Evaluation of oxidative stress level: reactive oxygen species, reduced glutathione, and D-dimer in patients hospitalized due to COVID-19.

IF 7.4 2区 生物学 Q1 BIOCHEMISTRY & MOLECULAR BIOLOGY
Redox Report Pub Date : 2023-12-01 Epub Date: 2023-12-02 DOI:10.1080/13510002.2023.2272384
Claudionei Roessler, Karen Cristine Silva de Oliveira, Auricélia Xavier de Oliveira Portella, Paulo Cezar Nunes Fortes, Franciéle Romero Machado, Stífani Machado Araujo, Marina Prigol, Léia Carolina Lucio, Dalila Moter Benvegnú, Lirane Elize Defante Ferreto
{"title":"Evaluation of oxidative stress level: reactive oxygen species, reduced glutathione, and D-dimer in patients hospitalized due to COVID-19.","authors":"Claudionei Roessler, Karen Cristine Silva de Oliveira, Auricélia Xavier de Oliveira Portella, Paulo Cezar Nunes Fortes, Franciéle Romero Machado, Stífani Machado Araujo, Marina Prigol, Léia Carolina Lucio, Dalila Moter Benvegnú, Lirane Elize Defante Ferreto","doi":"10.1080/13510002.2023.2272384","DOIUrl":null,"url":null,"abstract":"<p><p>Elevated D-dimer levels at hospital admission may also indicate a higher likelihood of progressing to a severe or critical state. This study aimed to assess reactive oxygen species (ROS), non-enzymatic antioxidant reduced glutathione (GSH), and D-dimer levels in COVID-19 patients upon admission, examining their association with mortality outcomes. Data was collected from the medical records of 170 patients hospitalized in a referral hospital unit between March 2020 and December 2021. Patients were divided into two groups: the ward bed group (<i>n</i> = 87), comprising 51% with moderate clinical conditions, and the intensive care unit (ICU) group (<i>n</i> = 83), comprising 49% with severe conditions. The mean age was 59.4 years, with a male predominance of 52.4%. The overall death rate was 43%, with 30.6% in the moderate group and 69.4% in the severe group. The average time from symptom onset to hospitalization was 6.42 days. Results showed that non-survivors had high D-dimer and ROS counts, longer ICU stays, and worse saturation levels at admission. In conclusion, elevated ROS and D-dimer levels may contribute to worse outcomes in critically ill patients, potentially serving as specific and sensitive predictors of poor outcomes upon admission.</p>","PeriodicalId":21096,"journal":{"name":"Redox Report","volume":"28 1","pages":"1-6"},"PeriodicalIF":7.4000,"publicationDate":"2023-12-01","publicationTypes":"Journal Article","fieldsOfStudy":null,"isOpenAccess":false,"openAccessPdf":"https://www.ncbi.nlm.nih.gov/pmc/articles/PMC11001273/pdf/","citationCount":"0","resultStr":null,"platform":"Semanticscholar","paperid":null,"PeriodicalName":"Redox Report","FirstCategoryId":"99","ListUrlMain":"https://doi.org/10.1080/13510002.2023.2272384","RegionNum":2,"RegionCategory":"生物学","ArticlePicture":[],"TitleCN":null,"AbstractTextCN":null,"PMCID":null,"EPubDate":"2023/12/2 0:00:00","PubModel":"Epub","JCR":"Q1","JCRName":"BIOCHEMISTRY & MOLECULAR BIOLOGY","Score":null,"Total":0}
引用次数: 0

Abstract

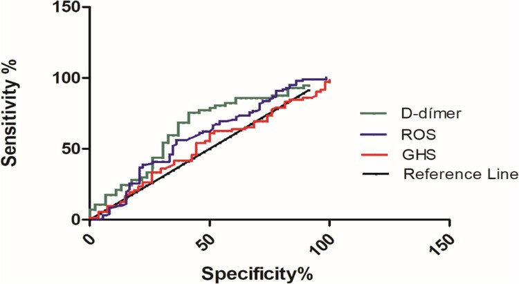
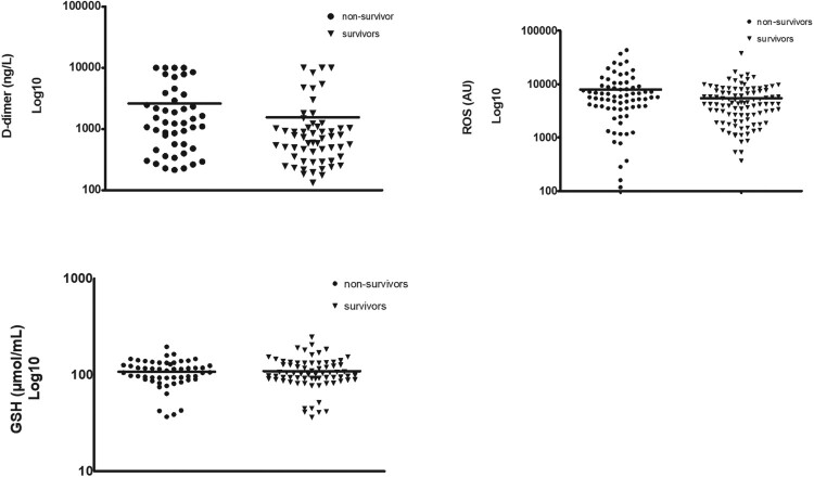
Elevated D-dimer levels at hospital admission may also indicate a higher likelihood of progressing to a severe or critical state. This study aimed to assess reactive oxygen species (ROS), non-enzymatic antioxidant reduced glutathione (GSH), and D-dimer levels in COVID-19 patients upon admission, examining their association with mortality outcomes. Data was collected from the medical records of 170 patients hospitalized in a referral hospital unit between March 2020 and December 2021. Patients were divided into two groups: the ward bed group (n = 87), comprising 51% with moderate clinical conditions, and the intensive care unit (ICU) group (n = 83), comprising 49% with severe conditions. The mean age was 59.4 years, with a male predominance of 52.4%. The overall death rate was 43%, with 30.6% in the moderate group and 69.4% in the severe group. The average time from symptom onset to hospitalization was 6.42 days. Results showed that non-survivors had high D-dimer and ROS counts, longer ICU stays, and worse saturation levels at admission. In conclusion, elevated ROS and D-dimer levels may contribute to worse outcomes in critically ill patients, potentially serving as specific and sensitive predictors of poor outcomes upon admission.

Abstract Image

Abstract Image

Abstract Image

COVID-19住院患者氧化应激水平评价:活性氧、还原性谷胱甘肽和d -二聚体
入院时d -二聚体水平升高也可能表明进展到严重或危重状态的可能性更高。本研究旨在评估COVID-19患者入院时的活性氧(ROS)、非酶促抗氧化剂还原性谷胱甘肽(GSH)和d -二聚体水平,并研究它们与死亡率结果的关系。数据收集自2020年3月至2021年12月期间在转诊医院住院的170名患者的医疗记录。患者分为两组:病房组(n = 87),占临床病情中度的51%;重症监护病房(ICU)组(n = 83),占重症的49%。平均年龄59.4岁,男性占52.4%。总死亡率为43%,其中中度组30.6%,重度组69.4%。从出现症状到住院平均时间为6.42 d。结果显示,非幸存者d -二聚体和ROS计数较高,ICU住院时间较长,入院时饱和度较差。总之,ROS和d -二聚体水平升高可能导致危重患者预后较差,可能作为入院时不良预后的特异性和敏感性预测指标。
本文章由计算机程序翻译,如有差异,请以英文原文为准。
求助全文
约1分钟内获得全文 求助全文
来源期刊
Redox Report
Redox Report 生物-生化与分子生物学
CiteScore
6.10
自引率
0.00%
发文量
28
审稿时长
>12 weeks
期刊介绍: Redox Report is a multidisciplinary peer-reviewed open access journal focusing on the role of free radicals, oxidative stress, activated oxygen, perioxidative and redox processes, primarily in the human environment and human pathology. Relevant papers on the animal and plant environment, biology and pathology will also be included. While emphasis is placed upon methodological and intellectual advances underpinned by new data, the journal offers scope for review, hypotheses, critiques and other forms of discussion.
×
引用
GB/T 7714-2015
复制
MLA
复制
APA
复制
导出至
BibTeX EndNote RefMan NoteFirst NoteExpress
×
提示
您的信息不完整,为了账户安全,请先补充。
现在去补充
×
提示
您因"违规操作"
具体请查看互助需知
我知道了
×
提示
确定
请完成安全验证×
copy
已复制链接
快去分享给好友吧!
我知道了
右上角分享
点击右上角分享
0
联系我们:info@booksci.cn Book学术提供免费学术资源搜索服务,方便国内外学者检索中英文文献。致力于提供最便捷和优质的服务体验。 Copyright © 2023 布克学术 All rights reserved.
京ICP备2023020795号-1
ghs 京公网安备 11010802042870号
Book学术文献互助
Book学术文献互助群
群 号:604180095
Book学术官方微信