Changes in Lower Extremity Muscle Quantity and Quality in Patients with Subacute Stroke.

IF 2.9 Q1 REHABILITATION
Da Hye Kim, Eun Sol Cho, Young Sook Park, Hyun Jung Chang, Jin Gee Park, Jae Yeon Kim, Jeong Hwan Lee
{"title":"Changes in Lower Extremity Muscle Quantity and Quality in Patients with Subacute Stroke.","authors":"Da Hye Kim, Eun Sol Cho, Young Sook Park, Hyun Jung Chang, Jin Gee Park, Jae Yeon Kim, Jeong Hwan Lee","doi":"10.5535/arm.23091","DOIUrl":null,"url":null,"abstract":"<p><strong>Objective: </strong>To analyze the changes in muscle mass and quality with time on the paretic and non-paretic sides in subacute stroke patients and identify correlations between the variation of muscle mass and quality and lower limb functions.</p><p><strong>Methods: </strong>Thirty hemiplegia patients diagnosed with stroke participated in this study. To evaluate poststroke muscle changes, longitudinal measurement of muscle mass and quality was conducted with bilateral lower limbs. The elastic shear modulus was measured using shear wave elastography and muscle thickness (MT) of rectus femoris, vastus intermedius, vastus lateralis (VL), vastus medialis, tibialis anterior, and gastrocnemius (GCM) muscles. Functional evaluation was performed using Berg Balance Scale (BBS), Five Times Sit to Stand Test (FTSST). Follow-up was performed at discharge. The muscle mass and quality were compared according to time. We analyzed whether muscle quantity and quality were related to function.</p><p><strong>Results: </strong>MT demonstrated no significant change with time. The elastic shear modulus increased significantly in the paretic VL and GCM muscles and did not change significantly in the muscles on the non-paretic side. Correlation analysis detected that elastic shear modulus in the VL has a cross-sectional negative relationship between BBS and positive relationship between FTSST. There were significant correlation between variation of FTSST and the variation of the elastic shear modulus in VL.</p><p><strong>Conclusion: </strong>Only paretic VL and GCM muscle quality changed in subacute stroke patients and muscle's property related to lower limb functions. Therefore, the lower extremity requires an approach to muscle quality rather than quantity for subacute stroke patients.</p>","PeriodicalId":47738,"journal":{"name":"Annals of Rehabilitation Medicine-ARM","volume":" ","pages":"493-501"},"PeriodicalIF":2.9000,"publicationDate":"2023-12-01","publicationTypes":"Journal Article","fieldsOfStudy":null,"isOpenAccess":false,"openAccessPdf":"https://www.ncbi.nlm.nih.gov/pmc/articles/PMC10767215/pdf/","citationCount":"0","resultStr":null,"platform":"Semanticscholar","paperid":null,"PeriodicalName":"Annals of Rehabilitation Medicine-ARM","FirstCategoryId":"1085","ListUrlMain":"https://doi.org/10.5535/arm.23091","RegionNum":0,"RegionCategory":null,"ArticlePicture":[],"TitleCN":null,"AbstractTextCN":null,"PMCID":null,"EPubDate":"","PubModel":"","JCR":"Q1","JCRName":"REHABILITATION","Score":null,"Total":0}
引用次数: 0

Abstract

Objective: To analyze the changes in muscle mass and quality with time on the paretic and non-paretic sides in subacute stroke patients and identify correlations between the variation of muscle mass and quality and lower limb functions.

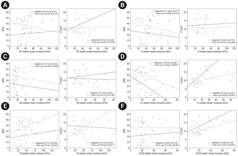
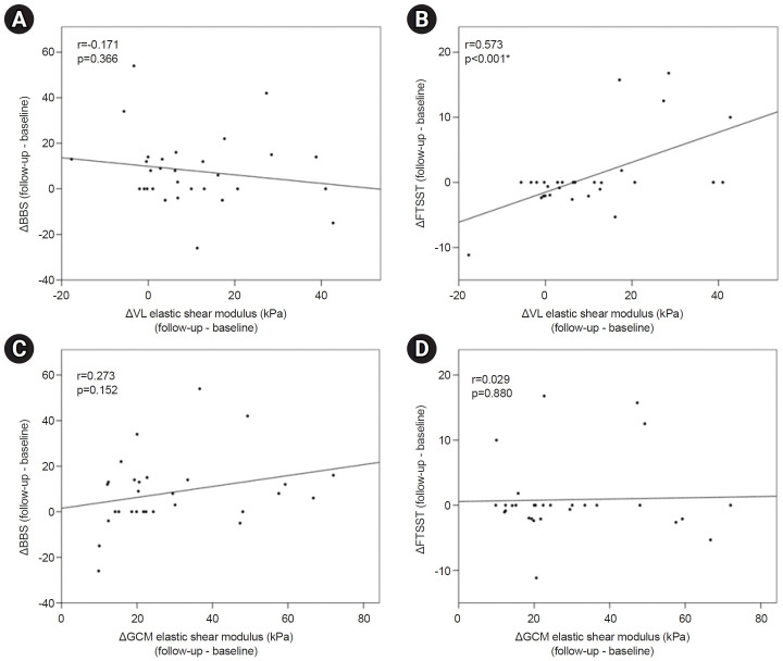
Methods: Thirty hemiplegia patients diagnosed with stroke participated in this study. To evaluate poststroke muscle changes, longitudinal measurement of muscle mass and quality was conducted with bilateral lower limbs. The elastic shear modulus was measured using shear wave elastography and muscle thickness (MT) of rectus femoris, vastus intermedius, vastus lateralis (VL), vastus medialis, tibialis anterior, and gastrocnemius (GCM) muscles. Functional evaluation was performed using Berg Balance Scale (BBS), Five Times Sit to Stand Test (FTSST). Follow-up was performed at discharge. The muscle mass and quality were compared according to time. We analyzed whether muscle quantity and quality were related to function.

Results: MT demonstrated no significant change with time. The elastic shear modulus increased significantly in the paretic VL and GCM muscles and did not change significantly in the muscles on the non-paretic side. Correlation analysis detected that elastic shear modulus in the VL has a cross-sectional negative relationship between BBS and positive relationship between FTSST. There were significant correlation between variation of FTSST and the variation of the elastic shear modulus in VL.

Conclusion: Only paretic VL and GCM muscle quality changed in subacute stroke patients and muscle's property related to lower limb functions. Therefore, the lower extremity requires an approach to muscle quality rather than quantity for subacute stroke patients.

Abstract Image

Abstract Image

Abstract Image

亚急性脑卒中患者下肢肌肉数量和质量的变化。
目的:分析亚急性脑卒中患者轻瘫侧和非轻瘫侧肌肉质量随时间的变化,探讨肌肉质量变化与下肢功能的相关性。方法:对30例脑卒中偏瘫患者进行研究。为了评估中风后的肌肉变化,对双侧下肢进行了肌肉质量和质量的纵向测量。采用横波弹性成像技术测量股直肌、股中间肌、股外侧肌、股内侧肌、胫前肌和腓肠肌的弹性剪切模量和肌肉厚度(MT)。功能评估采用Berg平衡量表(BBS)、五次坐立测试(FTSST)。出院时随访。按时间比较肌肉量和质量。我们分析了肌肉的数量和质量是否与功能有关。结果:MT随时间无明显变化。轻瘫侧VL肌和GCM肌的弹性剪切模量明显增加,而非轻瘫侧肌肉的弹性剪切模量变化不明显。相关分析发现,横截面上VL弹性剪切模量与BBS呈负相关,与FTSST呈正相关。FTSST的变化与VL弹性剪切模量的变化有显著的相关性。结论:亚急性脑卒中患者仅发生轻瘫VL和GCM肌肉质量的改变,肌肉性质与下肢功能相关。因此,对于亚急性脑卒中患者,下肢需要关注肌肉质量而不是数量。
本文章由计算机程序翻译,如有差异,请以英文原文为准。
求助全文
约1分钟内获得全文 求助全文
来源期刊
CiteScore
2.50
自引率
7.70%
发文量
32
审稿时长
30 weeks
×
引用
GB/T 7714-2015
复制
MLA
复制
APA
复制
导出至
BibTeX EndNote RefMan NoteFirst NoteExpress
×
提示
您的信息不完整,为了账户安全,请先补充。
现在去补充
×
提示
您因"违规操作"
具体请查看互助需知
我知道了
×
提示
确定
请完成安全验证×
copy
已复制链接
快去分享给好友吧!
我知道了
右上角分享
点击右上角分享
0
联系我们:info@booksci.cn Book学术提供免费学术资源搜索服务,方便国内外学者检索中英文文献。致力于提供最便捷和优质的服务体验。 Copyright © 2023 布克学术 All rights reserved.
京ICP备2023020795号-1
ghs 京公网安备 11010802042870号
Book学术文献互助
Book学术文献互助群
群 号:604180095
Book学术官方微信