视网膜旁与周边鼻斯科特瘤青光眼患者的结构与功能关系

Kyoung In Jung, Min Ku Kang, Jin A Choi, Hye-Young Shin, Chan Kee Park
{"title":"视网膜旁与周边鼻斯科特瘤青光眼患者的结构与功能关系","authors":"Kyoung In Jung, Min Ku Kang, Jin A Choi, Hye-Young Shin, Chan Kee Park","doi":"10.1167/iovs.15-18256","DOIUrl":null,"url":null,"abstract":"<p><strong>Purpose: </strong>We evaluated whether the structure-function relationship in glaucoma patients with parafoveal scotoma or peripheral scotoma differs with the use of frequency doubling technology (FDT) or short-wavelength automated perimetry (SWAP) compared to standard automated perimetry (SAP).</p><p><strong>Methods: </strong>Glaucoma patients with isolated parafoveal scotoma (PFS) within the central 10° of fixation in 1 hemifield and those with an isolated peripheral nasal step (PNS) within the nasal periphery outside 10° of fixation in one hemifield were studied. Peripapillary retinal nerve fiber layer (RNFL) thickness was measured using spectral-domain optical coherence tomography. The topographic relationships between structure and function were investigated.</p><p><strong>Results: </strong>In the PNS group, superotemporal (r(2) = 0.300, P = 0.001) and inferotemporal (r(2) = 0.302, P = 0.001) RNFL thickness showed significant correlations with the corresponding visual field (VF) sensitivity using linear regression model in SAP. In the PFS group, temporal RNFL thickness was not correlated with nasal mean sensitivity (MS) on SAP (r(2) = 0.103, P = 0.065). Using FDT, however, the temporal RNFL thickness was correlated with nasal MS in the PFS group (r(2) = 0.277, P = 0.001). Using SWAP, the temporal RNFL thickness was not significantly associated with regional VF sensitivity in the PFS group (r(2) = 0.052, P = 0.192).</p><p><strong>Conclusions: </strong>In glaucoma with peripheral scotoma, the RNFL thickness was associated significantly with the corresponding VF loss in SAP, FDT, and SWAP. In eyes with PFS, however, the topographic structure-function relationships were not distinct with SAP or SWAP. Frequency doubling technology performed well in terms of structure-function correlation in glaucoma with PFS.</p>","PeriodicalId":8614,"journal":{"name":"Australian Journal of Entomology","volume":"48 1","pages":"420-8"},"PeriodicalIF":0.0000,"publicationDate":"2016-02-01","publicationTypes":"Journal Article","fieldsOfStudy":null,"isOpenAccess":false,"openAccessPdf":"https://www.ncbi.nlm.nih.gov/pmc/articles/PMC5110261/pdf/","citationCount":"0","resultStr":"{\"title\":\"Structure-Function Relationship in Glaucoma Patients With Parafoveal Versus Peripheral Nasal Scotoma.\",\"authors\":\"Kyoung In Jung, Min Ku Kang, Jin A Choi, Hye-Young Shin, Chan Kee Park\",\"doi\":\"10.1167/iovs.15-18256\",\"DOIUrl\":null,\"url\":null,\"abstract\":\"<p><strong>Purpose: </strong>We evaluated whether the structure-function relationship in glaucoma patients with parafoveal scotoma or peripheral scotoma differs with the use of frequency doubling technology (FDT) or short-wavelength automated perimetry (SWAP) compared to standard automated perimetry (SAP).</p><p><strong>Methods: </strong>Glaucoma patients with isolated parafoveal scotoma (PFS) within the central 10° of fixation in 1 hemifield and those with an isolated peripheral nasal step (PNS) within the nasal periphery outside 10° of fixation in one hemifield were studied. Peripapillary retinal nerve fiber layer (RNFL) thickness was measured using spectral-domain optical coherence tomography. The topographic relationships between structure and function were investigated.</p><p><strong>Results: </strong>In the PNS group, superotemporal (r(2) = 0.300, P = 0.001) and inferotemporal (r(2) = 0.302, P = 0.001) RNFL thickness showed significant correlations with the corresponding visual field (VF) sensitivity using linear regression model in SAP. In the PFS group, temporal RNFL thickness was not correlated with nasal mean sensitivity (MS) on SAP (r(2) = 0.103, P = 0.065). Using FDT, however, the temporal RNFL thickness was correlated with nasal MS in the PFS group (r(2) = 0.277, P = 0.001). Using SWAP, the temporal RNFL thickness was not significantly associated with regional VF sensitivity in the PFS group (r(2) = 0.052, P = 0.192).</p><p><strong>Conclusions: </strong>In glaucoma with peripheral scotoma, the RNFL thickness was associated significantly with the corresponding VF loss in SAP, FDT, and SWAP. In eyes with PFS, however, the topographic structure-function relationships were not distinct with SAP or SWAP. Frequency doubling technology performed well in terms of structure-function correlation in glaucoma with PFS.</p>\",\"PeriodicalId\":8614,\"journal\":{\"name\":\"Australian Journal of Entomology\",\"volume\":\"48 1\",\"pages\":\"420-8\"},\"PeriodicalIF\":0.0000,\"publicationDate\":\"2016-02-01\",\"publicationTypes\":\"Journal Article\",\"fieldsOfStudy\":null,\"isOpenAccess\":false,\"openAccessPdf\":\"https://www.ncbi.nlm.nih.gov/pmc/articles/PMC5110261/pdf/\",\"citationCount\":\"0\",\"resultStr\":null,\"platform\":\"Semanticscholar\",\"paperid\":null,\"PeriodicalName\":\"Australian Journal of Entomology\",\"FirstCategoryId\":\"1085\",\"ListUrlMain\":\"https://doi.org/10.1167/iovs.15-18256\",\"RegionNum\":0,\"RegionCategory\":null,\"ArticlePicture\":[],\"TitleCN\":null,\"AbstractTextCN\":null,\"PMCID\":null,\"EPubDate\":\"\",\"PubModel\":\"\",\"JCR\":\"\",\"JCRName\":\"\",\"Score\":null,\"Total\":0}","platform":"Semanticscholar","paperid":null,"PeriodicalName":"Australian Journal of Entomology","FirstCategoryId":"1085","ListUrlMain":"https://doi.org/10.1167/iovs.15-18256","RegionNum":0,"RegionCategory":null,"ArticlePicture":[],"TitleCN":null,"AbstractTextCN":null,"PMCID":null,"EPubDate":"","PubModel":"","JCR":"","JCRName":"","Score":null,"Total":0}
引用次数: 0

摘要

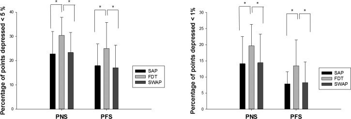
目的:我们评估了使用倍频技术(FDT)或短波长自动周边测量法(SWAP)与标准自动周边测量法(SAP)相比,具有眼底视网膜旁视网膜障或周边视网膜障的青光眼患者的结构-功能关系是否有所不同:研究对象为在一个半视野定点中央 10°范围内有孤立的视网膜旁视网膜散光(PFS)的青光眼患者,以及在一个半视野定点 10°范围外的鼻周有孤立的周边鼻阶(PNS)的青光眼患者。使用光谱域光学相干断层扫描测量了毛细血管周围视网膜神经纤维层(RNFL)的厚度。研究了结构与功能之间的地形关系:结果:在 PNS 组中,利用 SAP 线性回归模型,颞上(r(2) = 0.300,P = 0.001)和颞下(r(2) = 0.302,P = 0.001)RNFL 厚度与相应的视野(VF)灵敏度呈显著相关。在 PFS 组中,颞侧 RNFL 厚度与 SAP 中的鼻腔平均灵敏度 (MS) 无关(r(2) = 0.103,P = 0.065)。然而,在使用 FDT 时,PFS 组的颞部 RNFL 厚度与鼻腔平均灵敏度相关(r(2) = 0.277,P = 0.001)。使用 SWAP,PFS 组的颞部 RNFL 厚度与区域 VF 敏感性无明显相关性(r(2) = 0.052,P = 0.192):结论:对于伴有周边视网膜障的青光眼患者,在 SAP、FDT 和 SWAP 中,RNFL 厚度与相应的 VF 损失有显著相关性。然而,在患有 PFS 的眼睛中,地形结构-功能关系与 SAP 或 SWAP 并无明显区别。倍频技术在青光眼伴PFS的结构-功能相关性方面表现良好。
本文章由计算机程序翻译,如有差异,请以英文原文为准。

Structure-Function Relationship in Glaucoma Patients With Parafoveal Versus Peripheral Nasal Scotoma.

Structure-Function Relationship in Glaucoma Patients With Parafoveal Versus Peripheral Nasal Scotoma.

Structure-Function Relationship in Glaucoma Patients With Parafoveal Versus Peripheral Nasal Scotoma.

Structure-Function Relationship in Glaucoma Patients With Parafoveal Versus Peripheral Nasal Scotoma.

Purpose: We evaluated whether the structure-function relationship in glaucoma patients with parafoveal scotoma or peripheral scotoma differs with the use of frequency doubling technology (FDT) or short-wavelength automated perimetry (SWAP) compared to standard automated perimetry (SAP).

Methods: Glaucoma patients with isolated parafoveal scotoma (PFS) within the central 10° of fixation in 1 hemifield and those with an isolated peripheral nasal step (PNS) within the nasal periphery outside 10° of fixation in one hemifield were studied. Peripapillary retinal nerve fiber layer (RNFL) thickness was measured using spectral-domain optical coherence tomography. The topographic relationships between structure and function were investigated.

Results: In the PNS group, superotemporal (r(2) = 0.300, P = 0.001) and inferotemporal (r(2) = 0.302, P = 0.001) RNFL thickness showed significant correlations with the corresponding visual field (VF) sensitivity using linear regression model in SAP. In the PFS group, temporal RNFL thickness was not correlated with nasal mean sensitivity (MS) on SAP (r(2) = 0.103, P = 0.065). Using FDT, however, the temporal RNFL thickness was correlated with nasal MS in the PFS group (r(2) = 0.277, P = 0.001). Using SWAP, the temporal RNFL thickness was not significantly associated with regional VF sensitivity in the PFS group (r(2) = 0.052, P = 0.192).

Conclusions: In glaucoma with peripheral scotoma, the RNFL thickness was associated significantly with the corresponding VF loss in SAP, FDT, and SWAP. In eyes with PFS, however, the topographic structure-function relationships were not distinct with SAP or SWAP. Frequency doubling technology performed well in terms of structure-function correlation in glaucoma with PFS.

求助全文
通过发布文献求助,成功后即可免费获取论文全文。 去求助
来源期刊
自引率
0.00%
发文量
0
审稿时长
>12 weeks
×
引用
GB/T 7714-2015
复制
MLA
复制
APA
复制
导出至
BibTeX EndNote RefMan NoteFirst NoteExpress
×
提示
您的信息不完整,为了账户安全,请先补充。
现在去补充
×
提示
您因"违规操作"
具体请查看互助需知
我知道了
×
提示
确定
请完成安全验证×
copy
已复制链接
快去分享给好友吧!
我知道了
右上角分享
点击右上角分享
0
联系我们:info@booksci.cn Book学术提供免费学术资源搜索服务,方便国内外学者检索中英文文献。致力于提供最便捷和优质的服务体验。 Copyright © 2023 布克学术 All rights reserved.
京ICP备2023020795号-1
ghs 京公网安备 11010802042870号
Book学术文献互助
Book学术文献互助群
群 号:604180095
Book学术官方微信