有冠状动脉疾病和无冠状动脉疾病的急性肺水肿患者的住院和 4 年死亡率预测因素。

Jaume Figueras, Jordi Bañeras, Carlos Peña-Gil, José A Barrabés, Jose Rodriguez Palomares, David Garcia Dorado
{"title":"有冠状动脉疾病和无冠状动脉疾病的急性肺水肿患者的住院和 4 年死亡率预测因素。","authors":"Jaume Figueras, Jordi Bañeras, Carlos Peña-Gil, José A Barrabés, Jose Rodriguez Palomares, David Garcia Dorado","doi":"10.1161/JAHA.115.002581","DOIUrl":null,"url":null,"abstract":"<p><strong>Background: </strong>Long-term prognosis of acute pulmonary edema (APE) remains ill defined.</p><p><strong>Methods and results: </strong>We evaluated demographic, echocardiographic, and angiographic data of 806 consecutive patients with APE with (CAD) and without coronary artery disease (non-CAD) admitted from 2000 to 2010. Differences between hospital and long-term mortality and its predictors were also assessed. CAD patients (n=638) were older and had higher incidence of diabetes and peripheral vascular disease than non-CAD (n=168), and lower ejection fraction. Hospital mortality was similar in both groups (26.5% vs 31.5%; P=0.169) but APE recurrence was higher in CAD patients (17.3% vs 6.5%; P<0.001). Age, admission systolic blood pressure, recurrence of APE, and need for inotropics or endotracheal intubation were the main independent predictors of hospital mortality. In contrast, overall mortality (70.0% vs 57.1%; P=0.002) and readmission for nonfatal heart failure after a 45-month follow-up (10-140; 17.3% vs 7.6%; P=0.009) were higher in CAD than in non-CAD patients. Age, peripheral vascular disease, and peak creatine kinase MB during index hospitalization, but not ejection fraction, were the main independent predictors of overall mortality, whereas coronary revascularization or valvular surgery were protective. These interventions were mostly performed during hospitalization index (294 of 307; 96%) and not intervened patients showed a higher risk profile.</p><p><strong>Conclusions: </strong>Long-term mortality in APE is high and higher in CAD than in non-CAD patients. Considering the different in-hospital and long-term mortality predictors herein described, which do not necessarily involve systolic function, it is conceivable that a more aggressive interventional program might improve survival in high-risk patients.</p>","PeriodicalId":70695,"journal":{"name":"现代水文学期刊(英文)","volume":"7 1","pages":""},"PeriodicalIF":0.0000,"publicationDate":"2016-02-16","publicationTypes":"Journal Article","fieldsOfStudy":null,"isOpenAccess":false,"openAccessPdf":"https://www.ncbi.nlm.nih.gov/pmc/articles/PMC4802455/pdf/","citationCount":"0","resultStr":"{\"title\":\"Hospital and 4-Year Mortality Predictors in Patients With Acute Pulmonary Edema With and Without Coronary Artery Disease.\",\"authors\":\"Jaume Figueras, Jordi Bañeras, Carlos Peña-Gil, José A Barrabés, Jose Rodriguez Palomares, David Garcia Dorado\",\"doi\":\"10.1161/JAHA.115.002581\",\"DOIUrl\":null,\"url\":null,\"abstract\":\"<p><strong>Background: </strong>Long-term prognosis of acute pulmonary edema (APE) remains ill defined.</p><p><strong>Methods and results: </strong>We evaluated demographic, echocardiographic, and angiographic data of 806 consecutive patients with APE with (CAD) and without coronary artery disease (non-CAD) admitted from 2000 to 2010. Differences between hospital and long-term mortality and its predictors were also assessed. CAD patients (n=638) were older and had higher incidence of diabetes and peripheral vascular disease than non-CAD (n=168), and lower ejection fraction. Hospital mortality was similar in both groups (26.5% vs 31.5%; P=0.169) but APE recurrence was higher in CAD patients (17.3% vs 6.5%; P<0.001). Age, admission systolic blood pressure, recurrence of APE, and need for inotropics or endotracheal intubation were the main independent predictors of hospital mortality. In contrast, overall mortality (70.0% vs 57.1%; P=0.002) and readmission for nonfatal heart failure after a 45-month follow-up (10-140; 17.3% vs 7.6%; P=0.009) were higher in CAD than in non-CAD patients. Age, peripheral vascular disease, and peak creatine kinase MB during index hospitalization, but not ejection fraction, were the main independent predictors of overall mortality, whereas coronary revascularization or valvular surgery were protective. These interventions were mostly performed during hospitalization index (294 of 307; 96%) and not intervened patients showed a higher risk profile.</p><p><strong>Conclusions: </strong>Long-term mortality in APE is high and higher in CAD than in non-CAD patients. Considering the different in-hospital and long-term mortality predictors herein described, which do not necessarily involve systolic function, it is conceivable that a more aggressive interventional program might improve survival in high-risk patients.</p>\",\"PeriodicalId\":70695,\"journal\":{\"name\":\"现代水文学期刊(英文)\",\"volume\":\"7 1\",\"pages\":\"\"},\"PeriodicalIF\":0.0000,\"publicationDate\":\"2016-02-16\",\"publicationTypes\":\"Journal Article\",\"fieldsOfStudy\":null,\"isOpenAccess\":false,\"openAccessPdf\":\"https://www.ncbi.nlm.nih.gov/pmc/articles/PMC4802455/pdf/\",\"citationCount\":\"0\",\"resultStr\":null,\"platform\":\"Semanticscholar\",\"paperid\":null,\"PeriodicalName\":\"现代水文学期刊(英文)\",\"FirstCategoryId\":\"1085\",\"ListUrlMain\":\"https://doi.org/10.1161/JAHA.115.002581\",\"RegionNum\":0,\"RegionCategory\":null,\"ArticlePicture\":[],\"TitleCN\":null,\"AbstractTextCN\":null,\"PMCID\":null,\"EPubDate\":\"\",\"PubModel\":\"\",\"JCR\":\"\",\"JCRName\":\"\",\"Score\":null,\"Total\":0}","platform":"Semanticscholar","paperid":null,"PeriodicalName":"现代水文学期刊(英文)","FirstCategoryId":"1085","ListUrlMain":"https://doi.org/10.1161/JAHA.115.002581","RegionNum":0,"RegionCategory":null,"ArticlePicture":[],"TitleCN":null,"AbstractTextCN":null,"PMCID":null,"EPubDate":"","PubModel":"","JCR":"","JCRName":"","Score":null,"Total":0}
引用次数: 0

摘要

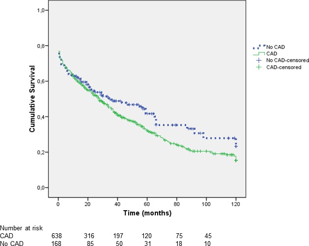
背景:急性肺水肿(APE)的长期预后仍不明确:急性肺水肿(APE)的长期预后仍不明确:我们评估了 2000 年至 2010 年期间连续收治的 806 例急性肺水肿患者的人口统计学、超声心动图和血管造影数据,这些患者分别患有冠状动脉疾病(CAD)和无冠状动脉疾病(非 CAD)。此外,还评估了住院死亡率和长期死亡率之间的差异及其预测因素。与非 CAD 患者(168 人)相比,CAD 患者(638 人)年龄较大,糖尿病和外周血管疾病发病率较高,射血分数较低。两组患者的住院死亡率相似(26.5% 对 31.5%;P=0.169),但 CAD 患者的 APE 复发率更高(17.3% 对 6.5%;PC 结论:APE的长期死亡率很高,且CAD患者高于非CAD患者。考虑到本文所述的不同院内和长期死亡率预测因素(并不一定涉及收缩功能),可以想象,更积极的介入治疗方案可能会提高高危患者的生存率。
本文章由计算机程序翻译,如有差异,请以英文原文为准。

Hospital and 4-Year Mortality Predictors in Patients With Acute Pulmonary Edema With and Without Coronary Artery Disease.

Hospital and 4-Year Mortality Predictors in Patients With Acute Pulmonary Edema With and Without Coronary Artery Disease.

Hospital and 4-Year Mortality Predictors in Patients With Acute Pulmonary Edema With and Without Coronary Artery Disease.

Hospital and 4-Year Mortality Predictors in Patients With Acute Pulmonary Edema With and Without Coronary Artery Disease.

Background: Long-term prognosis of acute pulmonary edema (APE) remains ill defined.

Methods and results: We evaluated demographic, echocardiographic, and angiographic data of 806 consecutive patients with APE with (CAD) and without coronary artery disease (non-CAD) admitted from 2000 to 2010. Differences between hospital and long-term mortality and its predictors were also assessed. CAD patients (n=638) were older and had higher incidence of diabetes and peripheral vascular disease than non-CAD (n=168), and lower ejection fraction. Hospital mortality was similar in both groups (26.5% vs 31.5%; P=0.169) but APE recurrence was higher in CAD patients (17.3% vs 6.5%; P<0.001). Age, admission systolic blood pressure, recurrence of APE, and need for inotropics or endotracheal intubation were the main independent predictors of hospital mortality. In contrast, overall mortality (70.0% vs 57.1%; P=0.002) and readmission for nonfatal heart failure after a 45-month follow-up (10-140; 17.3% vs 7.6%; P=0.009) were higher in CAD than in non-CAD patients. Age, peripheral vascular disease, and peak creatine kinase MB during index hospitalization, but not ejection fraction, were the main independent predictors of overall mortality, whereas coronary revascularization or valvular surgery were protective. These interventions were mostly performed during hospitalization index (294 of 307; 96%) and not intervened patients showed a higher risk profile.

Conclusions: Long-term mortality in APE is high and higher in CAD than in non-CAD patients. Considering the different in-hospital and long-term mortality predictors herein described, which do not necessarily involve systolic function, it is conceivable that a more aggressive interventional program might improve survival in high-risk patients.

求助全文
通过发布文献求助,成功后即可免费获取论文全文。 去求助
来源期刊
自引率
0.00%
发文量
84
×
引用
GB/T 7714-2015
复制
MLA
复制
APA
复制
导出至
BibTeX EndNote RefMan NoteFirst NoteExpress
×
提示
您的信息不完整,为了账户安全,请先补充。
现在去补充
×
提示
您因"违规操作"
具体请查看互助需知
我知道了
×
提示
确定
请完成安全验证×
copy
已复制链接
快去分享给好友吧!
我知道了
右上角分享
点击右上角分享
0
联系我们:info@booksci.cn Book学术提供免费学术资源搜索服务,方便国内外学者检索中英文文献。致力于提供最便捷和优质的服务体验。 Copyright © 2023 布克学术 All rights reserved.
京ICP备2023020795号-1
ghs 京公网安备 11010802042870号
Book学术文献互助
Book学术文献互助群
群 号:604180095
Book学术官方微信