丹露片可通过调节 FIH-1、HIF-1 和 Angptl4 缓解慢性间歇性缺氧造成的血管损伤

International family planning perspectives Pub Date : 2022-10-15 eCollection Date: 2022-01-01 DOI:10.1155/2022/4463108
Yi Rong, Qian Wu, Jingjing Tang, Zhiguo Liu, Qianyu Lv, Xuejiao Ye, Yu Dong, Yuebo Zhang, Guangxi Li, Shihan Wang
{"title":"丹露片可通过调节 FIH-1、HIF-1 和 Angptl4 缓解慢性间歇性缺氧造成的血管损伤","authors":"Yi Rong, Qian Wu, Jingjing Tang, Zhiguo Liu, Qianyu Lv, Xuejiao Ye, Yu Dong, Yuebo Zhang, Guangxi Li, Shihan Wang","doi":"10.1155/2022/4463108","DOIUrl":null,"url":null,"abstract":"<p><strong>Background: </strong>Danlou tablet (DLT), the traditional Chinese medicine has been commonly used for dyslipidemia, atherosclerosis, and coronary heart disease. Whether it was effective against vascular injury caused by CIH has remained unknown. The aim of the current study was to observe the effects of DLT on chronic intermittent hypoxia (CIH)-induced vascular injury via regulation of blood lipids and to explore potential mechanisms.</p><p><strong>Methods: </strong>Sixteen 12-week-old male ApoE<sup>-/-</sup> mice were randomly divided into four groups. The sham group was exposed to normal room air, whereas the other three groups were exposed to CIH. Mice in the CIH + normal saline (NS) group were gavaged with NS. Mice in the CIH + Angptl4-ab group were intraperitoneally injected with Angptl4-antibody. Mice in the CIH + DLT group were gavaged with DLT. After four weeks of intervention, serum lipid concentrations, and serum lipoprotein lipase (LPL) activity were detected. The changes in atherosclerosis in vascular tissue were detected by hematoxylin and eosin (H&E) staining. Quantitative real-time polymerase chain reaction (qRT-PCR) and Western blot analysis were applied to detect the expression levels of hypoxia-induciblefactor-1 (HIF-1), factor-inhibiting HIF-1 (FIH-1), angiopoietin-like 4 (Angptl4), and LPL in different tissues.</p><p><strong>Results: </strong>CIH exposure increases serum lipid levels, decreases serum LPL activity, and exacerbates atherosclerosis. Both Angptl4-ab and DLT treatment reversed the changes in lipid concentration, LPL activity, and atherosclerosis caused by CIH. In the epididymal fat pad, CIH exposure decreased the expression of FIH-1 and increased the expression of HIF-1, whereas DLT treatment increased the expression of FIH-1 and LPL and inhibited the expression of HIF-1 and Angptl4. In heart tissue, the expression levels of LPL and Angptl4 were not affected by modeling or treatment.</p><p><strong>Conclusions: </strong>DLT improved vascular damage by improving the increase in blood lipids induced by CIH, potentially by upregulating FIH-1 and downregulating HIF-1 and Angptl4 in adipose tissue. Therefore, DLT may be a promising agent for the prevention and treatment of CIH-induced vascular injury.</p>","PeriodicalId":81537,"journal":{"name":"International family planning perspectives","volume":"21 1","pages":"4463108"},"PeriodicalIF":0.0000,"publicationDate":"2022-10-15","publicationTypes":"Journal Article","fieldsOfStudy":null,"isOpenAccess":false,"openAccessPdf":"https://www.ncbi.nlm.nih.gov/pmc/articles/PMC9588356/pdf/","citationCount":"0","resultStr":"{\"title\":\"Danlou Tablet May Alleviate Vascular Injury Caused by Chronic Intermittent Hypoxia through Regulating FIH-1, HIF-1, and Angptl4.\",\"authors\":\"Yi Rong, Qian Wu, Jingjing Tang, Zhiguo Liu, Qianyu Lv, Xuejiao Ye, Yu Dong, Yuebo Zhang, Guangxi Li, Shihan Wang\",\"doi\":\"10.1155/2022/4463108\",\"DOIUrl\":null,\"url\":null,\"abstract\":\"<p><strong>Background: </strong>Danlou tablet (DLT), the traditional Chinese medicine has been commonly used for dyslipidemia, atherosclerosis, and coronary heart disease. Whether it was effective against vascular injury caused by CIH has remained unknown. The aim of the current study was to observe the effects of DLT on chronic intermittent hypoxia (CIH)-induced vascular injury via regulation of blood lipids and to explore potential mechanisms.</p><p><strong>Methods: </strong>Sixteen 12-week-old male ApoE<sup>-/-</sup> mice were randomly divided into four groups. The sham group was exposed to normal room air, whereas the other three groups were exposed to CIH. Mice in the CIH + normal saline (NS) group were gavaged with NS. Mice in the CIH + Angptl4-ab group were intraperitoneally injected with Angptl4-antibody. Mice in the CIH + DLT group were gavaged with DLT. After four weeks of intervention, serum lipid concentrations, and serum lipoprotein lipase (LPL) activity were detected. The changes in atherosclerosis in vascular tissue were detected by hematoxylin and eosin (H&E) staining. Quantitative real-time polymerase chain reaction (qRT-PCR) and Western blot analysis were applied to detect the expression levels of hypoxia-induciblefactor-1 (HIF-1), factor-inhibiting HIF-1 (FIH-1), angiopoietin-like 4 (Angptl4), and LPL in different tissues.</p><p><strong>Results: </strong>CIH exposure increases serum lipid levels, decreases serum LPL activity, and exacerbates atherosclerosis. Both Angptl4-ab and DLT treatment reversed the changes in lipid concentration, LPL activity, and atherosclerosis caused by CIH. In the epididymal fat pad, CIH exposure decreased the expression of FIH-1 and increased the expression of HIF-1, whereas DLT treatment increased the expression of FIH-1 and LPL and inhibited the expression of HIF-1 and Angptl4. In heart tissue, the expression levels of LPL and Angptl4 were not affected by modeling or treatment.</p><p><strong>Conclusions: </strong>DLT improved vascular damage by improving the increase in blood lipids induced by CIH, potentially by upregulating FIH-1 and downregulating HIF-1 and Angptl4 in adipose tissue. Therefore, DLT may be a promising agent for the prevention and treatment of CIH-induced vascular injury.</p>\",\"PeriodicalId\":81537,\"journal\":{\"name\":\"International family planning perspectives\",\"volume\":\"21 1\",\"pages\":\"4463108\"},\"PeriodicalIF\":0.0000,\"publicationDate\":\"2022-10-15\",\"publicationTypes\":\"Journal Article\",\"fieldsOfStudy\":null,\"isOpenAccess\":false,\"openAccessPdf\":\"https://www.ncbi.nlm.nih.gov/pmc/articles/PMC9588356/pdf/\",\"citationCount\":\"0\",\"resultStr\":null,\"platform\":\"Semanticscholar\",\"paperid\":null,\"PeriodicalName\":\"International family planning perspectives\",\"FirstCategoryId\":\"3\",\"ListUrlMain\":\"https://doi.org/10.1155/2022/4463108\",\"RegionNum\":0,\"RegionCategory\":null,\"ArticlePicture\":[],\"TitleCN\":null,\"AbstractTextCN\":null,\"PMCID\":null,\"EPubDate\":\"2022/1/1 0:00:00\",\"PubModel\":\"eCollection\",\"JCR\":\"\",\"JCRName\":\"\",\"Score\":null,\"Total\":0}","platform":"Semanticscholar","paperid":null,"PeriodicalName":"International family planning perspectives","FirstCategoryId":"3","ListUrlMain":"https://doi.org/10.1155/2022/4463108","RegionNum":0,"RegionCategory":null,"ArticlePicture":[],"TitleCN":null,"AbstractTextCN":null,"PMCID":null,"EPubDate":"2022/1/1 0:00:00","PubModel":"eCollection","JCR":"","JCRName":"","Score":null,"Total":0}
引用次数: 0

摘要

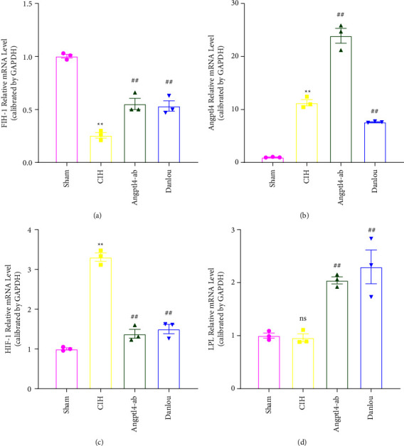
背景:丹络片(DLT)是治疗血脂异常、动脉粥样硬化和冠心病的常用中药。但它对 CIH 引起的血管损伤是否有效仍是未知数。本研究旨在观察滴丸通过调节血脂对慢性间歇性缺氧(CIH)诱导的血管损伤的影响,并探讨其潜在机制:16只12周大的雄性载脂蛋白E-/-小鼠被随机分为4组。假组暴露于正常室内空气,而其他三组暴露于 CIH。CIH+生理盐水(NS)组小鼠灌胃NS。CIH + Angptl4-ab 组小鼠腹腔注射 Angptl4 抗体。CIH + DLT组小鼠灌胃DLT。干预四周后,检测血清脂质浓度和血清脂蛋白脂酶(LPL)活性。通过苏木精和伊红(H&E)染色检测血管组织中动脉粥样硬化的变化。应用定量实时聚合酶链反应(qRT-PCR)和 Western 印迹分析检测不同组织中缺氧诱导因子-1(HIF-1)、抑制 HIF-1 的因子(FIH-1)、血管生成素样 4(Angptl4)和 LPL 的表达水平:结果:暴露于 CIH 会增加血清脂质水平、降低血清 LPL 活性并加剧动脉粥样硬化。Angptl4-ab和DLT治疗均可逆转CIH引起的血脂浓度、LPL活性和动脉粥样硬化的变化。在附睾脂肪垫中,CIH暴露降低了FIH-1的表达,增加了HIF-1的表达,而DLT治疗增加了FIH-1和LPL的表达,抑制了HIF-1和Angptl4的表达。在心脏组织中,LPL和Angptl4的表达水平不受模型或治疗的影响:结论:DLT通过改善CIH诱导的血脂升高来改善血管损伤,可能是通过上调FIH-1和下调脂肪组织中的HIF-1和Angptl4。因此,DLT可能是预防和治疗CIH诱导的血管损伤的一种有前途的药物。
本文章由计算机程序翻译,如有差异,请以英文原文为准。

Danlou Tablet May Alleviate Vascular Injury Caused by Chronic Intermittent Hypoxia through Regulating FIH-1, HIF-1, and Angptl4.

Danlou Tablet May Alleviate Vascular Injury Caused by Chronic Intermittent Hypoxia through Regulating FIH-1, HIF-1, and Angptl4.

Danlou Tablet May Alleviate Vascular Injury Caused by Chronic Intermittent Hypoxia through Regulating FIH-1, HIF-1, and Angptl4.

Danlou Tablet May Alleviate Vascular Injury Caused by Chronic Intermittent Hypoxia through Regulating FIH-1, HIF-1, and Angptl4.

Background: Danlou tablet (DLT), the traditional Chinese medicine has been commonly used for dyslipidemia, atherosclerosis, and coronary heart disease. Whether it was effective against vascular injury caused by CIH has remained unknown. The aim of the current study was to observe the effects of DLT on chronic intermittent hypoxia (CIH)-induced vascular injury via regulation of blood lipids and to explore potential mechanisms.

Methods: Sixteen 12-week-old male ApoE-/- mice were randomly divided into four groups. The sham group was exposed to normal room air, whereas the other three groups were exposed to CIH. Mice in the CIH + normal saline (NS) group were gavaged with NS. Mice in the CIH + Angptl4-ab group were intraperitoneally injected with Angptl4-antibody. Mice in the CIH + DLT group were gavaged with DLT. After four weeks of intervention, serum lipid concentrations, and serum lipoprotein lipase (LPL) activity were detected. The changes in atherosclerosis in vascular tissue were detected by hematoxylin and eosin (H&E) staining. Quantitative real-time polymerase chain reaction (qRT-PCR) and Western blot analysis were applied to detect the expression levels of hypoxia-induciblefactor-1 (HIF-1), factor-inhibiting HIF-1 (FIH-1), angiopoietin-like 4 (Angptl4), and LPL in different tissues.

Results: CIH exposure increases serum lipid levels, decreases serum LPL activity, and exacerbates atherosclerosis. Both Angptl4-ab and DLT treatment reversed the changes in lipid concentration, LPL activity, and atherosclerosis caused by CIH. In the epididymal fat pad, CIH exposure decreased the expression of FIH-1 and increased the expression of HIF-1, whereas DLT treatment increased the expression of FIH-1 and LPL and inhibited the expression of HIF-1 and Angptl4. In heart tissue, the expression levels of LPL and Angptl4 were not affected by modeling or treatment.

Conclusions: DLT improved vascular damage by improving the increase in blood lipids induced by CIH, potentially by upregulating FIH-1 and downregulating HIF-1 and Angptl4 in adipose tissue. Therefore, DLT may be a promising agent for the prevention and treatment of CIH-induced vascular injury.

求助全文
通过发布文献求助,成功后即可免费获取论文全文。 去求助
来源期刊
自引率
0.00%
发文量
0
×
引用
GB/T 7714-2015
复制
MLA
复制
APA
复制
导出至
BibTeX EndNote RefMan NoteFirst NoteExpress
×
提示
您的信息不完整,为了账户安全,请先补充。
现在去补充
×
提示
您因"违规操作"
具体请查看互助需知
我知道了
×
提示
确定
请完成安全验证×
copy
已复制链接
快去分享给好友吧!
我知道了
右上角分享
点击右上角分享
0
联系我们:info@booksci.cn Book学术提供免费学术资源搜索服务,方便国内外学者检索中英文文献。致力于提供最便捷和优质的服务体验。 Copyright © 2023 布克学术 All rights reserved.
京ICP备2023020795号-1
ghs 京公网安备 11010802042870号
Book学术文献互助
Book学术文献互助群
群 号:604180095
Book学术官方微信