Zoledronic acid sequential to teriparatide may promote greater inhibition of bone resorption than zoledronic acid alone.

IF 4.6 3区 医学 Q2 ENDOCRINOLOGY & METABOLISM
Therapeutic Advances in Endocrinology and Metabolism Pub Date : 2023-11-22 eCollection Date: 2023-01-01 DOI:10.1177/20420188231213639
Sharon Giveon, Galia Zacay, Iris Vered, A Joseph Foldes, Liana Tripto-Shkolnik
{"title":"Zoledronic acid sequential to teriparatide may promote greater inhibition of bone resorption than zoledronic acid alone.","authors":"Sharon Giveon, Galia Zacay, Iris Vered, A Joseph Foldes, Liana Tripto-Shkolnik","doi":"10.1177/20420188231213639","DOIUrl":null,"url":null,"abstract":"<p><strong>Background: </strong>Teriparatide (TPTD) should be followed by an antiresorptive to maximize bone mineral density gain and anti-fracture protection. Infrequent zoledronic acid (ZOL) administration has demonstrated effectiveness. The duration of ZOL effect following TPTD is unknown.</p><p><strong>Objective: </strong>To evaluate the effect of ZOL on bone resorption marker in a post-TPTD <i>versus</i> ZOL-alone scenario in osteoporotic patients.</p><p><strong>Design: </strong>Retrospective cohort study.</p><p><strong>Methods: </strong>Patients treated with TPTD followed by ZOL (TPTD-ZOL) or with a single ZOL infusion were identified in the database of a tertiary referral center. Clinical and laboratory data, including C-terminal telopeptide of type I collagen (CTX) following ZOL treatment, were compared.</p><p><strong>Results: </strong>Twenty-six patients (93% women) treated with TPTD-ZOL and 41 with ZOL were comparable in age (median 70.1 <i>versus</i> 69.6 years, <i>p</i> = 0.6) and sex. Timing of CTX measurement post-ZOL was the same, median 1.0 year. CTX was lower following TPTD-ZOL (median 142.1 <i>versus</i> 184.2 pg/mL, <i>p</i> = 0.005). In a multivariable regression model (controlled for baseline characteristics), pretreatment with TPTD strongly predicted CTX <150 pg/mL, 1 year following ZOL (odds ratio = 7.5, 95% CI 1.3-58.1, <i>p</i> = 0.03). In a subgroup with sequential CTX measurements following one ZOL, significantly lower levels persisted in the TPTD-ZOL group for a median of 4.4 years follow-up.</p><p><strong>Conclusion: </strong>ZOL-administered sequential to TPTD yielded deeper and more prolonged bone resorption suppression than ZOL alone. Prospective data are needed to confirm whether in a sequential treatment scenario, subsequent ZOL dosing interval should be less frequent.</p>","PeriodicalId":22998,"journal":{"name":"Therapeutic Advances in Endocrinology and Metabolism","volume":"14 ","pages":"20420188231213639"},"PeriodicalIF":4.6000,"publicationDate":"2023-11-22","publicationTypes":"Journal Article","fieldsOfStudy":null,"isOpenAccess":false,"openAccessPdf":"https://www.ncbi.nlm.nih.gov/pmc/articles/PMC10666713/pdf/","citationCount":"0","resultStr":null,"platform":"Semanticscholar","paperid":null,"PeriodicalName":"Therapeutic Advances in Endocrinology and Metabolism","FirstCategoryId":"3","ListUrlMain":"https://doi.org/10.1177/20420188231213639","RegionNum":3,"RegionCategory":"医学","ArticlePicture":[],"TitleCN":null,"AbstractTextCN":null,"PMCID":null,"EPubDate":"2023/1/1 0:00:00","PubModel":"eCollection","JCR":"Q2","JCRName":"ENDOCRINOLOGY & METABOLISM","Score":null,"Total":0}
引用次数: 0

Abstract

Background: Teriparatide (TPTD) should be followed by an antiresorptive to maximize bone mineral density gain and anti-fracture protection. Infrequent zoledronic acid (ZOL) administration has demonstrated effectiveness. The duration of ZOL effect following TPTD is unknown.

Objective: To evaluate the effect of ZOL on bone resorption marker in a post-TPTD versus ZOL-alone scenario in osteoporotic patients.

Design: Retrospective cohort study.

Methods: Patients treated with TPTD followed by ZOL (TPTD-ZOL) or with a single ZOL infusion were identified in the database of a tertiary referral center. Clinical and laboratory data, including C-terminal telopeptide of type I collagen (CTX) following ZOL treatment, were compared.

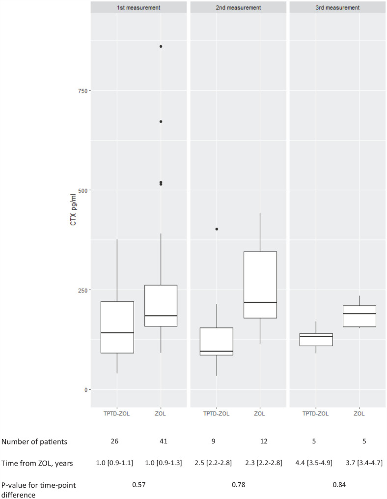
Results: Twenty-six patients (93% women) treated with TPTD-ZOL and 41 with ZOL were comparable in age (median 70.1 versus 69.6 years, p = 0.6) and sex. Timing of CTX measurement post-ZOL was the same, median 1.0 year. CTX was lower following TPTD-ZOL (median 142.1 versus 184.2 pg/mL, p = 0.005). In a multivariable regression model (controlled for baseline characteristics), pretreatment with TPTD strongly predicted CTX <150 pg/mL, 1 year following ZOL (odds ratio = 7.5, 95% CI 1.3-58.1, p = 0.03). In a subgroup with sequential CTX measurements following one ZOL, significantly lower levels persisted in the TPTD-ZOL group for a median of 4.4 years follow-up.

Conclusion: ZOL-administered sequential to TPTD yielded deeper and more prolonged bone resorption suppression than ZOL alone. Prospective data are needed to confirm whether in a sequential treatment scenario, subsequent ZOL dosing interval should be less frequent.

Abstract Image

Abstract Image

Abstract Image

唑来膦酸序贯特立帕肽可能比单独使用唑来膦酸更能抑制骨吸收。
背景:特立帕肽(TPTD)应用后应加抗骨吸收剂,以最大限度地增加骨密度和抗骨折保护。不经常使用唑来膦酸(ZOL)已证明有效。TPTD后ZOL效应持续时间尚不清楚。目的:评价ZOL对骨质疏松症患者tptd后骨吸收标志物的影响。设计:回顾性队列研究。方法:在三级转诊中心的数据库中确定TPTD后ZOL (TPTD-ZOL)或单次ZOL输注的患者。比较ZOL治疗后I型胶原c端末端肽(CTX)的临床和实验室数据。结果:26例TPTD-ZOL患者(93%为女性)和41例ZOL患者在年龄(中位70.1岁对69.6岁,p = 0.6)和性别方面具有可比性。zol后CTX测量时间相同,中位数为1.0年。ptpd - zol后CTX较低(中位数为142.1 vs 184.2 pg/mL, p = 0.005)。在多变量回归模型(控制基线特征)中,TPTD预处理强烈预测CTX p = 0.03)。在一个ZOL后进行连续CTX测量的亚组中,TPTD-ZOL组的CTX水平显著降低,随访时间中位数为4.4年。结论:与单用ZOL相比,连续使用ZOL对TPTD的骨吸收抑制作用更深、更持久。需要前瞻性数据来确认在顺序治疗方案中,后续ZOL给药间隔是否应该更少。
本文章由计算机程序翻译,如有差异,请以英文原文为准。
求助全文
约1分钟内获得全文 求助全文
来源期刊
Therapeutic Advances in Endocrinology and Metabolism
Therapeutic Advances in Endocrinology and Metabolism Medicine-Endocrinology, Diabetes and Metabolism
CiteScore
7.70
自引率
2.60%
发文量
42
审稿时长
8 weeks
期刊介绍: Therapeutic Advances in Endocrinology and Metabolism delivers the highest quality peer-reviewed articles, reviews, and scholarly comment on pioneering efforts and innovative studies across all areas of endocrinology and metabolism.
×
引用
GB/T 7714-2015
复制
MLA
复制
APA
复制
导出至
BibTeX EndNote RefMan NoteFirst NoteExpress
×
提示
您的信息不完整,为了账户安全,请先补充。
现在去补充
×
提示
您因"违规操作"
具体请查看互助需知
我知道了
×
提示
确定
请完成安全验证×
copy
已复制链接
快去分享给好友吧!
我知道了
右上角分享
点击右上角分享
0
联系我们:info@booksci.cn Book学术提供免费学术资源搜索服务,方便国内外学者检索中英文文献。致力于提供最便捷和优质的服务体验。 Copyright © 2023 布克学术 All rights reserved.
京ICP备2023020795号-1
ghs 京公网安备 11010802042870号
Book学术文献互助
Book学术文献互助群
群 号:604180095
Book学术官方微信