Sixty years of conjecture over a urinary biomarker: a step closer to understanding the proposed link between anxiety and urinary pyrroles.

Angela Sherwin, Ian C Shaw
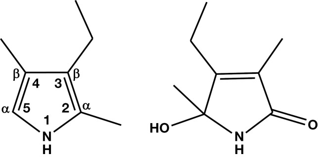
{"title":"Sixty years of conjecture over a urinary biomarker: a step closer to understanding the proposed link between anxiety and urinary pyrroles.","authors":"Angela Sherwin, Ian C Shaw","doi":"10.1093/labmed/lmad086","DOIUrl":null,"url":null,"abstract":"<p><strong>Objective: </strong>For over 60 years there has been conjecture about the identity of an Ehrlich's test positive pyrrole (Mauve Factor) reputed to be a biomarker for psychological disorders, including anxiety. We reviewed studies that attempt to identify Mauve Factor and subjected authentic standards of the 2 main candidates, kryptopyrrole and hydroxypyrrole, to the Ehrlich's reaction.</p><p><strong>Methods: </strong>Modified Ehrlich's test for kryptopyrrole and hydroxypyrrole were applied to urine samples from 10 volunteers, anxious and nonanxious.</p><p><strong>Results: </strong>Based on the mechanistic chemistry of Ehrlich's reaction and reactions of the 2 compounds, Mauve Factor cannot be hydroxypyrrole. Analyses of urine samples from volunteers, identified by the Generalized Anxiety Disorder - 7 item scale (GAD-7 ≥10; n = 5) and control urine samples (GAD-7 <10; n = 5) using a kryptopyrrole calibration graph, show that concentrations are similar in both groups.</p><p><strong>Conclusion: </strong>Kryptopyrrole may be the elusive Mauve Factor. Its possible origin from stercobilin via gut microbiome-mediated metabolism, its link to gut-mediated neurological effects via γ-aminobutyric acid (GABA) receptors, and its predicted interaction with Zn2+ and consequent impact on zinc homeostasis are discussed. The GAD-7 scale does not differentiate between state and trait anxiety and as such, the minimal difference in pyrrole levels between volunteer groups requires further study.</p>","PeriodicalId":17951,"journal":{"name":"Laboratory medicine","volume":" ","pages":"334-340"},"PeriodicalIF":0.0000,"publicationDate":"2024-05-02","publicationTypes":"Journal Article","fieldsOfStudy":null,"isOpenAccess":false,"openAccessPdf":"https://www.ncbi.nlm.nih.gov/pmc/articles/PMC11064097/pdf/","citationCount":"0","resultStr":null,"platform":"Semanticscholar","paperid":null,"PeriodicalName":"Laboratory medicine","FirstCategoryId":"3","ListUrlMain":"https://doi.org/10.1093/labmed/lmad086","RegionNum":0,"RegionCategory":null,"ArticlePicture":[],"TitleCN":null,"AbstractTextCN":null,"PMCID":null,"EPubDate":"","PubModel":"","JCR":"","JCRName":"","Score":null,"Total":0}
引用次数: 0

Abstract

Objective: For over 60 years there has been conjecture about the identity of an Ehrlich's test positive pyrrole (Mauve Factor) reputed to be a biomarker for psychological disorders, including anxiety. We reviewed studies that attempt to identify Mauve Factor and subjected authentic standards of the 2 main candidates, kryptopyrrole and hydroxypyrrole, to the Ehrlich's reaction.

Methods: Modified Ehrlich's test for kryptopyrrole and hydroxypyrrole were applied to urine samples from 10 volunteers, anxious and nonanxious.

Results: Based on the mechanistic chemistry of Ehrlich's reaction and reactions of the 2 compounds, Mauve Factor cannot be hydroxypyrrole. Analyses of urine samples from volunteers, identified by the Generalized Anxiety Disorder - 7 item scale (GAD-7 ≥10; n = 5) and control urine samples (GAD-7 <10; n = 5) using a kryptopyrrole calibration graph, show that concentrations are similar in both groups.

Conclusion: Kryptopyrrole may be the elusive Mauve Factor. Its possible origin from stercobilin via gut microbiome-mediated metabolism, its link to gut-mediated neurological effects via γ-aminobutyric acid (GABA) receptors, and its predicted interaction with Zn2+ and consequent impact on zinc homeostasis are discussed. The GAD-7 scale does not differentiate between state and trait anxiety and as such, the minimal difference in pyrrole levels between volunteer groups requires further study.

Abstract Image

Abstract Image

Abstract Image

六十年来对尿液生物标志物的猜测:距离理解焦虑与尿液中吡咯烷酮之间的联系又近了一步。
目的:60 多年来,人们一直在猜测艾氏试验阳性吡咯(毛乌素因子)的身份,据说它是包括焦虑症在内的心理疾病的生物标志物。我们回顾了试图确定毛乌素因子的研究,并将 2 种主要候选物质(氪吡咯和羟基吡咯)的真实标准物进行了艾氏反应:方法:对 10 名焦虑和非焦虑志愿者的尿样进行改良艾氏试验,检测克吡咯和羟基吡咯:结果:根据艾氏反应的化学机制和这两种化合物的反应,"淡紫因子 "不可能是羟基吡咯。对志愿者的尿样进行分析,根据广泛性焦虑症--7 项量表(GAD-7 ≥10;n = 5)和对照尿样(GAD-7 结论:Kryptopyrrole 可能就是难以捉摸的 "淡紫色因子"。本文讨论了它可能通过肠道微生物介导的新陈代谢来源于stercobilin,通过γ-氨基丁酸(GABA)受体与肠道介导的神经效应有关,以及它与Zn2+的相互作用及其对锌平衡的影响。GAD-7 量表不区分状态焦虑和特质焦虑,因此,志愿者群体之间吡咯水平的微小差异需要进一步研究。
本文章由计算机程序翻译,如有差异,请以英文原文为准。
求助全文
约1分钟内获得全文 求助全文
来源期刊
自引率
0.00%
发文量
0
×
引用
GB/T 7714-2015
复制
MLA
复制
APA
复制
导出至
BibTeX EndNote RefMan NoteFirst NoteExpress
×
提示
您的信息不完整,为了账户安全,请先补充。
现在去补充
×
提示
您因"违规操作"
具体请查看互助需知
我知道了
×
提示
确定
请完成安全验证×
copy
已复制链接
快去分享给好友吧!
我知道了
右上角分享
点击右上角分享
0
联系我们:info@booksci.cn Book学术提供免费学术资源搜索服务,方便国内外学者检索中英文文献。致力于提供最便捷和优质的服务体验。 Copyright © 2023 布克学术 All rights reserved.
京ICP备2023020795号-1
ghs 京公网安备 11010802042870号
Book学术文献互助
Book学术文献互助群
群 号:604180095
Book学术官方微信