改进母猪妊娠舍的指标。第二部分:对后代生理指标、繁殖性能和健康的影响。

IF 0.1 3区 文学 0 LITERATURE
TEXAS STUDIES IN LITERATURE AND LANGUAGE Pub Date : 2023-07-26 eCollection Date: 2023-01-01 DOI:10.1017/awf.2023.48
Martyna E Lagoda, Keelin O'Driscoll, Maria C Galli, José J Cerón, Alba Ortín-Bustillo, Joanna Marchewka, Laura A Boyle
{"title":"改进母猪妊娠舍的指标。第二部分:对后代生理指标、繁殖性能和健康的影响。","authors":"Martyna E Lagoda, Keelin O'Driscoll, Maria C Galli, José J Cerón, Alba Ortín-Bustillo, Joanna Marchewka, Laura A Boyle","doi":"10.1017/awf.2023.48","DOIUrl":null,"url":null,"abstract":"<p><p>Prenatal stress is the mechanism through which poor welfare of pregnant sows has detrimental effects on the health and resilience of their piglets. We compared two gestation housing systems (IMPROVED versus [conventional] CONTROL) in terms of sow stress and welfare indicators and sought to determine whether potential benefits to the sows would translate into improved offspring health. Sows were mixed into 12 stable groups (six groups per treatment, 20 sows per group) 29 days post-service in pens with free-access, full-length individual feeding/lying-stalls. CONTROL pens had fully slatted concrete floors, with two blocks of wood and two chains suspended in the group area. IMPROVED pens were the same but with rubber mats and manila rope in each stall, and straw provided in three racks in the group area. Saliva was collected from each sow on day 80 of pregnancy and analysed for haptoglobin. Hair cortisol was measured in late gestation. Sows' right and left eyes were scored for tear staining in mid lactation and at weaning. Numbers of piglets born alive, dead, mummified, and total born were recorded. Piglets were weighed and scored for vitality and intra-uterine growth restriction (IUGR) at birth. Presence of diarrhoea in farrowing pens was scored every second day throughout the suckling period. IMPROVED sows had lower haptoglobin levels and tear-stain scores during lactation. IMPROVED sows produced fewer mummified piglets, and these had significantly lower IUGR scores, and scored lower for diarrhoea than piglets of CONTROL sows. Hence, improving sow welfare during gestation improved the health and performance of their offspring.</p>","PeriodicalId":44154,"journal":{"name":"TEXAS STUDIES IN LITERATURE AND LANGUAGE","volume":"48 1","pages":"e52"},"PeriodicalIF":0.1000,"publicationDate":"2023-07-26","publicationTypes":"Journal Article","fieldsOfStudy":null,"isOpenAccess":false,"openAccessPdf":"https://www.ncbi.nlm.nih.gov/pmc/articles/PMC10936399/pdf/","citationCount":"0","resultStr":"{\"title\":\"Indicators of improved gestation housing of sows. Part II: Effects on physiological measures, reproductive performance and health of the offspring.\",\"authors\":\"Martyna E Lagoda, Keelin O'Driscoll, Maria C Galli, José J Cerón, Alba Ortín-Bustillo, Joanna Marchewka, Laura A Boyle\",\"doi\":\"10.1017/awf.2023.48\",\"DOIUrl\":null,\"url\":null,\"abstract\":\"<p><p>Prenatal stress is the mechanism through which poor welfare of pregnant sows has detrimental effects on the health and resilience of their piglets. We compared two gestation housing systems (IMPROVED versus [conventional] CONTROL) in terms of sow stress and welfare indicators and sought to determine whether potential benefits to the sows would translate into improved offspring health. Sows were mixed into 12 stable groups (six groups per treatment, 20 sows per group) 29 days post-service in pens with free-access, full-length individual feeding/lying-stalls. CONTROL pens had fully slatted concrete floors, with two blocks of wood and two chains suspended in the group area. IMPROVED pens were the same but with rubber mats and manila rope in each stall, and straw provided in three racks in the group area. Saliva was collected from each sow on day 80 of pregnancy and analysed for haptoglobin. Hair cortisol was measured in late gestation. Sows' right and left eyes were scored for tear staining in mid lactation and at weaning. Numbers of piglets born alive, dead, mummified, and total born were recorded. Piglets were weighed and scored for vitality and intra-uterine growth restriction (IUGR) at birth. Presence of diarrhoea in farrowing pens was scored every second day throughout the suckling period. IMPROVED sows had lower haptoglobin levels and tear-stain scores during lactation. IMPROVED sows produced fewer mummified piglets, and these had significantly lower IUGR scores, and scored lower for diarrhoea than piglets of CONTROL sows. Hence, improving sow welfare during gestation improved the health and performance of their offspring.</p>\",\"PeriodicalId\":44154,\"journal\":{\"name\":\"TEXAS STUDIES IN LITERATURE AND LANGUAGE\",\"volume\":\"48 1\",\"pages\":\"e52\"},\"PeriodicalIF\":0.1000,\"publicationDate\":\"2023-07-26\",\"publicationTypes\":\"Journal Article\",\"fieldsOfStudy\":null,\"isOpenAccess\":false,\"openAccessPdf\":\"https://www.ncbi.nlm.nih.gov/pmc/articles/PMC10936399/pdf/\",\"citationCount\":\"0\",\"resultStr\":null,\"platform\":\"Semanticscholar\",\"paperid\":null,\"PeriodicalName\":\"TEXAS STUDIES IN LITERATURE AND LANGUAGE\",\"FirstCategoryId\":\"97\",\"ListUrlMain\":\"https://doi.org/10.1017/awf.2023.48\",\"RegionNum\":3,\"RegionCategory\":\"文学\",\"ArticlePicture\":[],\"TitleCN\":null,\"AbstractTextCN\":null,\"PMCID\":null,\"EPubDate\":\"2023/1/1 0:00:00\",\"PubModel\":\"eCollection\",\"JCR\":\"0\",\"JCRName\":\"LITERATURE\",\"Score\":null,\"Total\":0}","platform":"Semanticscholar","paperid":null,"PeriodicalName":"TEXAS STUDIES IN LITERATURE AND LANGUAGE","FirstCategoryId":"97","ListUrlMain":"https://doi.org/10.1017/awf.2023.48","RegionNum":3,"RegionCategory":"文学","ArticlePicture":[],"TitleCN":null,"AbstractTextCN":null,"PMCID":null,"EPubDate":"2023/1/1 0:00:00","PubModel":"eCollection","JCR":"0","JCRName":"LITERATURE","Score":null,"Total":0}
引用次数: 0

摘要

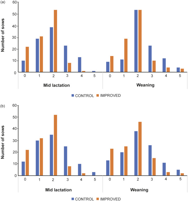
产前应激是妊娠母猪福利差对仔猪健康和适应力产生不利影响的机制。我们从母猪应激和福利指标方面比较了两种妊娠舍饲养系统(改进型与[传统]控制型),并试图确定母猪的潜在益处是否会转化为后代健康的改善。母猪在服役后 29 天被混合编入 12 个稳定组(每个处理 6 个组,每组 20 头母猪),饲养在可自由进出的全长独立饲喂/产仔栏内。对照组的猪舍采用全板条混凝土地板,组内悬挂两块木板和两条铁链。改进型猪舍与对照猪舍相同,但每个栏位都铺有橡胶垫和马尼拉绳,群养区的三个架子上铺有稻草。每头母猪在怀孕第 80 天采集唾液并分析血红蛋白。在妊娠后期测量毛皮质醇。在哺乳中期和断奶时,对母猪的左右眼进行泪液染色评分。记录活产仔猪、死产仔猪、木乃伊仔猪和总出生仔猪的数量。对仔猪进行称重,并对活力和出生时宫内生长受限(IUGR)进行评分。在整个哺乳期,每隔一天对产仔栏中的仔猪腹泻情况进行评分。改进型母猪的血红蛋白水平和泌乳期泪痕评分较低。改进型母猪生产的木乃伊仔猪数量较少,与对照型母猪的仔猪相比,这些仔猪的IUGR评分明显较低,腹泻评分也较低。因此,改善妊娠期母猪福利可提高其后代的健康和生产性能。
本文章由计算机程序翻译,如有差异,请以英文原文为准。

Indicators of improved gestation housing of sows. Part II: Effects on physiological measures, reproductive performance and health of the offspring.

Indicators of improved gestation housing of sows. Part II: Effects on physiological measures, reproductive performance and health of the offspring.

Indicators of improved gestation housing of sows. Part II: Effects on physiological measures, reproductive performance and health of the offspring.

Indicators of improved gestation housing of sows. Part II: Effects on physiological measures, reproductive performance and health of the offspring.

Prenatal stress is the mechanism through which poor welfare of pregnant sows has detrimental effects on the health and resilience of their piglets. We compared two gestation housing systems (IMPROVED versus [conventional] CONTROL) in terms of sow stress and welfare indicators and sought to determine whether potential benefits to the sows would translate into improved offspring health. Sows were mixed into 12 stable groups (six groups per treatment, 20 sows per group) 29 days post-service in pens with free-access, full-length individual feeding/lying-stalls. CONTROL pens had fully slatted concrete floors, with two blocks of wood and two chains suspended in the group area. IMPROVED pens were the same but with rubber mats and manila rope in each stall, and straw provided in three racks in the group area. Saliva was collected from each sow on day 80 of pregnancy and analysed for haptoglobin. Hair cortisol was measured in late gestation. Sows' right and left eyes were scored for tear staining in mid lactation and at weaning. Numbers of piglets born alive, dead, mummified, and total born were recorded. Piglets were weighed and scored for vitality and intra-uterine growth restriction (IUGR) at birth. Presence of diarrhoea in farrowing pens was scored every second day throughout the suckling period. IMPROVED sows had lower haptoglobin levels and tear-stain scores during lactation. IMPROVED sows produced fewer mummified piglets, and these had significantly lower IUGR scores, and scored lower for diarrhoea than piglets of CONTROL sows. Hence, improving sow welfare during gestation improved the health and performance of their offspring.

求助全文
通过发布文献求助,成功后即可免费获取论文全文。 去求助
来源期刊
自引率
50.00%
发文量
14
×
引用
GB/T 7714-2015
复制
MLA
复制
APA
复制
导出至
BibTeX EndNote RefMan NoteFirst NoteExpress
×
提示
您的信息不完整,为了账户安全,请先补充。
现在去补充
×
提示
您因"违规操作"
具体请查看互助需知
我知道了
×
提示
确定
请完成安全验证×
copy
已复制链接
快去分享给好友吧!
我知道了
右上角分享
点击右上角分享
0
联系我们:info@booksci.cn Book学术提供免费学术资源搜索服务,方便国内外学者检索中英文文献。致力于提供最便捷和优质的服务体验。 Copyright © 2023 布克学术 All rights reserved.
京ICP备2023020795号-1
ghs 京公网安备 11010802042870号
Book学术文献互助
Book学术文献互助群
群 号:604180095
Book学术官方微信