通过身体功能评估确定间歇性跛行患者血管再通术后的治疗效果

IF 1.3 4区 医学 Q4 CARDIAC & CARDIOVASCULAR SYSTEMS
Masaharu Nakajima, Hiroki Mitsuoka, Yuki Orimoto, Shota Otsuka, Tomoyuki Morisawa, Tetsuya Takahashi, Hiroyuki Ishibashi
{"title":"通过身体功能评估确定间歇性跛行患者血管再通术后的治疗效果","authors":"Masaharu Nakajima, Hiroki Mitsuoka, Yuki Orimoto, Shota Otsuka, Tomoyuki Morisawa, Tetsuya Takahashi, Hiroyuki Ishibashi","doi":"10.5761/atcs.oa.23-00069","DOIUrl":null,"url":null,"abstract":"<p><strong>Purpose: </strong>There have been few reports examining changes in physical activity (PA) after revascularization of lower extremities from the perspective of physical function at discharge. The purpose of this study was to clarify the effects of physical function before discharge on the amount of PA after discharge in patients who underwent revascularization.</p><p><strong>Methods: </strong>The subjects were 34 Fontaine class II patients admitted for elective surgical revascularization or endovascular treatment at two hospitals from September 2017 to October 2019. Triaxial accelerometers were used to measure changes in sedentary behavior (SB) before admission and 1 month after discharge. Multiple regression analysis was performed on the 6-min walking distance (6MWD) at the time of discharge and the change in SB 1 month after discharge; the cutoff value was calculated from the receiver operating characteristic (ROC) curve.</p><p><strong>Results: </strong>SB 1 month after discharge significantly decreased in the decreased SB group compared to the increased SB group (575.5 [400-745.2] vs. 649.5 [453.8-809.2], p <0.01). ROC curve was plotted with SB increase/decrease as the dependent variable and 6MWD at discharge as the independent variable; the cutoff value was 357.5 m.</p><p><strong>Conclusion: </strong>6MWD measurement at discharge may help predict changes in SB after discharge.</p>","PeriodicalId":8037,"journal":{"name":"Annals of Thoracic and Cardiovascular Surgery","volume":" ","pages":""},"PeriodicalIF":1.3000,"publicationDate":"2024-01-25","publicationTypes":"Journal Article","fieldsOfStudy":null,"isOpenAccess":false,"openAccessPdf":"https://www.ncbi.nlm.nih.gov/pmc/articles/PMC10851441/pdf/","citationCount":"0","resultStr":"{\"title\":\"Determination of Treatment Efficacy after Revascularization of Intermittent Claudication Patients by Physical Function Assessment.\",\"authors\":\"Masaharu Nakajima, Hiroki Mitsuoka, Yuki Orimoto, Shota Otsuka, Tomoyuki Morisawa, Tetsuya Takahashi, Hiroyuki Ishibashi\",\"doi\":\"10.5761/atcs.oa.23-00069\",\"DOIUrl\":null,\"url\":null,\"abstract\":\"<p><strong>Purpose: </strong>There have been few reports examining changes in physical activity (PA) after revascularization of lower extremities from the perspective of physical function at discharge. The purpose of this study was to clarify the effects of physical function before discharge on the amount of PA after discharge in patients who underwent revascularization.</p><p><strong>Methods: </strong>The subjects were 34 Fontaine class II patients admitted for elective surgical revascularization or endovascular treatment at two hospitals from September 2017 to October 2019. Triaxial accelerometers were used to measure changes in sedentary behavior (SB) before admission and 1 month after discharge. Multiple regression analysis was performed on the 6-min walking distance (6MWD) at the time of discharge and the change in SB 1 month after discharge; the cutoff value was calculated from the receiver operating characteristic (ROC) curve.</p><p><strong>Results: </strong>SB 1 month after discharge significantly decreased in the decreased SB group compared to the increased SB group (575.5 [400-745.2] vs. 649.5 [453.8-809.2], p <0.01). ROC curve was plotted with SB increase/decrease as the dependent variable and 6MWD at discharge as the independent variable; the cutoff value was 357.5 m.</p><p><strong>Conclusion: </strong>6MWD measurement at discharge may help predict changes in SB after discharge.</p>\",\"PeriodicalId\":8037,\"journal\":{\"name\":\"Annals of Thoracic and Cardiovascular Surgery\",\"volume\":\" \",\"pages\":\"\"},\"PeriodicalIF\":1.3000,\"publicationDate\":\"2024-01-25\",\"publicationTypes\":\"Journal Article\",\"fieldsOfStudy\":null,\"isOpenAccess\":false,\"openAccessPdf\":\"https://www.ncbi.nlm.nih.gov/pmc/articles/PMC10851441/pdf/\",\"citationCount\":\"0\",\"resultStr\":null,\"platform\":\"Semanticscholar\",\"paperid\":null,\"PeriodicalName\":\"Annals of Thoracic and Cardiovascular Surgery\",\"FirstCategoryId\":\"3\",\"ListUrlMain\":\"https://doi.org/10.5761/atcs.oa.23-00069\",\"RegionNum\":4,\"RegionCategory\":\"医学\",\"ArticlePicture\":[],\"TitleCN\":null,\"AbstractTextCN\":null,\"PMCID\":null,\"EPubDate\":\"2023/7/1 0:00:00\",\"PubModel\":\"Epub\",\"JCR\":\"Q4\",\"JCRName\":\"CARDIAC & CARDIOVASCULAR SYSTEMS\",\"Score\":null,\"Total\":0}","platform":"Semanticscholar","paperid":null,"PeriodicalName":"Annals of Thoracic and Cardiovascular Surgery","FirstCategoryId":"3","ListUrlMain":"https://doi.org/10.5761/atcs.oa.23-00069","RegionNum":4,"RegionCategory":"医学","ArticlePicture":[],"TitleCN":null,"AbstractTextCN":null,"PMCID":null,"EPubDate":"2023/7/1 0:00:00","PubModel":"Epub","JCR":"Q4","JCRName":"CARDIAC & CARDIOVASCULAR SYSTEMS","Score":null,"Total":0}
引用次数: 0

摘要

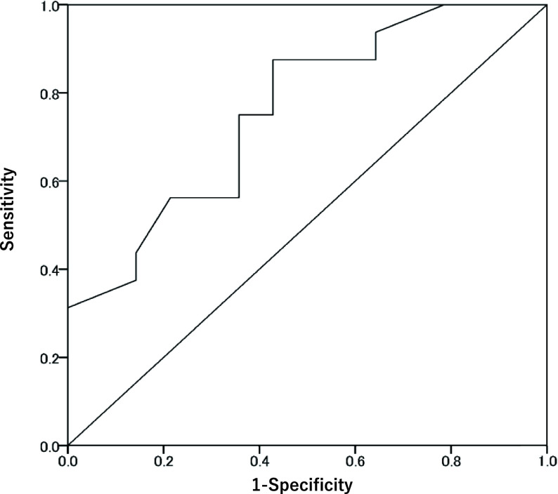
目的:很少有报告从出院时身体功能的角度研究下肢血管再通术后体力活动(PA)的变化。本研究旨在明确接受血管再通术的患者出院前的身体功能对出院后体力活动量的影响:研究对象为2017年9月至2019年10月在两家医院接受择期手术血管重建或血管内治疗的34名方丹II级患者。使用三轴加速度计测量入院前和出院后1个月的久坐行为(SB)变化。对出院时的6分钟步行距离(6MWD)和出院后1个月的SB变化进行了多元回归分析;根据接收器操作特征曲线(ROC)计算出了临界值:结论:出院时的 6MWD 测量有助于预测出院后 SB 的变化。
本文章由计算机程序翻译,如有差异,请以英文原文为准。

Determination of Treatment Efficacy after Revascularization of Intermittent Claudication Patients by Physical Function Assessment.

Determination of Treatment Efficacy after Revascularization of Intermittent Claudication Patients by Physical Function Assessment.

Purpose: There have been few reports examining changes in physical activity (PA) after revascularization of lower extremities from the perspective of physical function at discharge. The purpose of this study was to clarify the effects of physical function before discharge on the amount of PA after discharge in patients who underwent revascularization.

Methods: The subjects were 34 Fontaine class II patients admitted for elective surgical revascularization or endovascular treatment at two hospitals from September 2017 to October 2019. Triaxial accelerometers were used to measure changes in sedentary behavior (SB) before admission and 1 month after discharge. Multiple regression analysis was performed on the 6-min walking distance (6MWD) at the time of discharge and the change in SB 1 month after discharge; the cutoff value was calculated from the receiver operating characteristic (ROC) curve.

Results: SB 1 month after discharge significantly decreased in the decreased SB group compared to the increased SB group (575.5 [400-745.2] vs. 649.5 [453.8-809.2], p <0.01). ROC curve was plotted with SB increase/decrease as the dependent variable and 6MWD at discharge as the independent variable; the cutoff value was 357.5 m.

Conclusion: 6MWD measurement at discharge may help predict changes in SB after discharge.

求助全文
通过发布文献求助,成功后即可免费获取论文全文。 去求助
来源期刊
Annals of Thoracic and Cardiovascular Surgery
Annals of Thoracic and Cardiovascular Surgery CARDIAC & CARDIOVASCULAR SYSTEMS-SURGERY
CiteScore
2.80
自引率
0.00%
发文量
56
审稿时长
4-8 weeks
期刊介绍: Information not localized
×
引用
GB/T 7714-2015
复制
MLA
复制
APA
复制
导出至
BibTeX EndNote RefMan NoteFirst NoteExpress
×
提示
您的信息不完整,为了账户安全,请先补充。
现在去补充
×
提示
您因"违规操作"
具体请查看互助需知
我知道了
×
提示
确定
请完成安全验证×
copy
已复制链接
快去分享给好友吧!
我知道了
右上角分享
点击右上角分享
0
联系我们:info@booksci.cn Book学术提供免费学术资源搜索服务,方便国内外学者检索中英文文献。致力于提供最便捷和优质的服务体验。 Copyright © 2023 布克学术 All rights reserved.
京ICP备2023020795号-1
ghs 京公网安备 11010802042870号
Book学术文献互助
Book学术文献互助群
群 号:604180095
Book学术官方微信