不同抗高血压药物组合对血压和动脉僵化的影响

IF 0.8 Q3 Agricultural and Biological Sciences
Zaim Jatic, Amira Skopljak, Sevala Hebibovic, Aziz Sukalo, Edhem Rustempasic, Amina Valjevac
{"title":"不同抗高血压药物组合对血压和动脉僵化的影响","authors":"Zaim Jatic, Amira Skopljak, Sevala Hebibovic, Aziz Sukalo, Edhem Rustempasic, Amina Valjevac","doi":"10.5455/medarh.2019.73.157-162","DOIUrl":null,"url":null,"abstract":"<p><strong>Introduction: </strong>Hypertension is significantly contributing to global mortality and morbidity and has been identified as the most important modifiable risk factor for early development of cardiovascular diseases (CVD).</p><p><strong>Aim: </strong>The aim of this study was to investigate the efficacy of different combinations of antihypertensive therapy on blood pressure, arterial stiffness and peripheral resistance in patients with essential hypertension using the brachial oscillometric ambulatory blood pressure monitor.</p><p><strong>Methods: </strong>This study was designed as an observational, prospective, multi centric study conducted in eight primary care centers of the Health Center of Canton Sarajevo during the period of six months. The study included 655 participants, both genders, aged between 30 and 75, who were diagnosed with hypertension according to the ESC/ESH guidelines. Participants were divided into six treatment groups based on the hypertensive drug therapy they were using; lisinopril, losartan or valsartan alone or in combination with hydrochlorothiazide (A, B and C group respectively) or combination of lisinopril, losartan or valsartan with/without hydrochlorothiazide together with amlodipine (D, E and F respectively). The participants were monitored at baseline, after 3 and 6 months (1<sup>st</sup> and 2<sup>nd</sup> follow-up). Brachial oscillometric ambulatory blood pressure monitor was used for measuring systolic (SBP), diastolic (DBP), pulse pressure (PP), pulse wave velocity (PWV) and peripheral resistance (PR).</p><p><strong>Results: </strong>SBP, DPB, PP, and PWV significantly decreased from baseline to 2<sup>nd</sup> follow-up in all treatment groups. The mean reductions in SBP were from -11.7 (95%CI; 9.3- 14.1) to -23.2 (95%CI; 18.3-28.1) mmHg and DBP reductions varied from -5.5 (95%CI; 3.9- 7.1) to -13.4 (95%CI; 7.7-19.1) mmHg. PWV decreased in all treatment groups (from -3.3% to -8.2%). Treatment regiment was not associated with significant differences in SBP, DBP, PP or PWV reductions or their values measured at 2<sup>nd</sup> follow-up. Peripheral resistance significantly decreased only in group C (p=0.011), group D (p=0.009) and group F (p=0.027).</p><p><strong>Conclusion: </strong>These data suggest that lisinopril/lisinopril + hydrochlorothiazide, losartan/losartan + hydrochlorothiazide and valsartan/valsartan + hydrochlorothiazide alone or in combination with amlodipine are equally effective and well tolerated for the reduction of both systolic and diastolic blood pressure and improve arterial stiffness in patients with essential hypertension.</p>","PeriodicalId":20102,"journal":{"name":"Planta Daninha","volume":"22 1","pages":"157-162"},"PeriodicalIF":0.8000,"publicationDate":"2019-06-01","publicationTypes":"Journal Article","fieldsOfStudy":null,"isOpenAccess":false,"openAccessPdf":"https://www.ncbi.nlm.nih.gov/pmc/articles/PMC6657010/pdf/","citationCount":"0","resultStr":"{\"title\":\"Effects of Different Antihypertensive Drug Combinations on Blood Pressure and Arterial Stiffness.\",\"authors\":\"Zaim Jatic, Amira Skopljak, Sevala Hebibovic, Aziz Sukalo, Edhem Rustempasic, Amina Valjevac\",\"doi\":\"10.5455/medarh.2019.73.157-162\",\"DOIUrl\":null,\"url\":null,\"abstract\":\"<p><strong>Introduction: </strong>Hypertension is significantly contributing to global mortality and morbidity and has been identified as the most important modifiable risk factor for early development of cardiovascular diseases (CVD).</p><p><strong>Aim: </strong>The aim of this study was to investigate the efficacy of different combinations of antihypertensive therapy on blood pressure, arterial stiffness and peripheral resistance in patients with essential hypertension using the brachial oscillometric ambulatory blood pressure monitor.</p><p><strong>Methods: </strong>This study was designed as an observational, prospective, multi centric study conducted in eight primary care centers of the Health Center of Canton Sarajevo during the period of six months. The study included 655 participants, both genders, aged between 30 and 75, who were diagnosed with hypertension according to the ESC/ESH guidelines. Participants were divided into six treatment groups based on the hypertensive drug therapy they were using; lisinopril, losartan or valsartan alone or in combination with hydrochlorothiazide (A, B and C group respectively) or combination of lisinopril, losartan or valsartan with/without hydrochlorothiazide together with amlodipine (D, E and F respectively). The participants were monitored at baseline, after 3 and 6 months (1<sup>st</sup> and 2<sup>nd</sup> follow-up). Brachial oscillometric ambulatory blood pressure monitor was used for measuring systolic (SBP), diastolic (DBP), pulse pressure (PP), pulse wave velocity (PWV) and peripheral resistance (PR).</p><p><strong>Results: </strong>SBP, DPB, PP, and PWV significantly decreased from baseline to 2<sup>nd</sup> follow-up in all treatment groups. The mean reductions in SBP were from -11.7 (95%CI; 9.3- 14.1) to -23.2 (95%CI; 18.3-28.1) mmHg and DBP reductions varied from -5.5 (95%CI; 3.9- 7.1) to -13.4 (95%CI; 7.7-19.1) mmHg. PWV decreased in all treatment groups (from -3.3% to -8.2%). Treatment regiment was not associated with significant differences in SBP, DBP, PP or PWV reductions or their values measured at 2<sup>nd</sup> follow-up. Peripheral resistance significantly decreased only in group C (p=0.011), group D (p=0.009) and group F (p=0.027).</p><p><strong>Conclusion: </strong>These data suggest that lisinopril/lisinopril + hydrochlorothiazide, losartan/losartan + hydrochlorothiazide and valsartan/valsartan + hydrochlorothiazide alone or in combination with amlodipine are equally effective and well tolerated for the reduction of both systolic and diastolic blood pressure and improve arterial stiffness in patients with essential hypertension.</p>\",\"PeriodicalId\":20102,\"journal\":{\"name\":\"Planta Daninha\",\"volume\":\"22 1\",\"pages\":\"157-162\"},\"PeriodicalIF\":0.8000,\"publicationDate\":\"2019-06-01\",\"publicationTypes\":\"Journal Article\",\"fieldsOfStudy\":null,\"isOpenAccess\":false,\"openAccessPdf\":\"https://www.ncbi.nlm.nih.gov/pmc/articles/PMC6657010/pdf/\",\"citationCount\":\"0\",\"resultStr\":null,\"platform\":\"Semanticscholar\",\"paperid\":null,\"PeriodicalName\":\"Planta Daninha\",\"FirstCategoryId\":\"1085\",\"ListUrlMain\":\"https://doi.org/10.5455/medarh.2019.73.157-162\",\"RegionNum\":0,\"RegionCategory\":null,\"ArticlePicture\":[],\"TitleCN\":null,\"AbstractTextCN\":null,\"PMCID\":null,\"EPubDate\":\"\",\"PubModel\":\"\",\"JCR\":\"Q3\",\"JCRName\":\"Agricultural and Biological Sciences\",\"Score\":null,\"Total\":0}","platform":"Semanticscholar","paperid":null,"PeriodicalName":"Planta Daninha","FirstCategoryId":"1085","ListUrlMain":"https://doi.org/10.5455/medarh.2019.73.157-162","RegionNum":0,"RegionCategory":null,"ArticlePicture":[],"TitleCN":null,"AbstractTextCN":null,"PMCID":null,"EPubDate":"","PubModel":"","JCR":"Q3","JCRName":"Agricultural and Biological Sciences","Score":null,"Total":0}
引用次数: 0

摘要

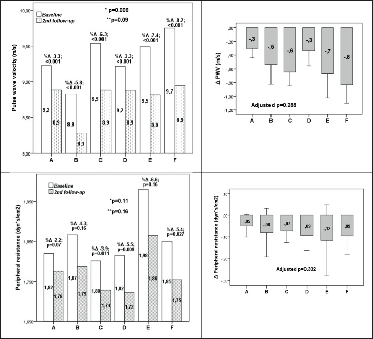
简介:高血压是导致全球死亡率和发病率的重要因素,被认为是心血管疾病(CVD)早期发展的最重要的可改变风险因素:高血压是导致全球死亡率和发病率的重要因素,已被确定为心血管疾病(CVD)早期发展的最重要的可改变风险因素。目的:本研究旨在利用肱动脉示波非卧床血压监测仪调查不同降压疗法组合对原发性高血压患者的血压、动脉僵化和外周阻力的疗效:本研究是一项观察性、前瞻性、多中心研究,在萨拉热窝州保健中心的八个初级保健中心进行,为期六个月。研究对象包括根据ESC/ESH指南确诊为高血压的655名参与者,男女均有,年龄在30至75岁之间。根据参与者使用的高血压药物疗法,他们被分为六个治疗组:单独使用或与氢氯噻嗪联合使用利辛普利、洛沙坦或缬沙坦的治疗组(分别为 A、B 和 C 组),或利辛普利、洛沙坦或缬沙坦与氢氯噻嗪或不与氢氯噻嗪和氨氯地平联合使用的治疗组(分别为 D、E 和 F 组)。参与者在基线、3 个月和 6 个月后(第一次和第二次随访)接受监测。肱动脉示波动态血压计用于测量收缩压(SBP)、舒张压(DBP)、脉压(PP)、脉搏波速度(PWV)和外周阻力(PR):所有治疗组的收缩压、舒张压、脉搏波速度和脉搏波速度从基线到第二次随访均明显下降。SBP 的平均降幅为 -11.7 (95%CI; 9.3- 14.1) 至 -23.2 (95%CI; 18.3-28.1) mmHg,DBP 的降幅为 -5.5 (95%CI; 3.9- 7.1) 至 -13.4 (95%CI; 7.7-19.1) mmHg。所有治疗组的脉搏波速度均有所下降(从-3.3%到-8.2%)。治疗方案与 SBP、DBP、PP 或脉搏波速度的降低或第二次随访时测量的数值的显著差异无关。只有 C 组(p=0.011)、D 组(p=0.009)和 F 组(p=0.027)的外周阻力明显下降:这些数据表明,利辛普利/利辛普利+氢氯噻嗪、洛沙坦/洛沙坦+氢氯噻嗪和缬沙坦/缬沙坦+氢氯噻嗪单独使用或与氨氯地平联合使用对降低原发性高血压患者的收缩压和舒张压以及改善动脉僵化同样有效,且耐受性良好。
本文章由计算机程序翻译,如有差异,请以英文原文为准。

Effects of Different Antihypertensive Drug Combinations on Blood Pressure and Arterial Stiffness.

Effects of Different Antihypertensive Drug Combinations on Blood Pressure and Arterial Stiffness.

Effects of Different Antihypertensive Drug Combinations on Blood Pressure and Arterial Stiffness.

Introduction: Hypertension is significantly contributing to global mortality and morbidity and has been identified as the most important modifiable risk factor for early development of cardiovascular diseases (CVD).

Aim: The aim of this study was to investigate the efficacy of different combinations of antihypertensive therapy on blood pressure, arterial stiffness and peripheral resistance in patients with essential hypertension using the brachial oscillometric ambulatory blood pressure monitor.

Methods: This study was designed as an observational, prospective, multi centric study conducted in eight primary care centers of the Health Center of Canton Sarajevo during the period of six months. The study included 655 participants, both genders, aged between 30 and 75, who were diagnosed with hypertension according to the ESC/ESH guidelines. Participants were divided into six treatment groups based on the hypertensive drug therapy they were using; lisinopril, losartan or valsartan alone or in combination with hydrochlorothiazide (A, B and C group respectively) or combination of lisinopril, losartan or valsartan with/without hydrochlorothiazide together with amlodipine (D, E and F respectively). The participants were monitored at baseline, after 3 and 6 months (1st and 2nd follow-up). Brachial oscillometric ambulatory blood pressure monitor was used for measuring systolic (SBP), diastolic (DBP), pulse pressure (PP), pulse wave velocity (PWV) and peripheral resistance (PR).

Results: SBP, DPB, PP, and PWV significantly decreased from baseline to 2nd follow-up in all treatment groups. The mean reductions in SBP were from -11.7 (95%CI; 9.3- 14.1) to -23.2 (95%CI; 18.3-28.1) mmHg and DBP reductions varied from -5.5 (95%CI; 3.9- 7.1) to -13.4 (95%CI; 7.7-19.1) mmHg. PWV decreased in all treatment groups (from -3.3% to -8.2%). Treatment regiment was not associated with significant differences in SBP, DBP, PP or PWV reductions or their values measured at 2nd follow-up. Peripheral resistance significantly decreased only in group C (p=0.011), group D (p=0.009) and group F (p=0.027).

Conclusion: These data suggest that lisinopril/lisinopril + hydrochlorothiazide, losartan/losartan + hydrochlorothiazide and valsartan/valsartan + hydrochlorothiazide alone or in combination with amlodipine are equally effective and well tolerated for the reduction of both systolic and diastolic blood pressure and improve arterial stiffness in patients with essential hypertension.

求助全文
通过发布文献求助,成功后即可免费获取论文全文。 去求助
来源期刊
Planta Daninha
Planta Daninha Agricultural and Biological Sciences-Plant Science
自引率
0.00%
发文量
0
审稿时长
16 weeks
期刊介绍: Planta Daninha is a scientific journal published by the Brazilian Society of Weed Science (SBCPD - Sociedade Brasileira da Ciência das Plantas Daninhas). Papers submitted for publication must be sent through an electronic system, on http://www.scielo.br/pd. Works may be written in Portuguese, English, or Spanish, and will be accepted after being reviewed and approved by the Editorial Board. Only papers that have not been published or submitted for publication in other media will be accepted. Articles in Portuguese will be translated to English after being properly corrected and authorized by the authors. Planta Daninha has with goal to publish genuine technical-scientific papers and literature reviews from a critical perspective on Biology, weed management, and related topics.
×
引用
GB/T 7714-2015
复制
MLA
复制
APA
复制
导出至
BibTeX EndNote RefMan NoteFirst NoteExpress
×
提示
您的信息不完整,为了账户安全,请先补充。
现在去补充
×
提示
您因"违规操作"
具体请查看互助需知
我知道了
×
提示
确定
请完成安全验证×
copy
已复制链接
快去分享给好友吧!
我知道了
右上角分享
点击右上角分享
0
联系我们:info@booksci.cn Book学术提供免费学术资源搜索服务,方便国内外学者检索中英文文献。致力于提供最便捷和优质的服务体验。 Copyright © 2023 布克学术 All rights reserved.
京ICP备2023020795号-1
ghs 京公网安备 11010802042870号
Book学术文献互助
Book学术文献互助群
群 号:604180095
Book学术官方微信