稳定型慢性肾病患者肾功能与肌钙蛋白 T 之间的长期关系

Emergency Pub Date : 2019-11-05 Epub Date: 2019-10-30 DOI:10.1161/JAHA.119.013091
Nicholas C Chesnaye, Karolina Szummer, Peter Bárány, Olof Heimbürger, Hasan Magin, Tora Almquist, Fredrik Uhlin, Friedo W Dekker, Christoph Wanner, Kitty J Jager, Marie Evans
{"title":"稳定型慢性肾病患者肾功能与肌钙蛋白 T 之间的长期关系","authors":"Nicholas C Chesnaye, Karolina Szummer, Peter Bárány, Olof Heimbürger, Hasan Magin, Tora Almquist, Fredrik Uhlin, Friedo W Dekker, Christoph Wanner, Kitty J Jager, Marie Evans","doi":"10.1161/JAHA.119.013091","DOIUrl":null,"url":null,"abstract":"<p><p>Background People with reduced glomerular filtration rate (GFR) often have elevated cardiac troponin T (cTnT) levels. It remains unclear how cTnT levels develop over time in those with chronic kidney disease (CKD). The aim of this study was to prospectively study the association between cTnT and GFR over time in older advanced-stage CKD patients not on dialysis. Methods and Results The EQUAL (European Quality Study) study is an observational prospective cohort study in stage 4 to 5 CKD patients aged ≥65 years not on dialysis (incident estimated GFR, <20 mL/min/1.73 m²). The EQUAL cohort used for the purpose of this study includes 171 patients followed in Sweden between April 2012 and December 2018. We used linear mixed models, adjusted for important groups of confounders, to investigate the effect of both measured GFR and estimated GFR on high-sensitivity cTnT (hs-cTnT) trajectory over 4 years. Almost all patients had at least 1 hs-cTnT measurement elevated above the 99th percentile of the general reference population (≤14 ng/L). On average, hs-cTnT increased by 16%/year (95% CI, 13-19; <i>P</i><0.0001). Each 15 mL/min/1.73 m<sup>2</sup> lower mean estimated GFR was associated with a 23% (95% CI, 14-31; <i>P</i><0.0001) higher baseline hs-cTnT and 9% (95% CI, 5-13%; <i>P</i><0.0001) steeper increase in hs-cTnT. The effect of estimated GFR on hs-cTnT trajectory was somewhat lower than a previous myocardial infarction (15%), but higher than presence of diabetes mellitus (4%) and male sex (5%). Conclusions In CKD patients, hs-cTnT increases over time as renal function decreases. Lower CKD stage (each 15 mL/min/1.73 m<sup>2</sup> lower) is independently associated with a steeper hs-cTnT increase over time in the same range as other established cardiovascular risk factors.</p>","PeriodicalId":11681,"journal":{"name":"Emergency","volume":"4 1","pages":"e013091"},"PeriodicalIF":0.0000,"publicationDate":"2019-11-05","publicationTypes":"Journal Article","fieldsOfStudy":null,"isOpenAccess":false,"openAccessPdf":"https://www.ncbi.nlm.nih.gov/pmc/articles/PMC6898818/pdf/","citationCount":"0","resultStr":"{\"title\":\"Association Between Renal Function and Troponin T Over Time in Stable Chronic Kidney Disease Patients.\",\"authors\":\"Nicholas C Chesnaye, Karolina Szummer, Peter Bárány, Olof Heimbürger, Hasan Magin, Tora Almquist, Fredrik Uhlin, Friedo W Dekker, Christoph Wanner, Kitty J Jager, Marie Evans\",\"doi\":\"10.1161/JAHA.119.013091\",\"DOIUrl\":null,\"url\":null,\"abstract\":\"<p><p>Background People with reduced glomerular filtration rate (GFR) often have elevated cardiac troponin T (cTnT) levels. It remains unclear how cTnT levels develop over time in those with chronic kidney disease (CKD). The aim of this study was to prospectively study the association between cTnT and GFR over time in older advanced-stage CKD patients not on dialysis. Methods and Results The EQUAL (European Quality Study) study is an observational prospective cohort study in stage 4 to 5 CKD patients aged ≥65 years not on dialysis (incident estimated GFR, <20 mL/min/1.73 m²). The EQUAL cohort used for the purpose of this study includes 171 patients followed in Sweden between April 2012 and December 2018. We used linear mixed models, adjusted for important groups of confounders, to investigate the effect of both measured GFR and estimated GFR on high-sensitivity cTnT (hs-cTnT) trajectory over 4 years. Almost all patients had at least 1 hs-cTnT measurement elevated above the 99th percentile of the general reference population (≤14 ng/L). On average, hs-cTnT increased by 16%/year (95% CI, 13-19; <i>P</i><0.0001). Each 15 mL/min/1.73 m<sup>2</sup> lower mean estimated GFR was associated with a 23% (95% CI, 14-31; <i>P</i><0.0001) higher baseline hs-cTnT and 9% (95% CI, 5-13%; <i>P</i><0.0001) steeper increase in hs-cTnT. The effect of estimated GFR on hs-cTnT trajectory was somewhat lower than a previous myocardial infarction (15%), but higher than presence of diabetes mellitus (4%) and male sex (5%). Conclusions In CKD patients, hs-cTnT increases over time as renal function decreases. Lower CKD stage (each 15 mL/min/1.73 m<sup>2</sup> lower) is independently associated with a steeper hs-cTnT increase over time in the same range as other established cardiovascular risk factors.</p>\",\"PeriodicalId\":11681,\"journal\":{\"name\":\"Emergency\",\"volume\":\"4 1\",\"pages\":\"e013091\"},\"PeriodicalIF\":0.0000,\"publicationDate\":\"2019-11-05\",\"publicationTypes\":\"Journal Article\",\"fieldsOfStudy\":null,\"isOpenAccess\":false,\"openAccessPdf\":\"https://www.ncbi.nlm.nih.gov/pmc/articles/PMC6898818/pdf/\",\"citationCount\":\"0\",\"resultStr\":null,\"platform\":\"Semanticscholar\",\"paperid\":null,\"PeriodicalName\":\"Emergency\",\"FirstCategoryId\":\"1085\",\"ListUrlMain\":\"https://doi.org/10.1161/JAHA.119.013091\",\"RegionNum\":0,\"RegionCategory\":null,\"ArticlePicture\":[],\"TitleCN\":null,\"AbstractTextCN\":null,\"PMCID\":null,\"EPubDate\":\"2019/10/30 0:00:00\",\"PubModel\":\"Epub\",\"JCR\":\"\",\"JCRName\":\"\",\"Score\":null,\"Total\":0}","platform":"Semanticscholar","paperid":null,"PeriodicalName":"Emergency","FirstCategoryId":"1085","ListUrlMain":"https://doi.org/10.1161/JAHA.119.013091","RegionNum":0,"RegionCategory":null,"ArticlePicture":[],"TitleCN":null,"AbstractTextCN":null,"PMCID":null,"EPubDate":"2019/10/30 0:00:00","PubModel":"Epub","JCR":"","JCRName":"","Score":null,"Total":0}
引用次数: 0

摘要

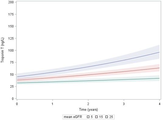
背景 肾小球滤过率(GFR)降低的人通常会出现心肌肌钙蛋白 T(cTnT)水平升高。目前仍不清楚慢性肾脏病(CKD)患者的肌钙蛋白 T 水平是如何随时间变化的。本研究旨在前瞻性地研究未接受透析的老年晚期 CKD 患者随着时间推移 cTnT 与 GFR 之间的关系。方法和结果 EQUAL(欧洲质量研究)研究是一项观察性前瞻性队列研究,研究对象是年龄≥65 岁、未接受透析的 4 至 5 期 CKD 患者(事件估计 GFR,P2 较低的平均估计 GFR 与 23% (95% CI,14-31;PP2 较低)的 hs-cTnT 随时间的陡峭增加有关,其范围与其他已确定的心血管风险因素相同。
本文章由计算机程序翻译,如有差异,请以英文原文为准。

Association Between Renal Function and Troponin T Over Time in Stable Chronic Kidney Disease Patients.

Association Between Renal Function and Troponin T Over Time in Stable Chronic Kidney Disease Patients.

Association Between Renal Function and Troponin T Over Time in Stable Chronic Kidney Disease Patients.

Background People with reduced glomerular filtration rate (GFR) often have elevated cardiac troponin T (cTnT) levels. It remains unclear how cTnT levels develop over time in those with chronic kidney disease (CKD). The aim of this study was to prospectively study the association between cTnT and GFR over time in older advanced-stage CKD patients not on dialysis. Methods and Results The EQUAL (European Quality Study) study is an observational prospective cohort study in stage 4 to 5 CKD patients aged ≥65 years not on dialysis (incident estimated GFR, <20 mL/min/1.73 m²). The EQUAL cohort used for the purpose of this study includes 171 patients followed in Sweden between April 2012 and December 2018. We used linear mixed models, adjusted for important groups of confounders, to investigate the effect of both measured GFR and estimated GFR on high-sensitivity cTnT (hs-cTnT) trajectory over 4 years. Almost all patients had at least 1 hs-cTnT measurement elevated above the 99th percentile of the general reference population (≤14 ng/L). On average, hs-cTnT increased by 16%/year (95% CI, 13-19; P<0.0001). Each 15 mL/min/1.73 m2 lower mean estimated GFR was associated with a 23% (95% CI, 14-31; P<0.0001) higher baseline hs-cTnT and 9% (95% CI, 5-13%; P<0.0001) steeper increase in hs-cTnT. The effect of estimated GFR on hs-cTnT trajectory was somewhat lower than a previous myocardial infarction (15%), but higher than presence of diabetes mellitus (4%) and male sex (5%). Conclusions In CKD patients, hs-cTnT increases over time as renal function decreases. Lower CKD stage (each 15 mL/min/1.73 m2 lower) is independently associated with a steeper hs-cTnT increase over time in the same range as other established cardiovascular risk factors.

求助全文
通过发布文献求助,成功后即可免费获取论文全文。 去求助
来源期刊
Emergency
Emergency EMERGENCY MEDICINE-
自引率
0.00%
发文量
1
审稿时长
8 weeks
期刊介绍: "Archives of Academic Emergency Medicine" is an international, Open Access, peer-reviewed, continuously published journal dedicated to improving the quality of care and increasing the knowledge in the field of emergency medicine by publishing high quality articles concerning emergency medicine and related disciplines. All accepted articles will be published immediately in order to increase its visibility and possibility of citation. The journal publishes articles on critical care, disaster and trauma management, environmental diseases, toxicology, pediatric emergency medicine, emergency medical services, emergency nursing, health policy and ethics, and other related topics. The journal supports the following types of articles: -Original/Research article -Systematic review/Meta-analysis -Brief report -Case-report -Letter to the editor -Photo quiz
×
引用
GB/T 7714-2015
复制
MLA
复制
APA
复制
导出至
BibTeX EndNote RefMan NoteFirst NoteExpress
×
提示
您的信息不完整,为了账户安全,请先补充。
现在去补充
×
提示
您因"违规操作"
具体请查看互助需知
我知道了
×
提示
确定
请完成安全验证×
copy
已复制链接
快去分享给好友吧!
我知道了
右上角分享
点击右上角分享
0
联系我们:info@booksci.cn Book学术提供免费学术资源搜索服务,方便国内外学者检索中英文文献。致力于提供最便捷和优质的服务体验。 Copyright © 2023 布克学术 All rights reserved.
京ICP备2023020795号-1
ghs 京公网安备 11010802042870号
Book学术文献互助
Book学术文献互助群
群 号:604180095
Book学术官方微信