在饮食中添加苜蓿可能会改变自然感染马匹的弓形虫感染。

Pauline Grimm, Noémie Laroche, Samy Julliand, Gabriele Sorci
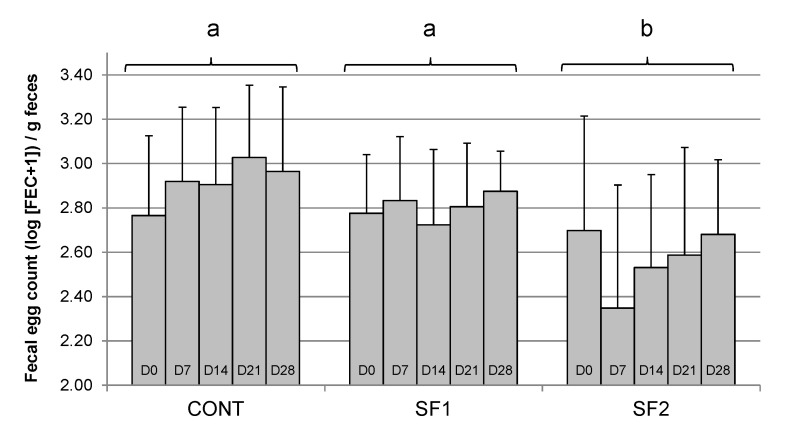
{"title":"在饮食中添加苜蓿可能会改变自然感染马匹的弓形虫感染。","authors":"Pauline Grimm, Noémie Laroche, Samy Julliand, Gabriele Sorci","doi":"10.3390/ani12080955","DOIUrl":null,"url":null,"abstract":"<p><p>It is increasingly difficult to control equine strongyles with synthetic drugs, as resistance is commonly observed. Here, we investigated the possible anthelmintic effect of sainfoin (<i>Onobrychis viciifolia</i>), a polyphenol-rich legume, in naturally infected horses. On Day 0 (D0), 17 horses were allocated to three different homogenous groups in terms of fecal egg count (FEC): the control group (CONT) received a diet composed on a DM basis of 83% hay and 17% wheat bran, while in the sainfoin 1 (SF1) and sainfoin 2 (SF2) groups, half or all wheat bran, respectively, was replaced by dehydrated sainfoin pellets. The infection dynamics were monitored by weekly FEC, from D0 to D84. On D28, all horses were treated with fenbendazole. Larval motility was assessed from coprocultures at D0, D28, D56 and D84. Horses in Group SF2 had lower FEC from D7 to D28. After fenbendazole treatment, no effect of the diet was measured on FEC. Both before and after anthelmintic treatment, larvae from horses consuming sainfoin were less motile than larvae from the CONT group. These results suggest that sainfoin has an in vivo anthelmintic activity in naturally infected horses, although this effect appears to be context-dependent.</p>","PeriodicalId":87413,"journal":{"name":"New hibernia review = Iris eireannach nua","volume":"18 1","pages":""},"PeriodicalIF":0.0000,"publicationDate":"2022-04-07","publicationTypes":"Journal Article","fieldsOfStudy":null,"isOpenAccess":false,"openAccessPdf":"https://www.ncbi.nlm.nih.gov/pmc/articles/PMC9029355/pdf/","citationCount":"0","resultStr":"{\"title\":\"Inclusion of Sainfoin in the Diet Might Alter Strongyle Infection in Naturally Infected Horses.\",\"authors\":\"Pauline Grimm, Noémie Laroche, Samy Julliand, Gabriele Sorci\",\"doi\":\"10.3390/ani12080955\",\"DOIUrl\":null,\"url\":null,\"abstract\":\"<p><p>It is increasingly difficult to control equine strongyles with synthetic drugs, as resistance is commonly observed. Here, we investigated the possible anthelmintic effect of sainfoin (<i>Onobrychis viciifolia</i>), a polyphenol-rich legume, in naturally infected horses. On Day 0 (D0), 17 horses were allocated to three different homogenous groups in terms of fecal egg count (FEC): the control group (CONT) received a diet composed on a DM basis of 83% hay and 17% wheat bran, while in the sainfoin 1 (SF1) and sainfoin 2 (SF2) groups, half or all wheat bran, respectively, was replaced by dehydrated sainfoin pellets. The infection dynamics were monitored by weekly FEC, from D0 to D84. On D28, all horses were treated with fenbendazole. Larval motility was assessed from coprocultures at D0, D28, D56 and D84. Horses in Group SF2 had lower FEC from D7 to D28. After fenbendazole treatment, no effect of the diet was measured on FEC. Both before and after anthelmintic treatment, larvae from horses consuming sainfoin were less motile than larvae from the CONT group. These results suggest that sainfoin has an in vivo anthelmintic activity in naturally infected horses, although this effect appears to be context-dependent.</p>\",\"PeriodicalId\":87413,\"journal\":{\"name\":\"New hibernia review = Iris eireannach nua\",\"volume\":\"18 1\",\"pages\":\"\"},\"PeriodicalIF\":0.0000,\"publicationDate\":\"2022-04-07\",\"publicationTypes\":\"Journal Article\",\"fieldsOfStudy\":null,\"isOpenAccess\":false,\"openAccessPdf\":\"https://www.ncbi.nlm.nih.gov/pmc/articles/PMC9029355/pdf/\",\"citationCount\":\"0\",\"resultStr\":null,\"platform\":\"Semanticscholar\",\"paperid\":null,\"PeriodicalName\":\"New hibernia review = Iris eireannach nua\",\"FirstCategoryId\":\"97\",\"ListUrlMain\":\"https://doi.org/10.3390/ani12080955\",\"RegionNum\":0,\"RegionCategory\":null,\"ArticlePicture\":[],\"TitleCN\":null,\"AbstractTextCN\":null,\"PMCID\":null,\"EPubDate\":\"\",\"PubModel\":\"\",\"JCR\":\"\",\"JCRName\":\"\",\"Score\":null,\"Total\":0}","platform":"Semanticscholar","paperid":null,"PeriodicalName":"New hibernia review = Iris eireannach nua","FirstCategoryId":"97","ListUrlMain":"https://doi.org/10.3390/ani12080955","RegionNum":0,"RegionCategory":null,"ArticlePicture":[],"TitleCN":null,"AbstractTextCN":null,"PMCID":null,"EPubDate":"","PubModel":"","JCR":"","JCRName":"","Score":null,"Total":0}
引用次数: 0

摘要

由于抗药性的普遍存在,用合成药物控制马强直性脊柱炎越来越困难。在此,我们研究了一种富含多酚的豆科植物--红豆杉(Onobrychis viciifolia)对自然感染马可能产生的驱虫效果。在第 0 天(D0),17 匹马被分配到三个不同的粪便虫卵计数(FEC)同质组:对照组(CONT)的饮食以 DM 为基础,由 83% 的干草和 17% 的麦麸组成,而在红花苜蓿 1 组(SF1)和红花苜蓿 2 组(SF2)中,分别用脱水红花苜蓿颗粒代替一半或全部麦麸。从D0到D84,每周通过FEC监测感染动态。D28日,所有马匹均接受芬苯达唑治疗。在D0、D28、D56和D84时,通过共培养对幼虫的运动能力进行评估。从D7到D28,SF2组马的FEC较低。芬苯达唑治疗后,日粮对FEC没有影响。无论在驱虫药治疗前还是治疗后,食用紫花苜蓿的马的幼虫都比CONT组的幼虫活动力低。这些结果表明,赤松素对自然感染的马具有体内驱虫活性,尽管这种作用似乎取决于具体情况。
本文章由计算机程序翻译,如有差异,请以英文原文为准。

Inclusion of Sainfoin in the Diet Might Alter Strongyle Infection in Naturally Infected Horses.

Inclusion of Sainfoin in the Diet Might Alter Strongyle Infection in Naturally Infected Horses.

Inclusion of Sainfoin in the Diet Might Alter Strongyle Infection in Naturally Infected Horses.

Inclusion of Sainfoin in the Diet Might Alter Strongyle Infection in Naturally Infected Horses.

It is increasingly difficult to control equine strongyles with synthetic drugs, as resistance is commonly observed. Here, we investigated the possible anthelmintic effect of sainfoin (Onobrychis viciifolia), a polyphenol-rich legume, in naturally infected horses. On Day 0 (D0), 17 horses were allocated to three different homogenous groups in terms of fecal egg count (FEC): the control group (CONT) received a diet composed on a DM basis of 83% hay and 17% wheat bran, while in the sainfoin 1 (SF1) and sainfoin 2 (SF2) groups, half or all wheat bran, respectively, was replaced by dehydrated sainfoin pellets. The infection dynamics were monitored by weekly FEC, from D0 to D84. On D28, all horses were treated with fenbendazole. Larval motility was assessed from coprocultures at D0, D28, D56 and D84. Horses in Group SF2 had lower FEC from D7 to D28. After fenbendazole treatment, no effect of the diet was measured on FEC. Both before and after anthelmintic treatment, larvae from horses consuming sainfoin were less motile than larvae from the CONT group. These results suggest that sainfoin has an in vivo anthelmintic activity in naturally infected horses, although this effect appears to be context-dependent.

求助全文
通过发布文献求助,成功后即可免费获取论文全文。 去求助
来源期刊
自引率
0.00%
发文量
0
×
引用
GB/T 7714-2015
复制
MLA
复制
APA
复制
导出至
BibTeX EndNote RefMan NoteFirst NoteExpress
×
提示
您的信息不完整,为了账户安全,请先补充。
现在去补充
×
提示
您因"违规操作"
具体请查看互助需知
我知道了
×
提示
确定
请完成安全验证×
copy
已复制链接
快去分享给好友吧!
我知道了
右上角分享
点击右上角分享
0
联系我们:info@booksci.cn Book学术提供免费学术资源搜索服务,方便国内外学者检索中英文文献。致力于提供最便捷和优质的服务体验。 Copyright © 2023 布克学术 All rights reserved.
京ICP备2023020795号-1
ghs 京公网安备 11010802042870号
Book学术文献互助
Book学术文献互助群
群 号:604180095
Book学术官方微信