Computed Tomography-Defined Body Composition as Prognostic Parameter in Acute Mesenteric Ischemia.

IF 1.2 3区 医学 Q3 GASTROENTEROLOGY & HEPATOLOGY
Digestive Surgery Pub Date : 2023-01-01 Epub Date: 2023-09-14 DOI:10.1159/000534093
Christoph Schwartner, Matthias Mehdorn, Ines Gockel, Manuel Florian Struck, Jakob Leonhardi, Markus Rositzka, Sebastian Ebel, Timm Denecke, Hans-Jonas Meyer
{"title":"Computed Tomography-Defined Body Composition as Prognostic Parameter in Acute Mesenteric Ischemia.","authors":"Christoph Schwartner, Matthias Mehdorn, Ines Gockel, Manuel Florian Struck, Jakob Leonhardi, Markus Rositzka, Sebastian Ebel, Timm Denecke, Hans-Jonas Meyer","doi":"10.1159/000534093","DOIUrl":null,"url":null,"abstract":"<p><strong>Introduction: </strong>Body composition comprising low-skeletal muscle mass (LSMM) and subcutaneous and visceral adipose tissue (SAT and VAT) can be assessed by using cross-sectional imaging modalities. Previous analyses suggest that these parameters harbor prognostic relevance in various diseases. Aim of this study was to analyze possible associations of body composition parameters on mortality in patients with clinically suspected acute mesenteric ischemia (AMI).</p><p><strong>Methods: </strong>All patients with clinically suspected AMI were retrospectively assessed between 2016 and 2020. Overall, 137 patients (52 female patients, 37.9%) with a median age of 71 years were included in the present analysis. For all patients, the preoperative abdominal computed tomography (CT) was used to calculate LSMM, VAT, and SAT.</p><p><strong>Results: </strong>Overall, 94 patients (68.6%) of the patient cohort died within 30 days within a median of 2 days, range 1-39 days. Of these, 27 patients (19.7%) died within 24 h. According to the CT, 101 patients (73.7%) were classified as being visceral obese, 102 patients (74.5%) as being sarcopenic, and 69 patients (50.4%) as being sarcopenic obese. Skeletal muscle index (SMI) was lower in non-survivors compared to survivors (37.5 ± 12.4 cm2/m2 vs. 44.1 ± 13.9 cm2/m2, p = 0.01). There were no associations between body composition parameters with mortality in days (SMI r = 0.07, p = 0.48, SAT r = -0.03, p = 0.77, and VAT r = 0.04, p = 0.68, respectively). In Cox regression analysis, a nonsignificant trend for visceral obesity was observed (HR: 0.62, 95% CI: 0.36-1.05, p = 0.07).</p><p><strong>Conclusion: </strong>SMI might be a valuable CT-based parameter, which could help discriminate between survivors and non-survivors. Further studies are needed to elucidate the associations between body composition and survival in patients with AMI.</p>","PeriodicalId":11241,"journal":{"name":"Digestive Surgery","volume":" ","pages":"225-232"},"PeriodicalIF":1.2000,"publicationDate":"2023-01-01","publicationTypes":"Journal Article","fieldsOfStudy":null,"isOpenAccess":false,"openAccessPdf":"https://www.ncbi.nlm.nih.gov/pmc/articles/PMC10716866/pdf/","citationCount":"0","resultStr":null,"platform":"Semanticscholar","paperid":null,"PeriodicalName":"Digestive Surgery","FirstCategoryId":"3","ListUrlMain":"https://doi.org/10.1159/000534093","RegionNum":3,"RegionCategory":"医学","ArticlePicture":[],"TitleCN":null,"AbstractTextCN":null,"PMCID":null,"EPubDate":"2023/9/14 0:00:00","PubModel":"Epub","JCR":"Q3","JCRName":"GASTROENTEROLOGY & HEPATOLOGY","Score":null,"Total":0}
引用次数: 0

Abstract

Introduction: Body composition comprising low-skeletal muscle mass (LSMM) and subcutaneous and visceral adipose tissue (SAT and VAT) can be assessed by using cross-sectional imaging modalities. Previous analyses suggest that these parameters harbor prognostic relevance in various diseases. Aim of this study was to analyze possible associations of body composition parameters on mortality in patients with clinically suspected acute mesenteric ischemia (AMI).

Methods: All patients with clinically suspected AMI were retrospectively assessed between 2016 and 2020. Overall, 137 patients (52 female patients, 37.9%) with a median age of 71 years were included in the present analysis. For all patients, the preoperative abdominal computed tomography (CT) was used to calculate LSMM, VAT, and SAT.

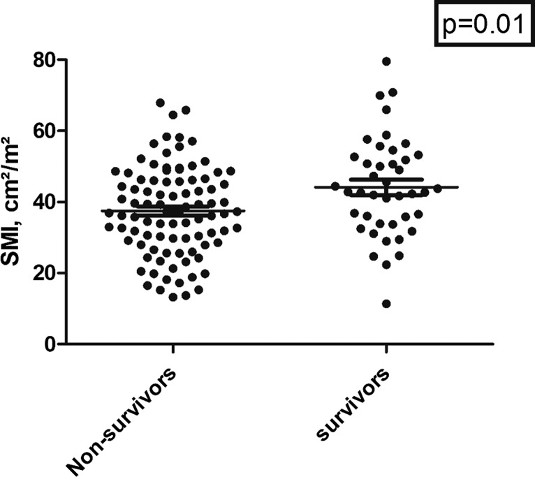
Results: Overall, 94 patients (68.6%) of the patient cohort died within 30 days within a median of 2 days, range 1-39 days. Of these, 27 patients (19.7%) died within 24 h. According to the CT, 101 patients (73.7%) were classified as being visceral obese, 102 patients (74.5%) as being sarcopenic, and 69 patients (50.4%) as being sarcopenic obese. Skeletal muscle index (SMI) was lower in non-survivors compared to survivors (37.5 ± 12.4 cm2/m2 vs. 44.1 ± 13.9 cm2/m2, p = 0.01). There were no associations between body composition parameters with mortality in days (SMI r = 0.07, p = 0.48, SAT r = -0.03, p = 0.77, and VAT r = 0.04, p = 0.68, respectively). In Cox regression analysis, a nonsignificant trend for visceral obesity was observed (HR: 0.62, 95% CI: 0.36-1.05, p = 0.07).

Conclusion: SMI might be a valuable CT-based parameter, which could help discriminate between survivors and non-survivors. Further studies are needed to elucidate the associations between body composition and survival in patients with AMI.

Abstract Image

Abstract Image

Abstract Image

将计算机断层扫描确定的身体成分作为急性肠系膜缺血的预后参数
导言:身体成分包括低骨骼肌质量(LSMM)、皮下和内脏脂肪组织(SAT 和 VAT),可通过横断面成像模式进行评估。以往的分析表明,这些参数与各种疾病的预后相关。本研究旨在分析临床疑似急性肠系膜缺血(AMI)患者的身体成分参数与死亡率之间可能存在的关联:对2016年至2020年间所有临床疑似AMI患者进行回顾性评估。本分析共纳入 137 名患者(52 名女性,占 37.9%),中位年龄为 71 岁。所有患者的术前腹部计算机断层扫描(CT)均用于计算LSMM、VAT和SAT:总体而言,94 名患者(68.6%)在 30 天内死亡,死亡时间中位数为 2 天,死亡范围为 1-39 天。根据 CT,101 名患者(73.7%)被归类为内脏肥胖,102 名患者(74.5%)被归类为肌肉松弛型肥胖,69 名患者(50.4%)被归类为肌肉松弛型肥胖。与幸存者相比,非幸存者的骨骼肌指数(SMI)较低(37.5 ± 12.4 cm2/m2 vs. 44.1 ± 13.9 cm2/m2,P = 0.01)。身体成分参数与日死亡率之间没有关联(SMI r = 0.07,p = 0.48;SAT r = -0.03,p = 0.77;VAT r = 0.04,p = 0.68)。在 Cox 回归分析中,观察到内脏肥胖的趋势不明显(HR:0.62,95% CI:0.36-1.05,p = 0.07):SMI可能是一个有价值的基于CT的参数,有助于区分幸存者和非幸存者。还需要进一步的研究来阐明 AMI 患者的身体成分与存活率之间的关系。
本文章由计算机程序翻译,如有差异,请以英文原文为准。
求助全文
约1分钟内获得全文 求助全文
来源期刊
Digestive Surgery
Digestive Surgery 医学-外科
CiteScore
4.90
自引率
3.70%
发文量
25
审稿时长
3 months
期刊介绍: ''Digestive Surgery'' presents a comprehensive overview in the field of gastrointestinal surgery. Interdisciplinary in scope, the journal keeps the specialist aware of advances in all fields that contribute to improvements in the diagnosis and treatment of gastrointestinal disease. Particular emphasis is given to articles that evaluate not only recent clinical developments, especially clinical trials and technical innovations such as new endoscopic and laparoscopic procedures, but also relevant translational research. Each contribution is carefully aligned with the need of the digestive surgeon. Thus, the journal is an important component of the continuing medical education of surgeons who want their practice to benefit from a familiarity with new knowledge in all its dimensions.
×
引用
GB/T 7714-2015
复制
MLA
复制
APA
复制
导出至
BibTeX EndNote RefMan NoteFirst NoteExpress
×
提示
您的信息不完整,为了账户安全,请先补充。
现在去补充
×
提示
您因"违规操作"
具体请查看互助需知
我知道了
×
提示
确定
请完成安全验证×
copy
已复制链接
快去分享给好友吧!
我知道了
右上角分享
点击右上角分享
0
联系我们:info@booksci.cn Book学术提供免费学术资源搜索服务,方便国内外学者检索中英文文献。致力于提供最便捷和优质的服务体验。 Copyright © 2023 布克学术 All rights reserved.
京ICP备2023020795号-1
ghs 京公网安备 11010802042870号
Book学术文献互助
Book学术文献互助群
群 号:604180095
Book学术官方微信