Predicting functional outcome in acute ischemic stroke patients after endovascular treatment by machine learning.

IF 2.2 4区 医学 Q4 NEUROSCIENCES
Translational Neuroscience Pub Date : 2023-11-27 eCollection Date: 2023-01-01 DOI:10.1515/tnsci-2022-0324
Zhenxing Liu, Renwei Zhang, Keni Ouyang, Botong Hou, Qi Cai, Yu Xie, Yumin Liu
{"title":"Predicting functional outcome in acute ischemic stroke patients after endovascular treatment by machine learning.","authors":"Zhenxing Liu, Renwei Zhang, Keni Ouyang, Botong Hou, Qi Cai, Yu Xie, Yumin Liu","doi":"10.1515/tnsci-2022-0324","DOIUrl":null,"url":null,"abstract":"<p><strong>Background: </strong>Endovascular therapy (EVT) was the standard treatment for acute ischemic stroke with large vessel occlusion. Prognosis after EVT is always a major concern. Here, we aimed to explore a predictive model for patients after EVT.</p><p><strong>Method: </strong>A total of 156 patients were retrospectively enrolled. The primary outcome was functional dependence (defined as a 90-day modified Rankin Scale score ≤ 2). Least absolute shrinkage and selection operator and univariate logistic regression were used to select predictive factors. Various machine learning algorithms, including multivariate logistic regression, linear discriminant analysis, support vector machine, <i>k</i>-nearest neighbors, and decision tree algorithms, were applied to construct prognostic models.</p><p><strong>Result: </strong>Six predictive factors were selected, namely, age, baseline National Institute of Health Stroke Scale (NIHSS) score, Alberta Stroke Program Early CT (ASPECT) score, modified thrombolysis in cerebral infarction score, symptomatic intracerebral hemorrhage (sICH), and complications (pulmonary infection, gastrointestinal bleeding, and cardiovascular events). Based on these variables, various models were constructed and showed good discrimination. Finally, a nomogram was constructed by multivariate logistic regression and showed a good performance.</p><p><strong>Conclusion: </strong>Our nomogram, which was composed of age, baseline NIHSS score, ASPECT score, recanalization status, sICH, and complications, showed a very good performance in predicting outcome after EVT.</p>","PeriodicalId":23227,"journal":{"name":"Translational Neuroscience","volume":"14 1","pages":"20220324"},"PeriodicalIF":2.2000,"publicationDate":"2023-11-27","publicationTypes":"Journal Article","fieldsOfStudy":null,"isOpenAccess":false,"openAccessPdf":"https://www.ncbi.nlm.nih.gov/pmc/articles/PMC10685342/pdf/","citationCount":"0","resultStr":null,"platform":"Semanticscholar","paperid":null,"PeriodicalName":"Translational Neuroscience","FirstCategoryId":"3","ListUrlMain":"https://doi.org/10.1515/tnsci-2022-0324","RegionNum":4,"RegionCategory":"医学","ArticlePicture":[],"TitleCN":null,"AbstractTextCN":null,"PMCID":null,"EPubDate":"2023/1/1 0:00:00","PubModel":"eCollection","JCR":"Q4","JCRName":"NEUROSCIENCES","Score":null,"Total":0}
引用次数: 0

Abstract

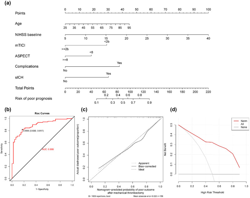
Background: Endovascular therapy (EVT) was the standard treatment for acute ischemic stroke with large vessel occlusion. Prognosis after EVT is always a major concern. Here, we aimed to explore a predictive model for patients after EVT.

Method: A total of 156 patients were retrospectively enrolled. The primary outcome was functional dependence (defined as a 90-day modified Rankin Scale score ≤ 2). Least absolute shrinkage and selection operator and univariate logistic regression were used to select predictive factors. Various machine learning algorithms, including multivariate logistic regression, linear discriminant analysis, support vector machine, k-nearest neighbors, and decision tree algorithms, were applied to construct prognostic models.

Result: Six predictive factors were selected, namely, age, baseline National Institute of Health Stroke Scale (NIHSS) score, Alberta Stroke Program Early CT (ASPECT) score, modified thrombolysis in cerebral infarction score, symptomatic intracerebral hemorrhage (sICH), and complications (pulmonary infection, gastrointestinal bleeding, and cardiovascular events). Based on these variables, various models were constructed and showed good discrimination. Finally, a nomogram was constructed by multivariate logistic regression and showed a good performance.

Conclusion: Our nomogram, which was composed of age, baseline NIHSS score, ASPECT score, recanalization status, sICH, and complications, showed a very good performance in predicting outcome after EVT.

Abstract Image

Abstract Image

Abstract Image

用机器学习预测急性缺血性脑卒中患者血管内治疗后的功能结局。
背景:血管内治疗(EVT)是急性缺血性脑卒中合并大血管闭塞的标准治疗方法。EVT后的预后一直是主要关注的问题。在这里,我们旨在探索EVT患者的预测模型。方法:回顾性纳入156例患者。主要结局为功能依赖(定义为90天修正Rankin量表评分≤2)。最小绝对收缩、选择算子和单变量逻辑回归用于选择预测因素。各种机器学习算法,包括多元逻辑回归、线性判别分析、支持向量机、k近邻和决策树算法,被用于构建预测模型。结果:选取6个预测因素,分别为年龄、美国国立卫生研究院卒中量表(NIHSS)基线评分、阿尔伯塔卒中计划早期CT (ASPECT)评分、脑梗死改良溶栓评分、症状性脑出血(siich)、并发症(肺部感染、胃肠道出血、心血管事件)。基于这些变量,构建了各种模型,并表现出良好的判别性。最后,通过多元逻辑回归构造了一个nomogram,并取得了良好的效果。结论:我们的nomogram由年龄、基线NIHSS评分、ASPECT评分、再通状态、siich和并发症组成,对EVT的预后有很好的预测作用。
本文章由计算机程序翻译,如有差异,请以英文原文为准。
求助全文
约1分钟内获得全文 求助全文
来源期刊
CiteScore
3.00
自引率
4.80%
发文量
45
审稿时长
>12 weeks
期刊介绍: Translational Neuroscience provides a closer interaction between basic and clinical neuroscientists to expand understanding of brain structure, function and disease, and translate this knowledge into clinical applications and novel therapies of nervous system disorders.
×
引用
GB/T 7714-2015
复制
MLA
复制
APA
复制
导出至
BibTeX EndNote RefMan NoteFirst NoteExpress
×
提示
您的信息不完整,为了账户安全,请先补充。
现在去补充
×
提示
您因"违规操作"
具体请查看互助需知
我知道了
×
提示
确定
请完成安全验证×
copy
已复制链接
快去分享给好友吧!
我知道了
右上角分享
点击右上角分享
0
联系我们:info@booksci.cn Book学术提供免费学术资源搜索服务,方便国内外学者检索中英文文献。致力于提供最便捷和优质的服务体验。 Copyright © 2023 布克学术 All rights reserved.
京ICP备2023020795号-1
ghs 京公网安备 11010802042870号
Book学术文献互助
Book学术文献互助群
群 号:604180095
Book学术官方微信