维生素 D 补充剂对肠易激综合征的疗效:系统回顾与荟萃分析。

IF 1.2 Q3 TELECOMMUNICATIONS
Hangkai Huang, Linjie Lu, Yishu Chen, Yan Zeng, Chengfu Xu
{"title":"维生素 D 补充剂对肠易激综合征的疗效:系统回顾与荟萃分析。","authors":"Hangkai Huang, Linjie Lu, Yishu Chen, Yan Zeng, Chengfu Xu","doi":"10.1186/s12937-022-00777-x","DOIUrl":null,"url":null,"abstract":"<p><strong>Background: </strong>Irritable bowel syndrome (IBS) is a chronic gastrointestinal disorder involving gut-brain interactions with limited effective treatment options. Vitamin D deficiency is commonly observed in patients with IBS, but whether vitamin D supplementation ameliorates IBS is controversial in randomized controlled trials. The present systematic review and meta-analysis explored the efficacy of vitamin D supplementation in patients with IBS.</p><p><strong>Methods: </strong>We performed a systematic search of potentially relevant publications from PubMed, EMBASE, the Cochrane Central Register of Controlled Studies and the Web of Science up until January 2022. We assessed the weighted mean difference (WMD) and 95% confidence interval (95% CI) of the IBS severity scoring system (IBS-SSS), IBS quality of life (IBS-QoL) and IBS total score (IBS-TS) before and after vitamin D supplementation intervention.</p><p><strong>Results: </strong>We included four randomized, placebo-controlled trials involving 335 participants. The differences in IBS-SSS score between participants in the intervention group and the placebo group increased after intervention (WMD: -55.55, 95% CI: -70.22 to -40.87, I<sup>2</sup> = 53.7%, after intervention; WMD: -3.17, 95% CI: -18.15 to 11.81, I<sup>2</sup> = 0.0%, before intervention). Participants receiving vitamin D supplementation showed greater improvement in IBS-SSS after intervention than participants receiving placebo treatment (WMD: -84.21, 95% CI: -111.38 to -57.05, I<sup>2</sup> = 73.2%; WMD: -28.29, 95% CI: -49.95 to -6.62, I<sup>2</sup> = 46.6%, respectively). Vitamin D supplementation was also superior to placebo in IBS-QoL improvement (WMD: 14.98, 95% CI: 12.06 to 17.90, I<sup>2</sup> = 0.0%; WMD: 6.55, 95% CI: -2.23 to 15.33, I<sup>2</sup> = 82.7%, respectively). Sensitivity analyses revealed an unstable pooled effect on IBS-TS in participants receiving vitamin D supplementation. Therefore, we did not evaluate the efficacy of vitamin D intervention in IBS-TS.</p><p><strong>Conclusions: </strong>This systematic review and meta-analysis suggested that vitamin D supplementation was superior to placebo for IBS treatment.</p>","PeriodicalId":45393,"journal":{"name":"International Journal of Wireless Information Networks","volume":"26 1","pages":"24"},"PeriodicalIF":1.2000,"publicationDate":"2022-05-05","publicationTypes":"Journal Article","fieldsOfStudy":null,"isOpenAccess":false,"openAccessPdf":"https://www.ncbi.nlm.nih.gov/pmc/articles/PMC9069731/pdf/","citationCount":"0","resultStr":"{\"title\":\"The efficacy of vitamin D supplementation for irritable bowel syndrome: a systematic review with meta-analysis.\",\"authors\":\"Hangkai Huang, Linjie Lu, Yishu Chen, Yan Zeng, Chengfu Xu\",\"doi\":\"10.1186/s12937-022-00777-x\",\"DOIUrl\":null,\"url\":null,\"abstract\":\"<p><strong>Background: </strong>Irritable bowel syndrome (IBS) is a chronic gastrointestinal disorder involving gut-brain interactions with limited effective treatment options. Vitamin D deficiency is commonly observed in patients with IBS, but whether vitamin D supplementation ameliorates IBS is controversial in randomized controlled trials. The present systematic review and meta-analysis explored the efficacy of vitamin D supplementation in patients with IBS.</p><p><strong>Methods: </strong>We performed a systematic search of potentially relevant publications from PubMed, EMBASE, the Cochrane Central Register of Controlled Studies and the Web of Science up until January 2022. We assessed the weighted mean difference (WMD) and 95% confidence interval (95% CI) of the IBS severity scoring system (IBS-SSS), IBS quality of life (IBS-QoL) and IBS total score (IBS-TS) before and after vitamin D supplementation intervention.</p><p><strong>Results: </strong>We included four randomized, placebo-controlled trials involving 335 participants. The differences in IBS-SSS score between participants in the intervention group and the placebo group increased after intervention (WMD: -55.55, 95% CI: -70.22 to -40.87, I<sup>2</sup> = 53.7%, after intervention; WMD: -3.17, 95% CI: -18.15 to 11.81, I<sup>2</sup> = 0.0%, before intervention). Participants receiving vitamin D supplementation showed greater improvement in IBS-SSS after intervention than participants receiving placebo treatment (WMD: -84.21, 95% CI: -111.38 to -57.05, I<sup>2</sup> = 73.2%; WMD: -28.29, 95% CI: -49.95 to -6.62, I<sup>2</sup> = 46.6%, respectively). Vitamin D supplementation was also superior to placebo in IBS-QoL improvement (WMD: 14.98, 95% CI: 12.06 to 17.90, I<sup>2</sup> = 0.0%; WMD: 6.55, 95% CI: -2.23 to 15.33, I<sup>2</sup> = 82.7%, respectively). Sensitivity analyses revealed an unstable pooled effect on IBS-TS in participants receiving vitamin D supplementation. Therefore, we did not evaluate the efficacy of vitamin D intervention in IBS-TS.</p><p><strong>Conclusions: </strong>This systematic review and meta-analysis suggested that vitamin D supplementation was superior to placebo for IBS treatment.</p>\",\"PeriodicalId\":45393,\"journal\":{\"name\":\"International Journal of Wireless Information Networks\",\"volume\":\"26 1\",\"pages\":\"24\"},\"PeriodicalIF\":1.2000,\"publicationDate\":\"2022-05-05\",\"publicationTypes\":\"Journal Article\",\"fieldsOfStudy\":null,\"isOpenAccess\":false,\"openAccessPdf\":\"https://www.ncbi.nlm.nih.gov/pmc/articles/PMC9069731/pdf/\",\"citationCount\":\"0\",\"resultStr\":null,\"platform\":\"Semanticscholar\",\"paperid\":null,\"PeriodicalName\":\"International Journal of Wireless Information Networks\",\"FirstCategoryId\":\"1085\",\"ListUrlMain\":\"https://doi.org/10.1186/s12937-022-00777-x\",\"RegionNum\":0,\"RegionCategory\":null,\"ArticlePicture\":[],\"TitleCN\":null,\"AbstractTextCN\":null,\"PMCID\":null,\"EPubDate\":\"\",\"PubModel\":\"\",\"JCR\":\"Q3\",\"JCRName\":\"TELECOMMUNICATIONS\",\"Score\":null,\"Total\":0}","platform":"Semanticscholar","paperid":null,"PeriodicalName":"International Journal of Wireless Information Networks","FirstCategoryId":"1085","ListUrlMain":"https://doi.org/10.1186/s12937-022-00777-x","RegionNum":0,"RegionCategory":null,"ArticlePicture":[],"TitleCN":null,"AbstractTextCN":null,"PMCID":null,"EPubDate":"","PubModel":"","JCR":"Q3","JCRName":"TELECOMMUNICATIONS","Score":null,"Total":0}
引用次数: 0

摘要

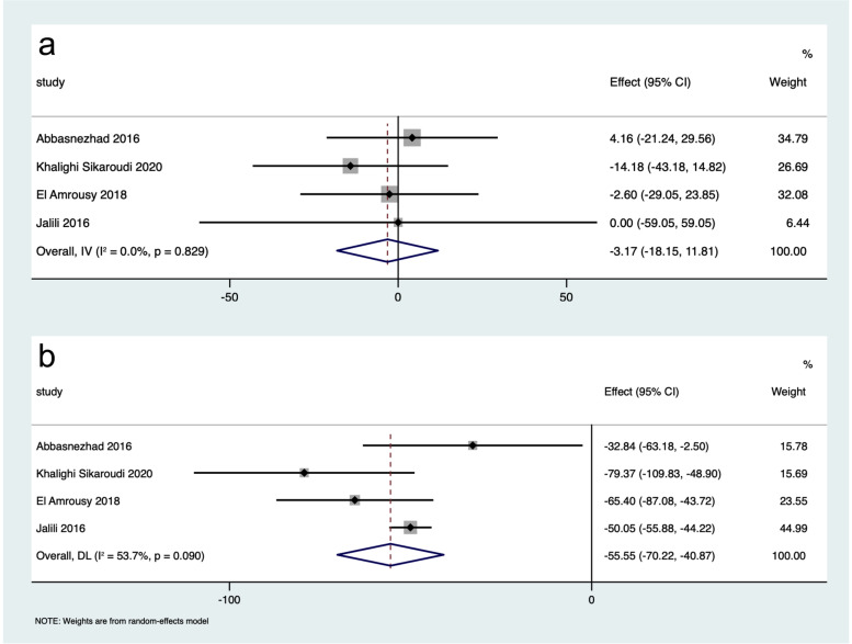
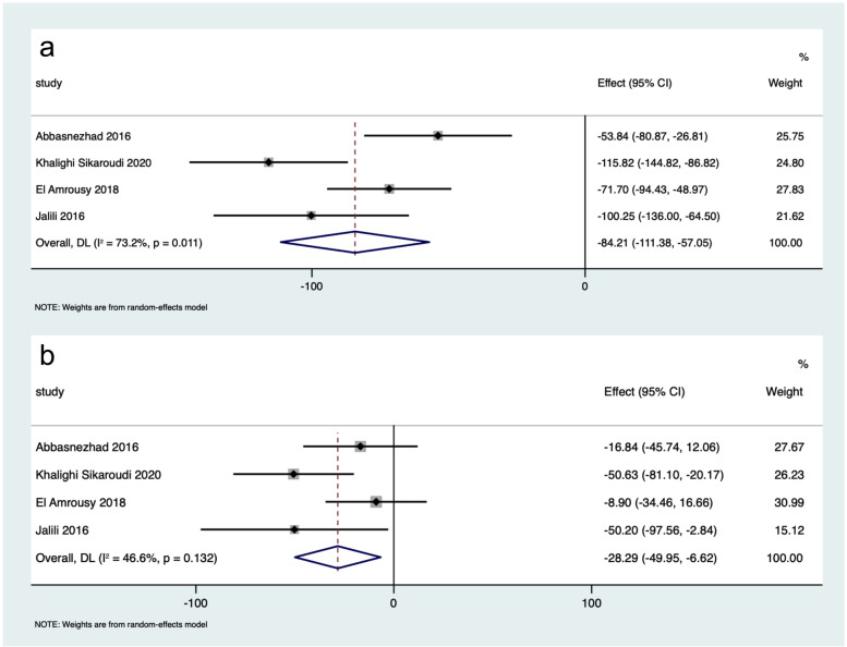
背景:肠易激综合征(IBS)是一种涉及肠道与大脑相互作用的慢性胃肠道疾病,有效的治疗方案有限。肠易激综合征患者普遍缺乏维生素 D,但在随机对照试验中,维生素 D 补充剂是否能改善肠易激综合征尚存争议。本系统综述和荟萃分析探讨了补充维生素 D 对肠易激综合征患者的疗效:我们对截至 2022 年 1 月的 PubMed、EMBASE、Cochrane Central Register of Controlled Studies 和 Web of Science 中可能相关的出版物进行了系统检索。我们评估了维生素D补充剂干预前后肠易激综合征严重程度评分系统(IBS-SSS)、肠易激综合征生活质量(IBS-QoL)和肠易激综合征总分(IBS-TS)的加权平均差(WMD)和95%置信区间(95% CI):结果:我们纳入了四项随机安慰剂对照试验,共有 335 人参与。干预后,干预组与安慰剂组参与者的 IBS-SSS 得分差异增大(干预后,WMD:-55.55,95% CI:-70.22 至 -40.87,I2 = 53.7%;干预前,WMD:-3.17,95% CI:-18.15 至 11.81,I2 = 0.0%)。与接受安慰剂治疗的参与者相比,接受维生素 D 补充剂治疗的参与者在干预后的 IBS-SSS 改善程度更大(WMD:-84.21,95% CI:-111.38 至 -57.05,I2 = 73.2%;WMD:-28.29,95% CI:-49.95 至 -6.62,I2 = 46.6%)。维生素 D 补充剂在改善肠易激综合征生活质量方面也优于安慰剂(WMD:14.98,95% CI:12.06 至 17.90,I2 = 0.0%;WMD:6.55,95% CI:-2.23 至 15.33,I2 = 82.7%)。敏感性分析显示,在接受维生素 D 补充剂的参与者中,IBS-TS 的集合效应并不稳定。因此,我们没有评估维生素D干预对IBS-TS的疗效:本系统综述和荟萃分析表明,在治疗肠易激综合征方面,补充维生素 D 优于安慰剂。
本文章由计算机程序翻译,如有差异,请以英文原文为准。

The efficacy of vitamin D supplementation for irritable bowel syndrome: a systematic review with meta-analysis.

The efficacy of vitamin D supplementation for irritable bowel syndrome: a systematic review with meta-analysis.

The efficacy of vitamin D supplementation for irritable bowel syndrome: a systematic review with meta-analysis.

The efficacy of vitamin D supplementation for irritable bowel syndrome: a systematic review with meta-analysis.

Background: Irritable bowel syndrome (IBS) is a chronic gastrointestinal disorder involving gut-brain interactions with limited effective treatment options. Vitamin D deficiency is commonly observed in patients with IBS, but whether vitamin D supplementation ameliorates IBS is controversial in randomized controlled trials. The present systematic review and meta-analysis explored the efficacy of vitamin D supplementation in patients with IBS.

Methods: We performed a systematic search of potentially relevant publications from PubMed, EMBASE, the Cochrane Central Register of Controlled Studies and the Web of Science up until January 2022. We assessed the weighted mean difference (WMD) and 95% confidence interval (95% CI) of the IBS severity scoring system (IBS-SSS), IBS quality of life (IBS-QoL) and IBS total score (IBS-TS) before and after vitamin D supplementation intervention.

Results: We included four randomized, placebo-controlled trials involving 335 participants. The differences in IBS-SSS score between participants in the intervention group and the placebo group increased after intervention (WMD: -55.55, 95% CI: -70.22 to -40.87, I2 = 53.7%, after intervention; WMD: -3.17, 95% CI: -18.15 to 11.81, I2 = 0.0%, before intervention). Participants receiving vitamin D supplementation showed greater improvement in IBS-SSS after intervention than participants receiving placebo treatment (WMD: -84.21, 95% CI: -111.38 to -57.05, I2 = 73.2%; WMD: -28.29, 95% CI: -49.95 to -6.62, I2 = 46.6%, respectively). Vitamin D supplementation was also superior to placebo in IBS-QoL improvement (WMD: 14.98, 95% CI: 12.06 to 17.90, I2 = 0.0%; WMD: 6.55, 95% CI: -2.23 to 15.33, I2 = 82.7%, respectively). Sensitivity analyses revealed an unstable pooled effect on IBS-TS in participants receiving vitamin D supplementation. Therefore, we did not evaluate the efficacy of vitamin D intervention in IBS-TS.

Conclusions: This systematic review and meta-analysis suggested that vitamin D supplementation was superior to placebo for IBS treatment.

求助全文
通过发布文献求助,成功后即可免费获取论文全文。 去求助
来源期刊
CiteScore
6.60
自引率
8.00%
发文量
41
期刊介绍: International Journal of Wireless Information Networks is an international forum for the dissemination of knowledge related to wireless information networks for researchers in the telecommunications and computer industries. This outstanding quarterly publishes high-quality, peer-reviewed original papers on applications such as sensor and mobile ad-hoc networks, wireless personal area networks, wireless LANs, mobile data networks, location aware networks and services, and RF localization and RFID techniques. The journal also covers performance-predictions methodologies, radio propagation studies, modulation and coding, multiple access methods, security and privacy considerations, antenna and RF subsystems, VLSI and ASIC design, experimental trials, traffic and frequency management, and network signaling and architecture. Four categories of papers are published: invited openings (review current and future directions), overview reports (address the philosophy and technical details of the standards and field trials), technical papers (present specific technical contributions of archival value), and letters (present new enhancement of previously published works, statements of open problems, comments on published papers, and corrections). International Journal of Wireless Information Networks aims to fill the needs of academic researchers involved in basic research at universities or research laboratories; telecommunications and computer engineers involved in design, planning, operation, and maintenance of state-of-the-art wireless information networks; and the technical community in telecommunications and computers involved in applied research and standards activities. To view cumulative tables of contents, find details on the latest call for papers, or other information, please visit the http://www.cwins.wpi.edu/journal.html International Journal of Wireless Information Networks Web Site.
×
引用
GB/T 7714-2015
复制
MLA
复制
APA
复制
导出至
BibTeX EndNote RefMan NoteFirst NoteExpress
×
提示
您的信息不完整,为了账户安全,请先补充。
现在去补充
×
提示
您因"违规操作"
具体请查看互助需知
我知道了
×
提示
确定
请完成安全验证×
copy
已复制链接
快去分享给好友吧!
我知道了
右上角分享
点击右上角分享
0
联系我们:info@booksci.cn Book学术提供免费学术资源搜索服务,方便国内外学者检索中英文文献。致力于提供最便捷和优质的服务体验。 Copyright © 2023 布克学术 All rights reserved.
京ICP备2023020795号-1
ghs 京公网安备 11010802042870号
Book学术文献互助
Book学术文献互助群
群 号:604180095
Book学术官方微信