The Effect of a Chitosan/TiO2-Nanoparticle/ Rosmarinic Acid-Based Nanocomposite Coating on the Preservation of Refrigerated Rainbow Trout Fillets (Oncorhynchus mykiss).

IF 3.7 3区 农林科学 Q2 FOOD SCIENCE & TECHNOLOGY
Pınar Kizilkaya, Mükerrem Kaya
{"title":"The Effect of a Chitosan/TiO<sub>2</sub>-Nanoparticle/ Rosmarinic Acid-Based Nanocomposite Coating on the Preservation of Refrigerated Rainbow Trout Fillets (<i>Oncorhynchus mykiss</i>).","authors":"Pınar Kizilkaya, Mükerrem Kaya","doi":"10.5851/kosfa.2023.e47","DOIUrl":null,"url":null,"abstract":"<p><p>The aim of this study was to determine the effect of chitosan (CH)-based nanocomposite coating applications [chitosan+TiO<sub>2</sub> (CHT) and chitosan+TiO<sub>2</sub>+rosmarinic acid (CHTRA)] on changes in quality attributes of rainbow trout fillets during cold storage (4°C). Fish fillets were randomly divided into four groups and subjected to treatments (CH, CHT, CHTRA, and control). After treatments, the groups were packaged under a modified atmosphere (40% CO<sub>2</sub>+30% O<sub>2</sub>+30% N<sub>2</sub>) and stored at 4°C for 18 days. During cold storage, the samples were subjected to physico-chemical and microbiological analyses. During storage, CH, CHT, and CHTRA treatments showed lower aerobic mesophilic and psychrotrophic bacteria counts than the control. However, the differences between coating treatments were not significant. The highest mean pH value was determined in the control group. As the storage time increased, the thiobarbituric acid reactive substances value increased. At the end of the storage period, no significant differences were observed between the treatments, including in the control group. The total volatile basic nitrogen (TVB-N) level in the control group was above 25 mg/100 g on day 15 of storage. However, the TVB-N level in the treatment groups was below 20 mg/100 g on day 18. It was also determined that coating application×storage period interaction had a significant effect on all color parameters (p<0.01). At the end of storage, the highest CIE L* was observed in CHTRA treatment. However, the value of this treatment did not differ from that of the CH treatment.</p>","PeriodicalId":12459,"journal":{"name":"Food Science of Animal Resources","volume":"43 6","pages":"1170-1182"},"PeriodicalIF":3.7000,"publicationDate":"2023-11-01","publicationTypes":"Journal Article","fieldsOfStudy":null,"isOpenAccess":false,"openAccessPdf":"https://www.ncbi.nlm.nih.gov/pmc/articles/PMC10636217/pdf/","citationCount":"0","resultStr":null,"platform":"Semanticscholar","paperid":null,"PeriodicalName":"Food Science of Animal Resources","FirstCategoryId":"97","ListUrlMain":"https://doi.org/10.5851/kosfa.2023.e47","RegionNum":3,"RegionCategory":"农林科学","ArticlePicture":[],"TitleCN":null,"AbstractTextCN":null,"PMCID":null,"EPubDate":"","PubModel":"","JCR":"Q2","JCRName":"FOOD SCIENCE & TECHNOLOGY","Score":null,"Total":0}
引用次数: 0

Abstract

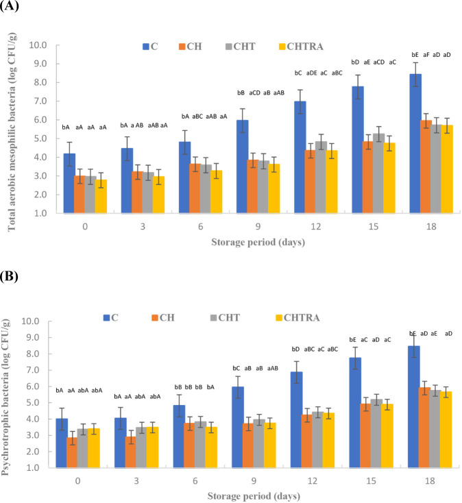
The aim of this study was to determine the effect of chitosan (CH)-based nanocomposite coating applications [chitosan+TiO2 (CHT) and chitosan+TiO2+rosmarinic acid (CHTRA)] on changes in quality attributes of rainbow trout fillets during cold storage (4°C). Fish fillets were randomly divided into four groups and subjected to treatments (CH, CHT, CHTRA, and control). After treatments, the groups were packaged under a modified atmosphere (40% CO2+30% O2+30% N2) and stored at 4°C for 18 days. During cold storage, the samples were subjected to physico-chemical and microbiological analyses. During storage, CH, CHT, and CHTRA treatments showed lower aerobic mesophilic and psychrotrophic bacteria counts than the control. However, the differences between coating treatments were not significant. The highest mean pH value was determined in the control group. As the storage time increased, the thiobarbituric acid reactive substances value increased. At the end of the storage period, no significant differences were observed between the treatments, including in the control group. The total volatile basic nitrogen (TVB-N) level in the control group was above 25 mg/100 g on day 15 of storage. However, the TVB-N level in the treatment groups was below 20 mg/100 g on day 18. It was also determined that coating application×storage period interaction had a significant effect on all color parameters (p<0.01). At the end of storage, the highest CIE L* was observed in CHTRA treatment. However, the value of this treatment did not differ from that of the CH treatment.

Abstract Image

Abstract Image

Abstract Image

壳聚糖/二氧化钛纳米颗粒/迷迭香酸纳米复合涂层对虹鳟鱼鱼片保鲜的影响
本研究的目的是确定壳聚糖(CH)纳米复合涂层[壳聚糖+TiO2 (CHT)和壳聚糖+TiO2+迷迭香酸(CHTRA)]对虹鳟鱼鱼片冷藏(4°C)期间品质属性变化的影响。将鱼片随机分为4组,分别进行CH、CHT、CHTRA和对照处理。处理后,各组在改良气氛(40% CO2+30% O2+30% N2)下包装,4℃保存18 d。在冷藏期间,对样品进行了理化和微生物分析。在贮藏期间,CH、CHT和CHTRA处理显示出较低的好氧中温细菌和嗜冷细菌数量。不同涂层处理间差异不显著。对照组的平均pH值最高。随着贮存时间的延长,硫代巴比妥酸活性物质值也随之增加。在贮藏期结束时,包括对照组在内的处理之间没有观察到显著差异。对照组总挥发性碱性氮(TVB-N)在贮藏第15天高于25 mg/100 g。而在第18天,各处理组TVB-N水平低于20 mg/100 g。还确定涂层application×storage周期相互作用对所有颜色参数都有显着影响(p
本文章由计算机程序翻译,如有差异,请以英文原文为准。
求助全文
约1分钟内获得全文 求助全文
来源期刊
Food Science of Animal Resources
Food Science of Animal Resources Agricultural and Biological Sciences-Animal Science and Zoology
CiteScore
6.70
自引率
6.70%
发文量
75
期刊介绍: Food Science of Animal Resources (Food Sci. Anim. Resour.) is an international, peer-reviewed journal publishing original research and review articles on scientific and technological aspects of chemistry, biotechnology, processing, engineering, and microbiology of meat, egg, dairy, and edible insect/worm products.
×
引用
GB/T 7714-2015
复制
MLA
复制
APA
复制
导出至
BibTeX EndNote RefMan NoteFirst NoteExpress
×
提示
您的信息不完整,为了账户安全,请先补充。
现在去补充
×
提示
您因"违规操作"
具体请查看互助需知
我知道了
×
提示
确定
请完成安全验证×
copy
已复制链接
快去分享给好友吧!
我知道了
右上角分享
点击右上角分享
0
联系我们:info@booksci.cn Book学术提供免费学术资源搜索服务,方便国内外学者检索中英文文献。致力于提供最便捷和优质的服务体验。 Copyright © 2023 布克学术 All rights reserved.
京ICP备2023020795号-1
ghs 京公网安备 11010802042870号
Book学术文献互助
Book学术文献互助群
群 号:604180095
Book学术官方微信