Effect of Slightly Acidic Electrolyzed Water Immersion at Different Frequencies on Quality of Raw Chicken Legs.

IF 1.6 4区 农林科学 Q2 AGRICULTURE, DAIRY & ANIMAL SCIENCE
Journal of Poultry Science Pub Date : 2023-11-23 eCollection Date: 2023-01-01 DOI:10.2141/jpsa.2023027
Muliasari Kartikawati, Yutaka Kitamura, Mito Kokawa, Mareto Hamatani, Takashi Soejima
{"title":"Effect of Slightly Acidic Electrolyzed Water Immersion at Different Frequencies on Quality of Raw Chicken Legs.","authors":"Muliasari Kartikawati, Yutaka Kitamura, Mito Kokawa, Mareto Hamatani, Takashi Soejima","doi":"10.2141/jpsa.2023027","DOIUrl":null,"url":null,"abstract":"<p><p>Slightly acidic electrolyzed water (SAEW) is used as a disinfectant for raw chicken meat. Because its volume for a single immersion exceeds 10 times the weight of meat, a large amount of wastewater is generated. Importantly, a higher frequency of immersion is believed to reduce microbial contamination. The objective of this study was to investigate the effect of SAEW immersion at different frequencies on the disinfection and quality of raw chicken legs, thereby possibly limiting the usage of SAEW. Immersion for 1, 3, and 5 times, with a 7:1 SAEW:meat ratio, and duration of 15 min was tested. Meat quality was evaluated based on total aerobic bacteria, <i>Enterobactericeae</i>, total volatile basic nitrogen, thiobarbituric acid reactive substances, and color. A higher immersion frequency lowered the numbers of total aerobic bacteria and Enterobacteriaceae. Moreover, two immersions with a SAEW:meat ratio of 4:1 and a total immersion time of 6 min reduced the bacterial load as effectively as a single 15-min immersion with a SAEW:meat ratio of 7:1. Higher frequencies of SAEW immersion also resulted in lower total volatile basic nitrogen and lipid oxidation after 0 or 3 days of storage. They did, however, magnify the change in color, resulting in brighter meat. Overall, SAEW treatments with two to five immersions can improve the quality of raw chicken legs and reduce wastewater generation.</p>","PeriodicalId":16883,"journal":{"name":"Journal of Poultry Science","volume":"60 ","pages":"2023027"},"PeriodicalIF":1.6000,"publicationDate":"2023-11-23","publicationTypes":"Journal Article","fieldsOfStudy":null,"isOpenAccess":false,"openAccessPdf":"https://www.ncbi.nlm.nih.gov/pmc/articles/PMC10662383/pdf/","citationCount":"0","resultStr":null,"platform":"Semanticscholar","paperid":null,"PeriodicalName":"Journal of Poultry Science","FirstCategoryId":"97","ListUrlMain":"https://doi.org/10.2141/jpsa.2023027","RegionNum":4,"RegionCategory":"农林科学","ArticlePicture":[],"TitleCN":null,"AbstractTextCN":null,"PMCID":null,"EPubDate":"2023/1/1 0:00:00","PubModel":"eCollection","JCR":"Q2","JCRName":"AGRICULTURE, DAIRY & ANIMAL SCIENCE","Score":null,"Total":0}
引用次数: 0

Abstract

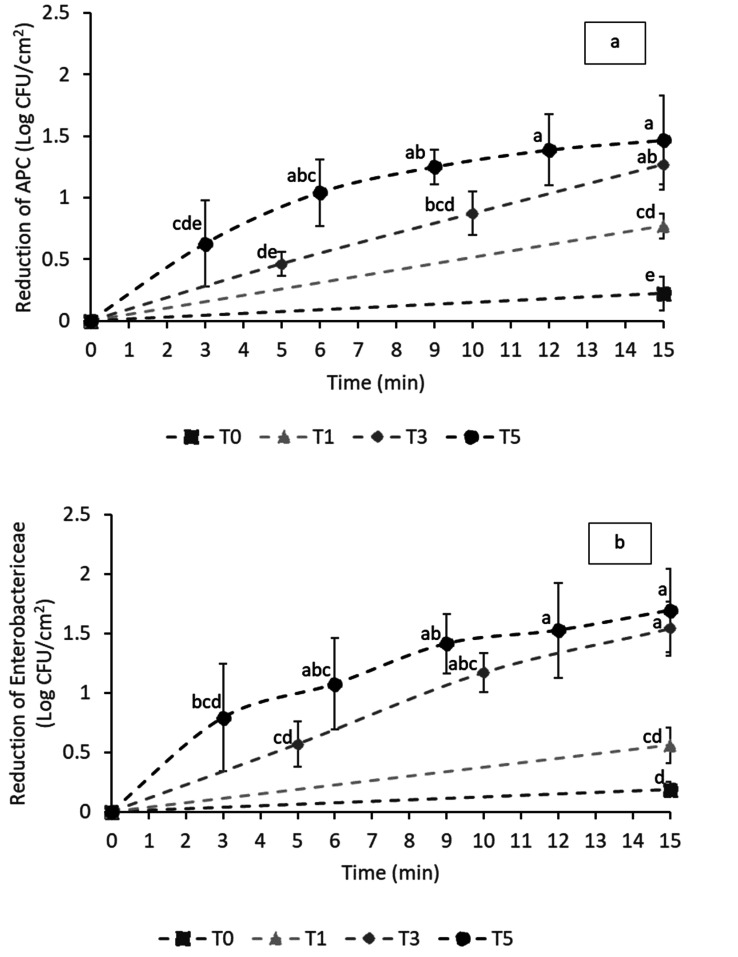
Slightly acidic electrolyzed water (SAEW) is used as a disinfectant for raw chicken meat. Because its volume for a single immersion exceeds 10 times the weight of meat, a large amount of wastewater is generated. Importantly, a higher frequency of immersion is believed to reduce microbial contamination. The objective of this study was to investigate the effect of SAEW immersion at different frequencies on the disinfection and quality of raw chicken legs, thereby possibly limiting the usage of SAEW. Immersion for 1, 3, and 5 times, with a 7:1 SAEW:meat ratio, and duration of 15 min was tested. Meat quality was evaluated based on total aerobic bacteria, Enterobactericeae, total volatile basic nitrogen, thiobarbituric acid reactive substances, and color. A higher immersion frequency lowered the numbers of total aerobic bacteria and Enterobacteriaceae. Moreover, two immersions with a SAEW:meat ratio of 4:1 and a total immersion time of 6 min reduced the bacterial load as effectively as a single 15-min immersion with a SAEW:meat ratio of 7:1. Higher frequencies of SAEW immersion also resulted in lower total volatile basic nitrogen and lipid oxidation after 0 or 3 days of storage. They did, however, magnify the change in color, resulting in brighter meat. Overall, SAEW treatments with two to five immersions can improve the quality of raw chicken legs and reduce wastewater generation.

Abstract Image

Abstract Image

Abstract Image

不同频率微酸电解水浸泡对生鸡腿品质的影响。
微酸性电解水(SAEW)被用作生鸡肉的消毒剂。由于其单次浸泡的体积超过肉类重量的10倍,因此会产生大量废水。重要的是,更高的浸泡频率被认为可以减少微生物污染。本研究的目的是探讨不同频率的SAEW浸泡对生鸡腿消毒和质量的影响,从而可能限制SAEW的使用。浸泡1、3、5次,以7:1的比例浸泡,浸泡时间为15 min。以总需氧细菌、肠杆菌科、总挥发性碱性氮、硫代巴比妥酸活性物质和颜色评价肉质。较高的浸泡频率降低了总需氧细菌和肠杆菌科细菌的数量。此外,在SAEW与肉的比例为4:1、总浸泡时间为6分钟的情况下,两次浸泡与单次浸泡15分钟、SAEW与肉的比例为7:1一样有效地减少了细菌负荷。较高的浸泡频率也导致贮藏0或3天后总挥发性碱性氮和脂质氧化降低。然而,他们确实放大了颜色的变化,导致肉的颜色更亮。总的来说,浸泡两到五次的SAEW处理可以提高生鸡腿的质量,减少废水的产生。
本文章由计算机程序翻译,如有差异,请以英文原文为准。
求助全文
约1分钟内获得全文 求助全文
来源期刊
Journal of Poultry Science
Journal of Poultry Science AGRICULTURE, DAIRY & ANIMAL SCIENCE-
CiteScore
2.80
自引率
13.30%
发文量
26
审稿时长
12 months
期刊介绍: The Journal of Poultry Science will publish original reports and reviews which either make an original contribution to fundamental science or are of obvious application to the industry. Subjects which are covered include: breeding and genetics, nutrition and feeds, physiology, reproduction, immunology, behavior, environmental science, management and housing welfare, processing and products, and health in poultry. Submission of original articles to the Journal is open to all poultry researchers. The review articles are invited papers written by international outstanding researchers. Articles will be published in English, American style.
×
引用
GB/T 7714-2015
复制
MLA
复制
APA
复制
导出至
BibTeX EndNote RefMan NoteFirst NoteExpress
×
提示
您的信息不完整,为了账户安全,请先补充。
现在去补充
×
提示
您因"违规操作"
具体请查看互助需知
我知道了
×
提示
确定
请完成安全验证×
copy
已复制链接
快去分享给好友吧!
我知道了
右上角分享
点击右上角分享
0
联系我们:info@booksci.cn Book学术提供免费学术资源搜索服务,方便国内外学者检索中英文文献。致力于提供最便捷和优质的服务体验。 Copyright © 2023 布克学术 All rights reserved.
京ICP备2023020795号-1
ghs 京公网安备 11010802042870号
Book学术文献互助
Book学术文献互助群
群 号:604180095
Book学术官方微信