinical remission under biological therapy, high adherence to MD is associated with decreased FC levels. Encouraging vegetable consumption, especially during remission, may benefit these patients.

Abstract Image

Abstract Image

Abstract Image

坚持地中海饮食与生物治疗下临床缓解期克罗恩病儿童粪便钙保护蛋白水平降低有关。
背景和目的:坚持地中海饮食(MD)被证明与克罗恩病(CD)成年患者疾病活动性降低相关。然而,关于其与粪便钙保护蛋白(FC)相关性的数据,特别是在儿童中,仍然有限。本研究旨在评估在接受生物治疗时主要处于缓解期的患者中,坚持MD和FC作为粘膜愈合(MH)指标之间的关系。方法:这是一项针对乳糜泻儿童的横断面研究。使用KIDMED问卷和食物频率问卷(FFQ)来评估MD的依从性。计算以色列地中海饮食依从性筛查(I-MEDAS)评分,并获得FC样本。结果:103例符合条件的患者中,99例纳入(平均年龄14.3±2.6岁;38.4%的女性);88%的患者临床缓解,30%的患者FC升高。FC200µg/g患者的平均KIDMED评分较高(分别为5.48±2.58比4.37±2.47);p = 0.04)。KIDMED评分与I-MEDAS评分之间存在中度相关性(r=0.46;p = 0.001)。在多变量回归分析中,坚持服用MD与钙保护蛋白水平降低相关,OR为0.75[95%CI: 0.6-0.95], p=0.019。蔬菜摄入量与FC水平升高呈负相关(FC>200 μ g/g组为0.9份/天[0.3-2.9],FC组为2.2份/天[0.87-3.82])。结论:在大多数经生物治疗临床缓解的CD患儿中,高依从MD与FC水平降低相关。鼓励蔬菜消费,特别是在缓解期,可能对这些患者有益。
本文章由计算机程序翻译,如有差异,请以英文原文为准。
求助全文
约1分钟内获得全文 求助全文
来源期刊
Digestive Diseases
Digestive Diseases 医学-胃肠肝病学
CiteScore
4.80
自引率
0.00%
发文量
58
审稿时长
2 months
期刊介绍: Each issue of this journal is dedicated to a special topic of current interest, covering both clinical and basic science topics in gastrointestinal function and disorders. The contents of each issue are comprehensive and reflect the state of the art, featuring editorials, reviews, mini reviews and original papers. These individual contributions encompass a variety of disciplines including all fields of gastroenterology. ''Digestive Diseases'' bridges the communication gap between advances made in the academic setting and their application in patient care. The journal is a valuable service for clinicians, specialists and physicians-in-training.
×
引用
GB/T 7714-2015
复制
MLA
复制
APA
复制
导出至
BibTeX EndNote RefMan NoteFirst NoteExpress
×
提示
您的信息不完整,为了账户安全,请先补充。
现在去补充
×
提示
您因"违规操作"
具体请查看互助需知
我知道了
×
提示
确定
请完成安全验证×
copy
已复制链接
快去分享给好友吧!
我知道了
右上角分享
点击右上角分享
0
联系我们:info@booksci.cn Book学术提供免费学术资源搜索服务,方便国内外学者检索中英文文献。致力于提供最便捷和优质的服务体验。 Copyright © 2023 布克学术 All rights reserved.
京ICP备2023020795号-1
ghs 京公网安备 11010802042870号
Book学术文献互助
Book学术文献互助群
群 号:604180095
Book学术官方微信