The effect of regular running on body weight and fat tissue of individuals aged 18 to 65.

IF 2.1 4区 医学 Q1 PHYSIOLOGY
Petr Kutac, Václav Bunc, Marek Buzga, Miroslav Krajcigr, Martin Sigmund
{"title":"The effect of regular running on body weight and fat tissue of individuals aged 18 to 65.","authors":"Petr Kutac, Václav Bunc, Marek Buzga, Miroslav Krajcigr, Martin Sigmund","doi":"10.1186/s40101-023-00348-x","DOIUrl":null,"url":null,"abstract":"<p><strong>Background: </strong>Age and reduction in performed physical activity cause physiological changes that include an increase in body fat (BF) and visceral fat (VF) during aging. These parameters, together with increased body mass (BM), are some of the risk factors of several noninfectious diseases. However, changes in body composition can be influenced by regular physical activity. Running is a suitable, accessible, and the most effective physical activity cultivating people. The objective of this study is to investigate the effects of long-term, regular PA, specifically recreational running, on changes in body composition among recreational adult runners covering a weekly distance of at least 10 km, compared with inactive adult individuals within the same age bracket.</p><p><strong>Methods: </strong>The study included 1296 runners and inactive individuals (691 male and 605 female), divided into 5 age groups: 18-25, 26-35, 36-45, 46-55, and 56-65 years. Runners are as follows: ran ≥ 10 km/week, and inactive is as follows: did not follow the WHO 2020 physical activity recommendations. The measured parameters included BM, BF, and VF. To check statistical significance, the Mann-Whitney U-test was used. Practical significance was assessed using the effect of size.</p><p><strong>Results: </strong>All age groups of runners were selected to include individuals who run at least 10 km per week. In fact, they ran, on average, from 21.6 to 31.4 km per week in relation to age and showed significantly lower values of BM, BMI, BF, and VF (p < 0.05) than inactive individuals. Exceptions included insignificant differences (p > 0.05) in BM and BMI in males in the age category of 18-25 and in females in the age category of 18-25 and 26-35.</p><p><strong>Conclusion: </strong>The selected runners had to run at least 10 km per week. Their actual average volume was significantly higher (from 21.6 to 31.4 km/week), and the results showed that it could lead to significantly better body composition values. It may lead to significant changes in body mass, body fat, and visceral fat. It may meet the contemporary societal expectations for physical activities that are both achievable and effective at the lowest possible volume.</p>","PeriodicalId":48730,"journal":{"name":"Journal of Physiological Anthropology","volume":"42 1","pages":"28"},"PeriodicalIF":2.1000,"publicationDate":"2023-11-30","publicationTypes":"Journal Article","fieldsOfStudy":null,"isOpenAccess":false,"openAccessPdf":"https://www.ncbi.nlm.nih.gov/pmc/articles/PMC10690982/pdf/","citationCount":"0","resultStr":null,"platform":"Semanticscholar","paperid":null,"PeriodicalName":"Journal of Physiological Anthropology","FirstCategoryId":"3","ListUrlMain":"https://doi.org/10.1186/s40101-023-00348-x","RegionNum":4,"RegionCategory":"医学","ArticlePicture":[],"TitleCN":null,"AbstractTextCN":null,"PMCID":null,"EPubDate":"","PubModel":"","JCR":"Q1","JCRName":"PHYSIOLOGY","Score":null,"Total":0}
引用次数: 0

Abstract

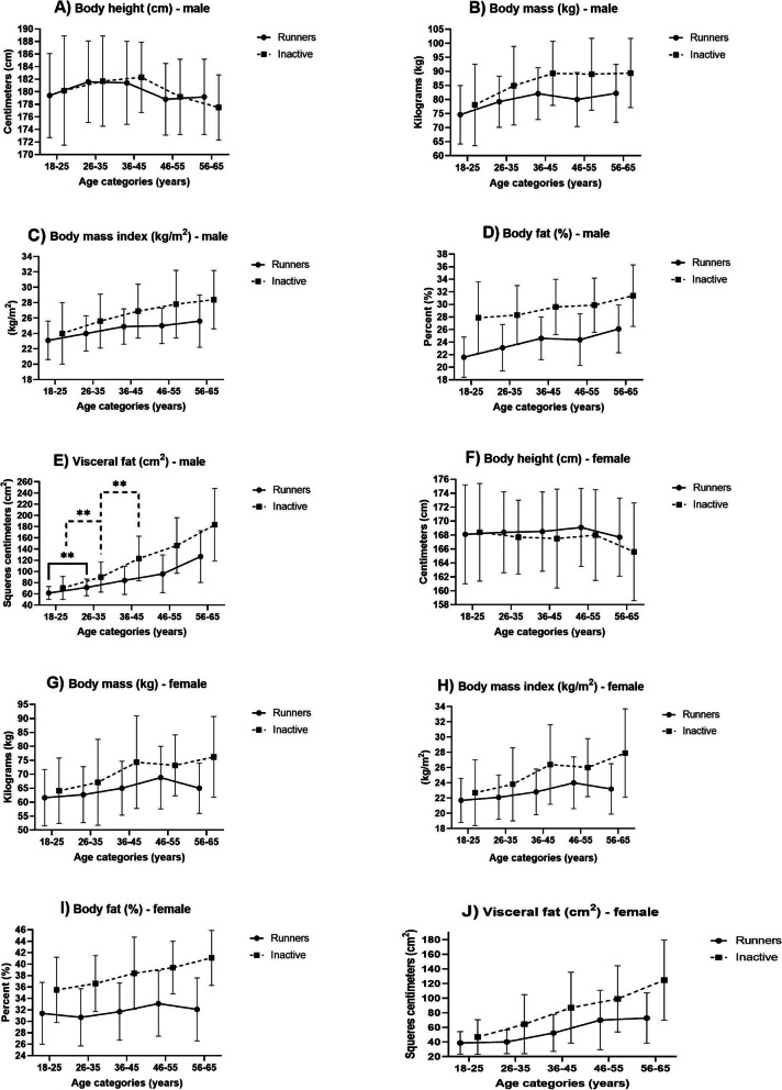
Background: Age and reduction in performed physical activity cause physiological changes that include an increase in body fat (BF) and visceral fat (VF) during aging. These parameters, together with increased body mass (BM), are some of the risk factors of several noninfectious diseases. However, changes in body composition can be influenced by regular physical activity. Running is a suitable, accessible, and the most effective physical activity cultivating people. The objective of this study is to investigate the effects of long-term, regular PA, specifically recreational running, on changes in body composition among recreational adult runners covering a weekly distance of at least 10 km, compared with inactive adult individuals within the same age bracket.

Methods: The study included 1296 runners and inactive individuals (691 male and 605 female), divided into 5 age groups: 18-25, 26-35, 36-45, 46-55, and 56-65 years. Runners are as follows: ran ≥ 10 km/week, and inactive is as follows: did not follow the WHO 2020 physical activity recommendations. The measured parameters included BM, BF, and VF. To check statistical significance, the Mann-Whitney U-test was used. Practical significance was assessed using the effect of size.

Results: All age groups of runners were selected to include individuals who run at least 10 km per week. In fact, they ran, on average, from 21.6 to 31.4 km per week in relation to age and showed significantly lower values of BM, BMI, BF, and VF (p < 0.05) than inactive individuals. Exceptions included insignificant differences (p > 0.05) in BM and BMI in males in the age category of 18-25 and in females in the age category of 18-25 and 26-35.

Conclusion: The selected runners had to run at least 10 km per week. Their actual average volume was significantly higher (from 21.6 to 31.4 km/week), and the results showed that it could lead to significantly better body composition values. It may lead to significant changes in body mass, body fat, and visceral fat. It may meet the contemporary societal expectations for physical activities that are both achievable and effective at the lowest possible volume.

Abstract Image

Abstract Image

Abstract Image

定期跑步对18至65岁人群体重和脂肪组织的影响。
背景:年龄和体力活动的减少会引起生理变化,包括衰老过程中体脂(BF)和内脏脂肪(VF)的增加。这些参数与体重增加(BM)一起是几种非传染性疾病的一些危险因素。然而,身体成分的变化会受到定期体育活动的影响。跑步是一种适合的、容易接近的、最有效的养人的体育活动。本研究的目的是调查长期、有规律的PA,特别是休闲跑步,对每周至少跑10公里的休闲成年跑步者身体成分变化的影响,与同一年龄段不运动的成年人相比。方法:研究纳入1296名跑步者和不运动者(男性691人,女性605人),分为18-25岁、26-35岁、36-45岁、46-55岁和56-65岁5个年龄组。跑步者:每周跑步≥10公里,不运动者:未遵循世卫组织2020年身体活动建议。测量参数包括BM、BF和VF。为检验统计学显著性,采用Mann-Whitney u检验。采用大小效应评价实际意义。结果:所有年龄组的跑步者都被选中,包括每周至少跑10公里的人。事实上,他们每周平均跑21.6到31.4公里(与年龄相关),在18-25岁年龄段的男性和18-25岁和26-35岁年龄段的女性中,BM、BMI、BF和VF的值显著降低(p 0.05)。结论:被选中的跑步者每周至少要跑10公里。它们的实际平均体积显著增加(从21.6 km/week增加到31.4 km/week),结果表明它可以显著提高体组成值。它可能导致体重、体脂和内脏脂肪的显著变化。它可以满足当代社会对体育活动的期望,即在尽可能低的量下既可以实现又有效。
本文章由计算机程序翻译,如有差异,请以英文原文为准。
求助全文
约1分钟内获得全文 求助全文
来源期刊
自引率
6.50%
发文量
39
期刊介绍: Journal of Physiological Anthropology (JPA) is an open access, peer-reviewed journal that publishes research on the physiological functions of modern mankind, with an emphasis on the physical and bio-cultural effects on human adaptability to the current environment. The objective of JPA is to evaluate physiological adaptations to modern living environments, and to publish research from different scientific fields concerned with environmental impact on human life. Topic areas include, but are not limited to: environmental physiology bio-cultural environment living environment epigenetic adaptation development and growth age and sex differences nutrition and morphology physical fitness and health Journal of Physiological Anthropology is the official journal of the Japan Society of Physiological Anthropology.
×
引用
GB/T 7714-2015
复制
MLA
复制
APA
复制
导出至
BibTeX EndNote RefMan NoteFirst NoteExpress
×
提示
您的信息不完整,为了账户安全,请先补充。
现在去补充
×
提示
您因"违规操作"
具体请查看互助需知
我知道了
×
提示
确定
请完成安全验证×
copy
已复制链接
快去分享给好友吧!
我知道了
右上角分享
点击右上角分享
0
联系我们:info@booksci.cn Book学术提供免费学术资源搜索服务,方便国内外学者检索中英文文献。致力于提供最便捷和优质的服务体验。 Copyright © 2023 布克学术 All rights reserved.
京ICP备2023020795号-1
ghs 京公网安备 11010802042870号
Book学术文献互助
Book学术文献互助群
群 号:604180095
Book学术官方微信