不同年龄正常可育男性精子microRNA表达谱的改变。

IF 3 2区 医学 Q2 ANDROLOGY
Asian Journal of Andrology Pub Date : 2023-11-01 Epub Date: 2023-04-28 DOI:10.4103/aja20238
Ming-Jia Zhao, Yao-Nan Zhang, Yong-Ping Zhao, Xian-Bing Chen, Bao-Sheng Han, Ning Ding, Yi-Qun Gu, Shu-Song Wang, Jing Ma, Mei-Ling Liu
{"title":"不同年龄正常可育男性精子microRNA表达谱的改变。","authors":"Ming-Jia Zhao, Yao-Nan Zhang, Yong-Ping Zhao, Xian-Bing Chen, Bao-Sheng Han, Ning Ding, Yi-Qun Gu, Shu-Song Wang, Jing Ma, Mei-Ling Liu","doi":"10.4103/aja20238","DOIUrl":null,"url":null,"abstract":"<p><p>MicroRNAs (miRNAs) are mediators of the aging process. The purpose of this work was to analyze the miRNA expression profiles of spermatozoa from men of different ages with normal fertility. Twenty-seven donors were divided into three groups by age (Group A, n = 8, age: 20-30 years; Group B, n = 10, age: 31-40 years; and Group C, n = 9, age: 41-55 years) for high-throughput sequencing analysis. Samples from 65 individuals (22, 22, and 21 in Groups A, B, and C, respectively) were used for validation by quantitative real-time polymerase chain reaction (qRT-PCR). A total of 2160 miRNAs were detected: 1223 were known, 937 were newly discovered and unnamed, of which 191 were expressed in all donors. A total of 7, 5, and 17 differentially expressed microRNAs (DEMs) were found in Group A vs B, Group B vs C, and Group A vs C comparisons, respectively. Twenty-two miRNAs were statistically correlated with age. Twelve miRNAs were identified as age-associated miRNAs, including hsa-miR-127-3p, mmu-miR-5100_L+2R-1, efu-miR-9226_L-2_1ss22GA, cgr-miR-1260_L+1, hsa-miR-652-3p_R+1, pal-miR-9993a-3p_L+2R-1, hsa-miR-7977_1ss6AG, hsa-miR-106b-3p_R-1, hsa-miR-186-5p, PC-3p-59611_111, hsa-miR-93-3p_R+1, and aeca-mir-8986a-p5_1ss1GA. There were 9165 target genes of age-associated miRNAs. Gene Ontology (GO) analysis of the target genes identified revealed enrichment of protein binding, membrane, cell cycle, and so on. The Kyoto Encyclopedia of Genes and Genomes (KEGG) enrichment analysis of age-related miRNAs for target genes revealed 139 enriched pathways, such as signaling pathways regulating stem cell pluripotency, metabolic pathways, and the Hippo signaling pathway. This suggests that miRNAs play a key role in male fertility changes with increasing age and provides new evidence for the study of the mechanism of age-related male fertility decline.</p>","PeriodicalId":8483,"journal":{"name":"Asian Journal of Andrology","volume":" ","pages":"737-744"},"PeriodicalIF":3.0000,"publicationDate":"2023-11-01","publicationTypes":"Journal Article","fieldsOfStudy":null,"isOpenAccess":false,"openAccessPdf":"https://www.ncbi.nlm.nih.gov/pmc/articles/PMC10715607/pdf/","citationCount":"0","resultStr":"{\"title\":\"Altered microRNA expression profiles of human spermatozoa in normal fertile men of different ages.\",\"authors\":\"Ming-Jia Zhao, Yao-Nan Zhang, Yong-Ping Zhao, Xian-Bing Chen, Bao-Sheng Han, Ning Ding, Yi-Qun Gu, Shu-Song Wang, Jing Ma, Mei-Ling Liu\",\"doi\":\"10.4103/aja20238\",\"DOIUrl\":null,\"url\":null,\"abstract\":\"<p><p>MicroRNAs (miRNAs) are mediators of the aging process. The purpose of this work was to analyze the miRNA expression profiles of spermatozoa from men of different ages with normal fertility. Twenty-seven donors were divided into three groups by age (Group A, n = 8, age: 20-30 years; Group B, n = 10, age: 31-40 years; and Group C, n = 9, age: 41-55 years) for high-throughput sequencing analysis. Samples from 65 individuals (22, 22, and 21 in Groups A, B, and C, respectively) were used for validation by quantitative real-time polymerase chain reaction (qRT-PCR). A total of 2160 miRNAs were detected: 1223 were known, 937 were newly discovered and unnamed, of which 191 were expressed in all donors. A total of 7, 5, and 17 differentially expressed microRNAs (DEMs) were found in Group A vs B, Group B vs C, and Group A vs C comparisons, respectively. Twenty-two miRNAs were statistically correlated with age. Twelve miRNAs were identified as age-associated miRNAs, including hsa-miR-127-3p, mmu-miR-5100_L+2R-1, efu-miR-9226_L-2_1ss22GA, cgr-miR-1260_L+1, hsa-miR-652-3p_R+1, pal-miR-9993a-3p_L+2R-1, hsa-miR-7977_1ss6AG, hsa-miR-106b-3p_R-1, hsa-miR-186-5p, PC-3p-59611_111, hsa-miR-93-3p_R+1, and aeca-mir-8986a-p5_1ss1GA. There were 9165 target genes of age-associated miRNAs. Gene Ontology (GO) analysis of the target genes identified revealed enrichment of protein binding, membrane, cell cycle, and so on. The Kyoto Encyclopedia of Genes and Genomes (KEGG) enrichment analysis of age-related miRNAs for target genes revealed 139 enriched pathways, such as signaling pathways regulating stem cell pluripotency, metabolic pathways, and the Hippo signaling pathway. This suggests that miRNAs play a key role in male fertility changes with increasing age and provides new evidence for the study of the mechanism of age-related male fertility decline.</p>\",\"PeriodicalId\":8483,\"journal\":{\"name\":\"Asian Journal of Andrology\",\"volume\":\" \",\"pages\":\"737-744\"},\"PeriodicalIF\":3.0000,\"publicationDate\":\"2023-11-01\",\"publicationTypes\":\"Journal Article\",\"fieldsOfStudy\":null,\"isOpenAccess\":false,\"openAccessPdf\":\"https://www.ncbi.nlm.nih.gov/pmc/articles/PMC10715607/pdf/\",\"citationCount\":\"0\",\"resultStr\":null,\"platform\":\"Semanticscholar\",\"paperid\":null,\"PeriodicalName\":\"Asian Journal of Andrology\",\"FirstCategoryId\":\"3\",\"ListUrlMain\":\"https://doi.org/10.4103/aja20238\",\"RegionNum\":2,\"RegionCategory\":\"医学\",\"ArticlePicture\":[],\"TitleCN\":null,\"AbstractTextCN\":null,\"PMCID\":null,\"EPubDate\":\"2023/4/28 0:00:00\",\"PubModel\":\"Epub\",\"JCR\":\"Q2\",\"JCRName\":\"ANDROLOGY\",\"Score\":null,\"Total\":0}","platform":"Semanticscholar","paperid":null,"PeriodicalName":"Asian Journal of Andrology","FirstCategoryId":"3","ListUrlMain":"https://doi.org/10.4103/aja20238","RegionNum":2,"RegionCategory":"医学","ArticlePicture":[],"TitleCN":null,"AbstractTextCN":null,"PMCID":null,"EPubDate":"2023/4/28 0:00:00","PubModel":"Epub","JCR":"Q2","JCRName":"ANDROLOGY","Score":null,"Total":0}
引用次数: 0

摘要

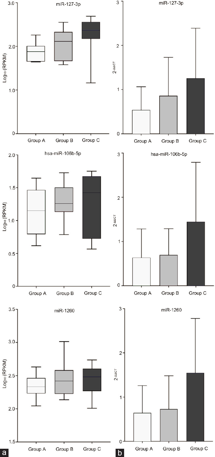
微小RNA(miRNA)是衰老过程的介质。这项工作的目的是分析具有正常生育能力的不同年龄男性精子的miRNA表达谱。27名捐献者按年龄分为三组(A组,n=8,年龄:20-30岁;B组,n=10,年龄:31-40岁;C组,n=9,年龄:41-55岁)进行高通量测序分析。来自65个个体(分别为A组、B组和C组的22个、22个和21个)的样本用于通过定量实时聚合酶链式反应(qRT-PCR)进行验证。共检测到2160个miRNA:1223个是已知的,937个是新发现的和未命名的,其中191个在所有供体中表达。在A组与B组、B组与C组以及A组与C的比较中,分别发现了7个、5个和17个差异表达的微小RNA(DEM)。22个miRNA与年龄具有统计学相关性。12种miRNA被鉴定为与年龄相关的miRNA,包括hsa-miR-127-3p、mmu-miR-5100_L+2R-1、efu-miR-9226_L-2_1ss22GA、cgr-miR-1260_L+1、hsa-miR-652-3p_R+1、pal-miR-993a-3p_L+2R-1、hsa-miR-7977_1ss6AG、hsa-iR-106b-3p_R-1、hsa-micro-186-5p、PC-3p-596111,11、hsa-miR-93-3p_R+1和aeca-miR-8896a-p5_1ss1GA。年龄相关miRNA的靶基因有9165个。对所鉴定的靶基因的基因本体论(GO)分析揭示了蛋白质结合、膜、细胞周期等的富集。京都基因和基因组百科全书(KEGG)对靶基因的年龄相关miRNA的富集分析揭示了139种富集途径,如调节干细胞多能性的信号通路、代谢途径和Hippo信号通路。这表明miRNA在男性生育能力随年龄增长的变化中起着关键作用,并为研究与年龄相关的男性生育能力下降的机制提供了新的证据。
本文章由计算机程序翻译,如有差异,请以英文原文为准。

Altered microRNA expression profiles of human spermatozoa in normal fertile men of different ages.

Altered microRNA expression profiles of human spermatozoa in normal fertile men of different ages.

Altered microRNA expression profiles of human spermatozoa in normal fertile men of different ages.

Altered microRNA expression profiles of human spermatozoa in normal fertile men of different ages.

MicroRNAs (miRNAs) are mediators of the aging process. The purpose of this work was to analyze the miRNA expression profiles of spermatozoa from men of different ages with normal fertility. Twenty-seven donors were divided into three groups by age (Group A, n = 8, age: 20-30 years; Group B, n = 10, age: 31-40 years; and Group C, n = 9, age: 41-55 years) for high-throughput sequencing analysis. Samples from 65 individuals (22, 22, and 21 in Groups A, B, and C, respectively) were used for validation by quantitative real-time polymerase chain reaction (qRT-PCR). A total of 2160 miRNAs were detected: 1223 were known, 937 were newly discovered and unnamed, of which 191 were expressed in all donors. A total of 7, 5, and 17 differentially expressed microRNAs (DEMs) were found in Group A vs B, Group B vs C, and Group A vs C comparisons, respectively. Twenty-two miRNAs were statistically correlated with age. Twelve miRNAs were identified as age-associated miRNAs, including hsa-miR-127-3p, mmu-miR-5100_L+2R-1, efu-miR-9226_L-2_1ss22GA, cgr-miR-1260_L+1, hsa-miR-652-3p_R+1, pal-miR-9993a-3p_L+2R-1, hsa-miR-7977_1ss6AG, hsa-miR-106b-3p_R-1, hsa-miR-186-5p, PC-3p-59611_111, hsa-miR-93-3p_R+1, and aeca-mir-8986a-p5_1ss1GA. There were 9165 target genes of age-associated miRNAs. Gene Ontology (GO) analysis of the target genes identified revealed enrichment of protein binding, membrane, cell cycle, and so on. The Kyoto Encyclopedia of Genes and Genomes (KEGG) enrichment analysis of age-related miRNAs for target genes revealed 139 enriched pathways, such as signaling pathways regulating stem cell pluripotency, metabolic pathways, and the Hippo signaling pathway. This suggests that miRNAs play a key role in male fertility changes with increasing age and provides new evidence for the study of the mechanism of age-related male fertility decline.

求助全文
通过发布文献求助,成功后即可免费获取论文全文。 去求助
来源期刊
Asian Journal of Andrology
Asian Journal of Andrology 医学-泌尿学与肾脏学
CiteScore
4.90
自引率
3.40%
发文量
2252
审稿时长
2.2 months
期刊介绍: Fields of particular interest to the journal include, but are not limited to: -Sperm biology: cellular and molecular mechanisms- Male reproductive system: structure and function- Hormonal regulation of male reproduction- Male infertility: etiology, pathogenesis, diagnosis, treatment and prevention- Semen analysis & sperm functional assays- Sperm selection & quality and ART outcomes- Male sexual dysfunction- Male puberty development- Male ageing- Prostate diseases- Operational andrology- HIV & male reproductive tract infection- Male contraception- Environmental, lifestyle, genetic factors and male health- Male reproductive toxicology- Male sexual and reproductive health.
×
引用
GB/T 7714-2015
复制
MLA
复制
APA
复制
导出至
BibTeX EndNote RefMan NoteFirst NoteExpress
×
提示
您的信息不完整,为了账户安全,请先补充。
现在去补充
×
提示
您因"违规操作"
具体请查看互助需知
我知道了
×
提示
确定
请完成安全验证×
copy
已复制链接
快去分享给好友吧!
我知道了
右上角分享
点击右上角分享
0
联系我们:info@booksci.cn Book学术提供免费学术资源搜索服务,方便国内外学者检索中英文文献。致力于提供最便捷和优质的服务体验。 Copyright © 2023 布克学术 All rights reserved.
京ICP备2023020795号-1
ghs 京公网安备 11010802042870号
Book学术文献互助
Book学术文献互助群
群 号:604180095
Book学术官方微信