炎症生物标志物在预测狼疮性肾炎活动性方面的意义。

IF 0.8 1区 历史学 0 CLASSICS
Violeta Rabrenović, Milica Petrović, Milorad Rabrenović, Dejan Pilčević, Nemanja Rančić
{"title":"炎症生物标志物在预测狼疮性肾炎活动性方面的意义。","authors":"Violeta Rabrenović, Milica Petrović, Milorad Rabrenović, Dejan Pilčević, Nemanja Rančić","doi":"10.5937/jomb0-43457","DOIUrl":null,"url":null,"abstract":"<p><strong>Background: </strong>Lupus nephritis (LN) is one of the most severe manifestations of systemic lupus erythematosus (SLE). There are increased studies examining the role of different markers that would facilitate diagnosis, LN activity monitoring, relapse occurrence, and the right time to introduce maintenance therapy. We aimed to examine the importance of determining the neutrophil/lymphocyte ratio (NLR), platelet/lymphocyte ratio (PLR), systemic immuneinflammatory index (SII) and systemic inflammatory response index (SIRI) in LN, comparing their significance with other standard parameters of active disease.</p><p><strong>Methods: </strong>The clinical examination included 66 patients (34 with active and 32 with LN in remission) and 23 healthy controls. The investigated parameters were CRP, CBC, creatinine, albumin, GFR, C3, C4, ANA, anti-ds DNA Ab, in urine: sediment analysis, SLEDAI/r, proteinuria 24h and Up/cre. We determined the derived markers: NLR, PLR, SIRI, and SII and their correlation with other parameters of active disease.</p>","PeriodicalId":51654,"journal":{"name":"JOURNAL OF ROMAN STUDIES","volume":"92 1","pages":"116-125"},"PeriodicalIF":0.8000,"publicationDate":"2024-01-25","publicationTypes":"Journal Article","fieldsOfStudy":null,"isOpenAccess":false,"openAccessPdf":"https://www.ncbi.nlm.nih.gov/pmc/articles/PMC10943464/pdf/","citationCount":"0","resultStr":"{\"title\":\"The significance of biomarkers of inflammation in predicting the activity of Lupus nephritis.\",\"authors\":\"Violeta Rabrenović, Milica Petrović, Milorad Rabrenović, Dejan Pilčević, Nemanja Rančić\",\"doi\":\"10.5937/jomb0-43457\",\"DOIUrl\":null,\"url\":null,\"abstract\":\"<p><strong>Background: </strong>Lupus nephritis (LN) is one of the most severe manifestations of systemic lupus erythematosus (SLE). There are increased studies examining the role of different markers that would facilitate diagnosis, LN activity monitoring, relapse occurrence, and the right time to introduce maintenance therapy. We aimed to examine the importance of determining the neutrophil/lymphocyte ratio (NLR), platelet/lymphocyte ratio (PLR), systemic immuneinflammatory index (SII) and systemic inflammatory response index (SIRI) in LN, comparing their significance with other standard parameters of active disease.</p><p><strong>Methods: </strong>The clinical examination included 66 patients (34 with active and 32 with LN in remission) and 23 healthy controls. The investigated parameters were CRP, CBC, creatinine, albumin, GFR, C3, C4, ANA, anti-ds DNA Ab, in urine: sediment analysis, SLEDAI/r, proteinuria 24h and Up/cre. We determined the derived markers: NLR, PLR, SIRI, and SII and their correlation with other parameters of active disease.</p>\",\"PeriodicalId\":51654,\"journal\":{\"name\":\"JOURNAL OF ROMAN STUDIES\",\"volume\":\"92 1\",\"pages\":\"116-125\"},\"PeriodicalIF\":0.8000,\"publicationDate\":\"2024-01-25\",\"publicationTypes\":\"Journal Article\",\"fieldsOfStudy\":null,\"isOpenAccess\":false,\"openAccessPdf\":\"https://www.ncbi.nlm.nih.gov/pmc/articles/PMC10943464/pdf/\",\"citationCount\":\"0\",\"resultStr\":null,\"platform\":\"Semanticscholar\",\"paperid\":null,\"PeriodicalName\":\"JOURNAL OF ROMAN STUDIES\",\"FirstCategoryId\":\"3\",\"ListUrlMain\":\"https://doi.org/10.5937/jomb0-43457\",\"RegionNum\":1,\"RegionCategory\":\"历史学\",\"ArticlePicture\":[],\"TitleCN\":null,\"AbstractTextCN\":null,\"PMCID\":null,\"EPubDate\":\"\",\"PubModel\":\"\",\"JCR\":\"0\",\"JCRName\":\"CLASSICS\",\"Score\":null,\"Total\":0}","platform":"Semanticscholar","paperid":null,"PeriodicalName":"JOURNAL OF ROMAN STUDIES","FirstCategoryId":"3","ListUrlMain":"https://doi.org/10.5937/jomb0-43457","RegionNum":1,"RegionCategory":"历史学","ArticlePicture":[],"TitleCN":null,"AbstractTextCN":null,"PMCID":null,"EPubDate":"","PubModel":"","JCR":"0","JCRName":"CLASSICS","Score":null,"Total":0}
引用次数: 0

摘要

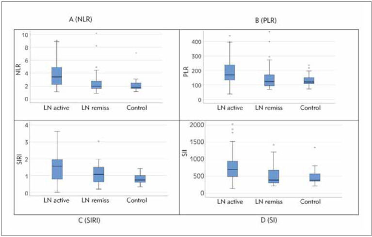
背景:狼疮性肾炎(LN)是系统性红斑狼疮(SLE)最严重的表现之一。目前有越来越多的研究在探讨不同标记物的作用,这些标记物有助于诊断、LN活动监测、复发发生以及采用维持治疗的正确时机。我们旨在研究确定中性粒细胞/淋巴细胞比值(NLR)、血小板/淋巴细胞比值(PLR)、全身免疫炎症指数(SII)和全身炎症反应指数(SIRI)在 LN 中的重要性,并比较它们与其他活动性疾病标准参数的意义:临床检查包括 66 名患者(34 名活动期 LN 患者和 32 名缓解期 LN 患者)和 23 名健康对照组。检查指标包括 CRP、CBC、肌酐、白蛋白、GFR、C3、C4、ANA、抗ds DNA Ab,尿液指标包括沉淀物分析、SLEDAI/r、24 小时蛋白尿和 Up/cre。我们还测定了衍生标记物:NLR、PLR、SIRI 和 SII,以及它们与其他活动性疾病参数的相关性。
本文章由计算机程序翻译,如有差异,请以英文原文为准。

The significance of biomarkers of inflammation in predicting the activity of Lupus nephritis.

The significance of biomarkers of inflammation in predicting the activity of Lupus nephritis.

The significance of biomarkers of inflammation in predicting the activity of Lupus nephritis.

Background: Lupus nephritis (LN) is one of the most severe manifestations of systemic lupus erythematosus (SLE). There are increased studies examining the role of different markers that would facilitate diagnosis, LN activity monitoring, relapse occurrence, and the right time to introduce maintenance therapy. We aimed to examine the importance of determining the neutrophil/lymphocyte ratio (NLR), platelet/lymphocyte ratio (PLR), systemic immuneinflammatory index (SII) and systemic inflammatory response index (SIRI) in LN, comparing their significance with other standard parameters of active disease.

Methods: The clinical examination included 66 patients (34 with active and 32 with LN in remission) and 23 healthy controls. The investigated parameters were CRP, CBC, creatinine, albumin, GFR, C3, C4, ANA, anti-ds DNA Ab, in urine: sediment analysis, SLEDAI/r, proteinuria 24h and Up/cre. We determined the derived markers: NLR, PLR, SIRI, and SII and their correlation with other parameters of active disease.

求助全文
通过发布文献求助,成功后即可免费获取论文全文。 去求助
来源期刊
CiteScore
1.10
自引率
22.20%
发文量
94
期刊介绍: The Journal of Roman Studies (JRS) has appeared annually for a century, and is widely recognised as the premier UK journal in its field. Peer-reviewed papers on Roman history and Latin literature form the larger part of each issue. Papers on art history and archaeology are also published. The Journal regularly includes major review articles and archaeological surveys, along with one of the widest selections of reviews of recent publications in all scholarly languages. The journal seeks to publish articles with wide implications for our understanding of the Roman world. JRS papers have stimulated debates in fields as diverse as Roman democracy, the scale of the Roman economy, the demographic implications of slavery, and the materiality of the book.
×
引用
GB/T 7714-2015
复制
MLA
复制
APA
复制
导出至
BibTeX EndNote RefMan NoteFirst NoteExpress
×
提示
您的信息不完整,为了账户安全,请先补充。
现在去补充
×
提示
您因"违规操作"
具体请查看互助需知
我知道了
×
提示
确定
请完成安全验证×
copy
已复制链接
快去分享给好友吧!
我知道了
右上角分享
点击右上角分享
0
联系我们:info@booksci.cn Book学术提供免费学术资源搜索服务,方便国内外学者检索中英文文献。致力于提供最便捷和优质的服务体验。 Copyright © 2023 布克学术 All rights reserved.
京ICP备2023020795号-1
ghs 京公网安备 11010802042870号
Book学术文献互助
Book学术文献互助群
群 号:604180095
Book学术官方微信