试验中合并症与社区的相关性:一项个体水平的参与者数据荟萃分析。

IF 3
Journal of multimorbidity and comorbidity Pub Date : 2023-11-09 eCollection Date: 2023-01-01 DOI:10.1177/26335565231213571
Jamie Crowther, Elaine W Butterly, Laurie J Hannigan, Bruce Guthrie, Sarah H Wild, Frances S Mair, Peter Hanlon, Fergus J Chadwick, David A McAllister
{"title":"试验中合并症与社区的相关性:一项个体水平的参与者数据荟萃分析。","authors":"Jamie Crowther, Elaine W Butterly, Laurie J Hannigan, Bruce Guthrie, Sarah H Wild, Frances S Mair, Peter Hanlon, Fergus J Chadwick, David A McAllister","doi":"10.1177/26335565231213571","DOIUrl":null,"url":null,"abstract":"<p><strong>Background: </strong>People with comorbidities are under-represented in randomised controlled trials, and it is unknown whether patterns of comorbidity are similar in trials and the community.</p><p><strong>Methods: </strong>Individual-level participant data were obtained for 83 clinical trials (54,688 participants) for 16 index conditions from two trial repositories: Yale University Open Data Access (YODA) and the Centre for Global Clinical Research Data (Vivli). Community data (860,177 individuals) were extracted from the Secure Anonymised Information Linkage (SAIL) databank for the same index conditions. Comorbidities were defined using concomitant medications. For each index condition, we estimated correlations between comorbidities separately in trials and community data. For the six commonest comorbidities we estimated all pairwise correlations using Bayesian multivariate probit models, conditioning on age and sex. Correlation estimates from trials with the same index condition were combined into a single estimate. We then compared the trial and community estimates for each index condition.</p><p><strong>Results: </strong>Despite a higher prevalence of comorbidities in the community than in trials, the correlations between comorbidities were mostly similar in both settings. On comparing correlations between the community and trials, 21% of correlations were stronger in the community, 10% were stronger in the trials and 68% were similar in both. In the community, 5% of correlations were negative, 21% were null, 56% were weakly positive and 18% were strongly positive. Equivalent results for the trials were 11%, 33%, 45% and 10% respectively.</p><p><strong>Conclusions: </strong>Comorbidity correlations are generally similar in both the trials and community, providing some evidence for the reporting of comorbidity-specific findings from clinical trials.</p>","PeriodicalId":73843,"journal":{"name":"Journal of multimorbidity and comorbidity","volume":"13 ","pages":"26335565231213571"},"PeriodicalIF":3.0000,"publicationDate":"2023-11-09","publicationTypes":"Journal Article","fieldsOfStudy":null,"isOpenAccess":false,"openAccessPdf":"https://www.ncbi.nlm.nih.gov/pmc/articles/PMC10637135/pdf/","citationCount":"0","resultStr":"{\"title\":\"Correlations between comorbidities in trials and the community: An individual-level participant data meta-analysis.\",\"authors\":\"Jamie Crowther, Elaine W Butterly, Laurie J Hannigan, Bruce Guthrie, Sarah H Wild, Frances S Mair, Peter Hanlon, Fergus J Chadwick, David A McAllister\",\"doi\":\"10.1177/26335565231213571\",\"DOIUrl\":null,\"url\":null,\"abstract\":\"<p><strong>Background: </strong>People with comorbidities are under-represented in randomised controlled trials, and it is unknown whether patterns of comorbidity are similar in trials and the community.</p><p><strong>Methods: </strong>Individual-level participant data were obtained for 83 clinical trials (54,688 participants) for 16 index conditions from two trial repositories: Yale University Open Data Access (YODA) and the Centre for Global Clinical Research Data (Vivli). Community data (860,177 individuals) were extracted from the Secure Anonymised Information Linkage (SAIL) databank for the same index conditions. Comorbidities were defined using concomitant medications. For each index condition, we estimated correlations between comorbidities separately in trials and community data. For the six commonest comorbidities we estimated all pairwise correlations using Bayesian multivariate probit models, conditioning on age and sex. Correlation estimates from trials with the same index condition were combined into a single estimate. We then compared the trial and community estimates for each index condition.</p><p><strong>Results: </strong>Despite a higher prevalence of comorbidities in the community than in trials, the correlations between comorbidities were mostly similar in both settings. On comparing correlations between the community and trials, 21% of correlations were stronger in the community, 10% were stronger in the trials and 68% were similar in both. In the community, 5% of correlations were negative, 21% were null, 56% were weakly positive and 18% were strongly positive. Equivalent results for the trials were 11%, 33%, 45% and 10% respectively.</p><p><strong>Conclusions: </strong>Comorbidity correlations are generally similar in both the trials and community, providing some evidence for the reporting of comorbidity-specific findings from clinical trials.</p>\",\"PeriodicalId\":73843,\"journal\":{\"name\":\"Journal of multimorbidity and comorbidity\",\"volume\":\"13 \",\"pages\":\"26335565231213571\"},\"PeriodicalIF\":3.0000,\"publicationDate\":\"2023-11-09\",\"publicationTypes\":\"Journal Article\",\"fieldsOfStudy\":null,\"isOpenAccess\":false,\"openAccessPdf\":\"https://www.ncbi.nlm.nih.gov/pmc/articles/PMC10637135/pdf/\",\"citationCount\":\"0\",\"resultStr\":null,\"platform\":\"Semanticscholar\",\"paperid\":null,\"PeriodicalName\":\"Journal of multimorbidity and comorbidity\",\"FirstCategoryId\":\"1085\",\"ListUrlMain\":\"https://doi.org/10.1177/26335565231213571\",\"RegionNum\":0,\"RegionCategory\":null,\"ArticlePicture\":[],\"TitleCN\":null,\"AbstractTextCN\":null,\"PMCID\":null,\"EPubDate\":\"2023/1/1 0:00:00\",\"PubModel\":\"eCollection\",\"JCR\":\"\",\"JCRName\":\"\",\"Score\":null,\"Total\":0}","platform":"Semanticscholar","paperid":null,"PeriodicalName":"Journal of multimorbidity and comorbidity","FirstCategoryId":"1085","ListUrlMain":"https://doi.org/10.1177/26335565231213571","RegionNum":0,"RegionCategory":null,"ArticlePicture":[],"TitleCN":null,"AbstractTextCN":null,"PMCID":null,"EPubDate":"2023/1/1 0:00:00","PubModel":"eCollection","JCR":"","JCRName":"","Score":null,"Total":0}
引用次数: 0

摘要

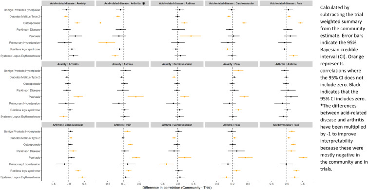
背景:在随机对照试验中,患有合并症的人代表性不足,并且尚不清楚合并症的模式在试验和社区中是否相似。方法:从耶鲁大学开放数据获取(YODA)和全球临床研究数据中心(Vivli)两个试验库中获得16种指标条件下83项临床试验(54,688名参与者)的个体水平参与者数据。在相同的索引条件下,从安全匿名信息链接(SAIL)数据库中提取社区数据(860,177人)。合并症的定义是使用联合用药。对于每个指标条件,我们分别在试验和社区数据中估计了合并症之间的相关性。对于六种最常见的合并症,我们使用贝叶斯多变量概率模型估计所有的两两相关性,以年龄和性别为条件。来自相同指标条件的试验的相关估计合并为一个估计。然后,我们比较了每个指标条件下的试验和社区估计值。结果:尽管社区中合并症的患病率高于试验,但两种情况下合并症之间的相关性基本相似。在比较社区和试验之间的相关性时,21%的相关性在社区中更强,10%的相关性在试验中更强,68%的相关性在两者中相似。在社区中,5%为负相关,21%为零相关,56%为弱正相关,18%为强正相关。试验的等效结果分别为11%、33%、45%和10%。结论:在试验和社区中,合并症的相关性大致相似,为临床试验报告合并症特异性发现提供了一些证据。
本文章由计算机程序翻译,如有差异,请以英文原文为准。

Correlations between comorbidities in trials and the community: An individual-level participant data meta-analysis.

Correlations between comorbidities in trials and the community: An individual-level participant data meta-analysis.

Correlations between comorbidities in trials and the community: An individual-level participant data meta-analysis.

Correlations between comorbidities in trials and the community: An individual-level participant data meta-analysis.

Background: People with comorbidities are under-represented in randomised controlled trials, and it is unknown whether patterns of comorbidity are similar in trials and the community.

Methods: Individual-level participant data were obtained for 83 clinical trials (54,688 participants) for 16 index conditions from two trial repositories: Yale University Open Data Access (YODA) and the Centre for Global Clinical Research Data (Vivli). Community data (860,177 individuals) were extracted from the Secure Anonymised Information Linkage (SAIL) databank for the same index conditions. Comorbidities were defined using concomitant medications. For each index condition, we estimated correlations between comorbidities separately in trials and community data. For the six commonest comorbidities we estimated all pairwise correlations using Bayesian multivariate probit models, conditioning on age and sex. Correlation estimates from trials with the same index condition were combined into a single estimate. We then compared the trial and community estimates for each index condition.

Results: Despite a higher prevalence of comorbidities in the community than in trials, the correlations between comorbidities were mostly similar in both settings. On comparing correlations between the community and trials, 21% of correlations were stronger in the community, 10% were stronger in the trials and 68% were similar in both. In the community, 5% of correlations were negative, 21% were null, 56% were weakly positive and 18% were strongly positive. Equivalent results for the trials were 11%, 33%, 45% and 10% respectively.

Conclusions: Comorbidity correlations are generally similar in both the trials and community, providing some evidence for the reporting of comorbidity-specific findings from clinical trials.

求助全文
通过发布文献求助,成功后即可免费获取论文全文。 去求助
来源期刊
自引率
0.00%
发文量
0
×
引用
GB/T 7714-2015
复制
MLA
复制
APA
复制
导出至
BibTeX EndNote RefMan NoteFirst NoteExpress
×
提示
您的信息不完整,为了账户安全,请先补充。
现在去补充
×
提示
您因"违规操作"
具体请查看互助需知
我知道了
×
提示
确定
请完成安全验证×
copy
已复制链接
快去分享给好友吧!
我知道了
右上角分享
点击右上角分享
0
联系我们:info@booksci.cn Book学术提供免费学术资源搜索服务,方便国内外学者检索中英文文献。致力于提供最便捷和优质的服务体验。 Copyright © 2023 布克学术 All rights reserved.
京ICP备2023020795号-1
ghs 京公网安备 11010802042870号
Book学术文献互助
Book学术文献互助群
群 号:604180095
Book学术官方微信