皮下英夫利昔单抗治疗难治性克罗恩病患者:一种可能的生物better?

IF 4 Q2 ENVIRONMENTAL SCIENCES
Geoenvironmental Disasters Pub Date : 2023-07-25 eCollection Date: 2023-10-01 DOI:10.1093/crocol/otad040
Karin Cerna, Dana Duricova, Martin Lukas, Martin Kolar, Nadezda Machkova, Veronika Hruba, Katarina Mitrova, Kristyna Kubickova, Marta Kostrejova, Jakub Jirsa, Kristyna Kastylova, Stepan Peterka, Gabriela Vojtechova, Milan Lukas
{"title":"皮下英夫利昔单抗治疗难治性克罗恩病患者:一种可能的生物better?","authors":"Karin Cerna, Dana Duricova, Martin Lukas, Martin Kolar, Nadezda Machkova, Veronika Hruba, Katarina Mitrova, Kristyna Kubickova, Marta Kostrejova, Jakub Jirsa, Kristyna Kastylova, Stepan Peterka, Gabriela Vojtechova, Milan Lukas","doi":"10.1093/crocol/otad040","DOIUrl":null,"url":null,"abstract":"<p><strong>Background: </strong>A subcutaneous formulation of infliximab (IFX-SC) approved to treat patients with inflammatory bowel disease may offer improved efficacy versus intravenous infliximab.</p><p><strong>Methods: </strong>Patients with refractory Crohn's disease (CD, <i>n</i> = 32) previously treated unsuccessfully with at least 2 biologics were treated with IFX-SC and followed from baseline at Week 0 (W0) to Week 30 (W30). The study's primary endpoint was the treatment's persistence at W30, while secondary goals included the analysis of serum infliximab trough levels (TL IFX), dynamics of anti-IFX antibodies (ATIs), and clinical, serum and fecal markers of CD activity during IFX-SC treatment.</p><p><strong>Results: </strong>Midterm treatment persistence with the continuation of treatment after W30 was 53%. TL IFX median values showed rapid, significant upward dynamics and exceeded 15.5 μg/mL at W30, whereas median ATI levels significantly declined. Among ATI-negative patients at W0 (<i>n</i> = 15), only one showed IFX immunogenicity with newly developed ATIs at W30. Among ATI-positive patients at W0, ATI seroconversion from ATI-positive to ATI-negative status was observed in 10 of 17 patients (58.8%). Patients who had continued IFX-SC treatment at W30 showed significant decreases in C-reactive protein (<i>P</i> = .0341), fecal calprotectin (<i>P</i> = .0002), and Harvey-Bradshaw index (<i>P =</i> .0029) since W0.</p><p><strong>Conclusions: </strong>Patients with refractory CD previously treated with at least 2 biologics exhibited clinically relevant improvement with IFX-SC, which showed less immunogenic potential than IFX-IV and highly stable TL IFX.</p>","PeriodicalId":37025,"journal":{"name":"Geoenvironmental Disasters","volume":"4 1","pages":"otad040"},"PeriodicalIF":4.0000,"publicationDate":"2023-07-25","publicationTypes":"Journal Article","fieldsOfStudy":null,"isOpenAccess":false,"openAccessPdf":"https://www.ncbi.nlm.nih.gov/pmc/articles/PMC10640858/pdf/","citationCount":"0","resultStr":"{\"title\":\"Subcutaneous Infliximab in Refractory Crohn's Disease Patients: A Possible Biobetter?\",\"authors\":\"Karin Cerna, Dana Duricova, Martin Lukas, Martin Kolar, Nadezda Machkova, Veronika Hruba, Katarina Mitrova, Kristyna Kubickova, Marta Kostrejova, Jakub Jirsa, Kristyna Kastylova, Stepan Peterka, Gabriela Vojtechova, Milan Lukas\",\"doi\":\"10.1093/crocol/otad040\",\"DOIUrl\":null,\"url\":null,\"abstract\":\"<p><strong>Background: </strong>A subcutaneous formulation of infliximab (IFX-SC) approved to treat patients with inflammatory bowel disease may offer improved efficacy versus intravenous infliximab.</p><p><strong>Methods: </strong>Patients with refractory Crohn's disease (CD, <i>n</i> = 32) previously treated unsuccessfully with at least 2 biologics were treated with IFX-SC and followed from baseline at Week 0 (W0) to Week 30 (W30). The study's primary endpoint was the treatment's persistence at W30, while secondary goals included the analysis of serum infliximab trough levels (TL IFX), dynamics of anti-IFX antibodies (ATIs), and clinical, serum and fecal markers of CD activity during IFX-SC treatment.</p><p><strong>Results: </strong>Midterm treatment persistence with the continuation of treatment after W30 was 53%. TL IFX median values showed rapid, significant upward dynamics and exceeded 15.5 μg/mL at W30, whereas median ATI levels significantly declined. Among ATI-negative patients at W0 (<i>n</i> = 15), only one showed IFX immunogenicity with newly developed ATIs at W30. Among ATI-positive patients at W0, ATI seroconversion from ATI-positive to ATI-negative status was observed in 10 of 17 patients (58.8%). Patients who had continued IFX-SC treatment at W30 showed significant decreases in C-reactive protein (<i>P</i> = .0341), fecal calprotectin (<i>P</i> = .0002), and Harvey-Bradshaw index (<i>P =</i> .0029) since W0.</p><p><strong>Conclusions: </strong>Patients with refractory CD previously treated with at least 2 biologics exhibited clinically relevant improvement with IFX-SC, which showed less immunogenic potential than IFX-IV and highly stable TL IFX.</p>\",\"PeriodicalId\":37025,\"journal\":{\"name\":\"Geoenvironmental Disasters\",\"volume\":\"4 1\",\"pages\":\"otad040\"},\"PeriodicalIF\":4.0000,\"publicationDate\":\"2023-07-25\",\"publicationTypes\":\"Journal Article\",\"fieldsOfStudy\":null,\"isOpenAccess\":false,\"openAccessPdf\":\"https://www.ncbi.nlm.nih.gov/pmc/articles/PMC10640858/pdf/\",\"citationCount\":\"0\",\"resultStr\":null,\"platform\":\"Semanticscholar\",\"paperid\":null,\"PeriodicalName\":\"Geoenvironmental Disasters\",\"FirstCategoryId\":\"1085\",\"ListUrlMain\":\"https://doi.org/10.1093/crocol/otad040\",\"RegionNum\":0,\"RegionCategory\":null,\"ArticlePicture\":[],\"TitleCN\":null,\"AbstractTextCN\":null,\"PMCID\":null,\"EPubDate\":\"2023/10/1 0:00:00\",\"PubModel\":\"eCollection\",\"JCR\":\"Q2\",\"JCRName\":\"ENVIRONMENTAL SCIENCES\",\"Score\":null,\"Total\":0}","platform":"Semanticscholar","paperid":null,"PeriodicalName":"Geoenvironmental Disasters","FirstCategoryId":"1085","ListUrlMain":"https://doi.org/10.1093/crocol/otad040","RegionNum":0,"RegionCategory":null,"ArticlePicture":[],"TitleCN":null,"AbstractTextCN":null,"PMCID":null,"EPubDate":"2023/10/1 0:00:00","PubModel":"eCollection","JCR":"Q2","JCRName":"ENVIRONMENTAL SCIENCES","Score":null,"Total":0}
引用次数: 0

摘要

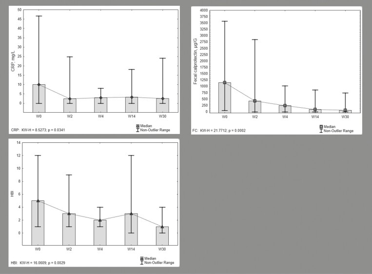
背景:一种被批准用于治疗炎症性肠病患者的英夫利昔单抗(IFX-SC)皮下制剂可能比静脉注射英夫利昔单抗提供更好的疗效。方法:难治性克罗恩病(CD, n = 32)患者先前接受至少2种生物制剂治疗失败,接受IFX-SC治疗,并在第0周(W0)至第30周(W30)从基线进行随访。该研究的主要终点是治疗在W30时的持续性,而次要目标包括分析血清英夫利昔单抗谷底水平(TL -IFX),抗IFX抗体(ATIs)的动态,以及IFX- sc治疗期间CD活性的临床、血清和粪便标志物。结果:W30后中期治疗持续率为53%。TL IFX中位数呈快速显著上升趋势,在W30时超过15.5 μg/mL,而ATI中位数水平显著下降。在W0时ati阴性的患者中(n = 15),只有1例在W30时新发ATIs显示IFX免疫原性。在W0时ATI阳性的患者中,17例患者中有10例(58.8%)出现ATI血清从阳性到阴性的转化。在W30继续接受IFX-SC治疗的患者,自W0起,c反应蛋白(P = 0.041)、粪便钙保护蛋白(P = 0.0002)和Harvey-Bradshaw指数(P = 0.0029)显著降低。结论:先前接受过至少2种生物制剂治疗的难治性CD患者,IFX- sc表现出临床相关的改善,其免疫原性潜力低于IFX- iv和高度稳定的TL IFX。
本文章由计算机程序翻译,如有差异,请以英文原文为准。

Subcutaneous Infliximab in Refractory Crohn's Disease Patients: A Possible Biobetter?

Subcutaneous Infliximab in Refractory Crohn's Disease Patients: A Possible Biobetter?

Subcutaneous Infliximab in Refractory Crohn's Disease Patients: A Possible Biobetter?

Subcutaneous Infliximab in Refractory Crohn's Disease Patients: A Possible Biobetter?

Background: A subcutaneous formulation of infliximab (IFX-SC) approved to treat patients with inflammatory bowel disease may offer improved efficacy versus intravenous infliximab.

Methods: Patients with refractory Crohn's disease (CD, n = 32) previously treated unsuccessfully with at least 2 biologics were treated with IFX-SC and followed from baseline at Week 0 (W0) to Week 30 (W30). The study's primary endpoint was the treatment's persistence at W30, while secondary goals included the analysis of serum infliximab trough levels (TL IFX), dynamics of anti-IFX antibodies (ATIs), and clinical, serum and fecal markers of CD activity during IFX-SC treatment.

Results: Midterm treatment persistence with the continuation of treatment after W30 was 53%. TL IFX median values showed rapid, significant upward dynamics and exceeded 15.5 μg/mL at W30, whereas median ATI levels significantly declined. Among ATI-negative patients at W0 (n = 15), only one showed IFX immunogenicity with newly developed ATIs at W30. Among ATI-positive patients at W0, ATI seroconversion from ATI-positive to ATI-negative status was observed in 10 of 17 patients (58.8%). Patients who had continued IFX-SC treatment at W30 showed significant decreases in C-reactive protein (P = .0341), fecal calprotectin (P = .0002), and Harvey-Bradshaw index (P = .0029) since W0.

Conclusions: Patients with refractory CD previously treated with at least 2 biologics exhibited clinically relevant improvement with IFX-SC, which showed less immunogenic potential than IFX-IV and highly stable TL IFX.

求助全文
通过发布文献求助,成功后即可免费获取论文全文。 去求助
来源期刊
Geoenvironmental Disasters
Geoenvironmental Disasters Social Sciences-Geography, Planning and Development
CiteScore
8.90
自引率
6.20%
发文量
22
期刊介绍: Geoenvironmental Disasters is an international journal with a focus on multi-disciplinary applied and fundamental research and the effects and impacts on infrastructure, society and the environment of geoenvironmental disasters triggered by various types of geo-hazards (e.g. earthquakes, volcanic activity, landslides, tsunamis, intensive erosion and hydro-meteorological events). The integrated study of Geoenvironmental Disasters is an emerging and composite field of research interfacing with areas traditionally within civil engineering, earth sciences, atmospheric sciences and the life sciences. It centers on the interactions within and between the Earth''s ground, air and water environments, all of which are affected by climate, geological, morphological and anthropological processes; and biological and ecological cycles. Disasters are dynamic forces which can change the Earth pervasively, rapidly, or abruptly, and which can generate lasting effects on the natural and built environments. The journal publishes research papers, case studies and quick reports of recent geoenvironmental disasters, review papers and technical reports of various geoenvironmental disaster-related case studies. The focus on case studies and quick reports of recent geoenvironmental disasters helps to advance the practical understanding of geoenvironmental disasters and to inform future research priorities; they are a major component of the journal. The journal aims for the rapid publication of research papers at a high scientific level. The journal welcomes proposals for special issues reflecting the trends in geoenvironmental disaster reduction and monothematic issues. Researchers and practitioners are encouraged to submit original, unpublished contributions.
×
引用
GB/T 7714-2015
复制
MLA
复制
APA
复制
导出至
BibTeX EndNote RefMan NoteFirst NoteExpress
×
提示
您的信息不完整,为了账户安全,请先补充。
现在去补充
×
提示
您因"违规操作"
具体请查看互助需知
我知道了
×
提示
确定
请完成安全验证×
copy
已复制链接
快去分享给好友吧!
我知道了
右上角分享
点击右上角分享
0
联系我们:info@booksci.cn Book学术提供免费学术资源搜索服务,方便国内外学者检索中英文文献。致力于提供最便捷和优质的服务体验。 Copyright © 2023 布克学术 All rights reserved.
京ICP备2023020795号-1
ghs 京公网安备 11010802042870号
Book学术文献互助
Book学术文献互助群
群 号:604180095
Book学术官方微信