评估高血压患者血浆维生素 E 和蛋白尿的发展。

IF 8.5 1区 物理与天体物理 Q1 ASTRONOMY & ASTROPHYSICS
Astrophysical Journal Supplement Series Pub Date : 2023-04-01 eCollection Date: 2024-02-01 DOI:10.2478/jtim-2023-0004
Panpan He, Huan Li, Yuanyuan Zhang, Yun Song, Chengzhang Liu, Lishun Liu, Binyan Wang, Huiyuan Guo, Xiaobin Wang, Yong Huo, Hao Zhang, Xiping Xu, Jing Nie, Xianhui Qin
{"title":"评估高血压患者血浆维生素 E 和蛋白尿的发展。","authors":"Panpan He, Huan Li, Yuanyuan Zhang, Yun Song, Chengzhang Liu, Lishun Liu, Binyan Wang, Huiyuan Guo, Xiaobin Wang, Yong Huo, Hao Zhang, Xiping Xu, Jing Nie, Xianhui Qin","doi":"10.2478/jtim-2023-0004","DOIUrl":null,"url":null,"abstract":"<p><strong>Background: </strong>The prospective relationship between plasma vitamin E levels and proteinuria remains uncertain. We aimed to evaluate the association between baseline plasma vitamin E levels and the development of proteinuria and examine any possible effect modifiers in patients with hypertension.</p><p><strong>Methods: </strong>This was a post hoc analysis of the renal sub-study of the China Stroke Primary Prevention Trial (CSPPT). In total, 780 participants with vitamin E measurements and without proteinuria at baseline were included in the current study. The study outcome was the development of proteinuria, defined as a urine dipstick reading of a trace or ≥ 1+ at the exit visit.</p><p><strong>Results: </strong>During a median follow-up duration of 4.4 years, the development of proteinuria occurred in 93 (11.9%) participants. Overall, there was an inverse relationship between plasma vitamin E and the development of proteinuria (per standard deviation [SD] increment; odds ratio [OR]: 0.73, 95% confidence interval [CI]: 0.55-0.96). Consistently, when plasma vitamin E was assessed as quartiles, lower risk of proteinuria development was found in participants in quartiles 2-4 (≥ 7.3 μg/mL; OR: 0.57, 95% CI: 0.34-0.96) compared to those in quartile 1. None of the variables, including sex, age, and body mass index, significantly modified the association between vitamin E and proteinuria development.</p><p><strong>Conclusion: </strong>There was a significant inverse association between plasma vitamin E levels and the development of proteinuria in patients with hypertension. The results were consistent among participants with different baseline characteristics.</p>","PeriodicalId":8588,"journal":{"name":"Astrophysical Journal Supplement Series","volume":"77 1","pages":"78-85"},"PeriodicalIF":8.5000,"publicationDate":"2023-04-01","publicationTypes":"Journal Article","fieldsOfStudy":null,"isOpenAccess":false,"openAccessPdf":"https://www.ncbi.nlm.nih.gov/pmc/articles/PMC10956724/pdf/","citationCount":"0","resultStr":"{\"title\":\"Evaluation of plasma vitamin E and development of proteinuria in hypertensive patients.\",\"authors\":\"Panpan He, Huan Li, Yuanyuan Zhang, Yun Song, Chengzhang Liu, Lishun Liu, Binyan Wang, Huiyuan Guo, Xiaobin Wang, Yong Huo, Hao Zhang, Xiping Xu, Jing Nie, Xianhui Qin\",\"doi\":\"10.2478/jtim-2023-0004\",\"DOIUrl\":null,\"url\":null,\"abstract\":\"<p><strong>Background: </strong>The prospective relationship between plasma vitamin E levels and proteinuria remains uncertain. We aimed to evaluate the association between baseline plasma vitamin E levels and the development of proteinuria and examine any possible effect modifiers in patients with hypertension.</p><p><strong>Methods: </strong>This was a post hoc analysis of the renal sub-study of the China Stroke Primary Prevention Trial (CSPPT). In total, 780 participants with vitamin E measurements and without proteinuria at baseline were included in the current study. The study outcome was the development of proteinuria, defined as a urine dipstick reading of a trace or ≥ 1+ at the exit visit.</p><p><strong>Results: </strong>During a median follow-up duration of 4.4 years, the development of proteinuria occurred in 93 (11.9%) participants. Overall, there was an inverse relationship between plasma vitamin E and the development of proteinuria (per standard deviation [SD] increment; odds ratio [OR]: 0.73, 95% confidence interval [CI]: 0.55-0.96). Consistently, when plasma vitamin E was assessed as quartiles, lower risk of proteinuria development was found in participants in quartiles 2-4 (≥ 7.3 μg/mL; OR: 0.57, 95% CI: 0.34-0.96) compared to those in quartile 1. None of the variables, including sex, age, and body mass index, significantly modified the association between vitamin E and proteinuria development.</p><p><strong>Conclusion: </strong>There was a significant inverse association between plasma vitamin E levels and the development of proteinuria in patients with hypertension. The results were consistent among participants with different baseline characteristics.</p>\",\"PeriodicalId\":8588,\"journal\":{\"name\":\"Astrophysical Journal Supplement Series\",\"volume\":\"77 1\",\"pages\":\"78-85\"},\"PeriodicalIF\":8.5000,\"publicationDate\":\"2023-04-01\",\"publicationTypes\":\"Journal Article\",\"fieldsOfStudy\":null,\"isOpenAccess\":false,\"openAccessPdf\":\"https://www.ncbi.nlm.nih.gov/pmc/articles/PMC10956724/pdf/\",\"citationCount\":\"0\",\"resultStr\":null,\"platform\":\"Semanticscholar\",\"paperid\":null,\"PeriodicalName\":\"Astrophysical Journal Supplement Series\",\"FirstCategoryId\":\"3\",\"ListUrlMain\":\"https://doi.org/10.2478/jtim-2023-0004\",\"RegionNum\":1,\"RegionCategory\":\"物理与天体物理\",\"ArticlePicture\":[],\"TitleCN\":null,\"AbstractTextCN\":null,\"PMCID\":null,\"EPubDate\":\"2024/2/1 0:00:00\",\"PubModel\":\"eCollection\",\"JCR\":\"Q1\",\"JCRName\":\"ASTRONOMY & ASTROPHYSICS\",\"Score\":null,\"Total\":0}","platform":"Semanticscholar","paperid":null,"PeriodicalName":"Astrophysical Journal Supplement Series","FirstCategoryId":"3","ListUrlMain":"https://doi.org/10.2478/jtim-2023-0004","RegionNum":1,"RegionCategory":"物理与天体物理","ArticlePicture":[],"TitleCN":null,"AbstractTextCN":null,"PMCID":null,"EPubDate":"2024/2/1 0:00:00","PubModel":"eCollection","JCR":"Q1","JCRName":"ASTRONOMY & ASTROPHYSICS","Score":null,"Total":0}
引用次数: 0

摘要

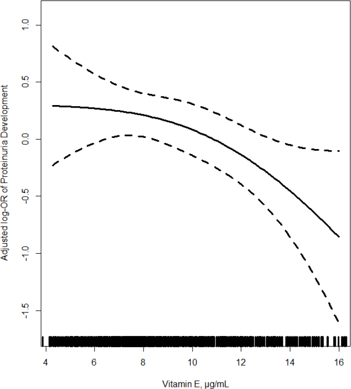
背景:血浆维生素E水平与蛋白尿之间的前瞻性关系仍不确定。我们旨在评估高血压患者的基线血浆维生素 E 水平与蛋白尿发生之间的关系,并研究任何可能的影响因素:这是对中国脑卒中一级预防试验(CSPPT)肾脏亚研究的一项事后分析。本研究共纳入了 780 名基线时测得维生素 E 但无蛋白尿的参与者。研究结果为出现蛋白尿,定义为退出访问时尿液浸量棒读数为微量或≥1+:中位随访时间为 4.4 年,93 人(11.9%)出现蛋白尿。总体而言,血浆维生素 E 与蛋白尿的发生呈反向关系(每标准差 [SD] 递增;几率比 [OR]:0.73,95% 置信区间 [CI]:0.55-0.96):0.55-0.96).同样,当以四分位数评估血浆维生素 E 时,发现与四分位数 1 的参与者相比,四分位数 2-4 的参与者出现蛋白尿的风险较低(≥ 7.3 μg/mL;OR:0.57,95% 置信区间:0.34-0.96)。性别、年龄和体重指数等变量均未显著改变维生素 E 与蛋白尿发展之间的关系:结论:高血压患者的血浆维生素 E 水平与蛋白尿的发生呈明显的反向关系。结论:血浆维生素 E 水平与高血压患者蛋白尿的发生呈显著的反向关系,这一结果在具有不同基线特征的参与者中是一致的。
本文章由计算机程序翻译,如有差异,请以英文原文为准。

Evaluation of plasma vitamin E and development of proteinuria in hypertensive patients.

Evaluation of plasma vitamin E and development of proteinuria in hypertensive patients.

Evaluation of plasma vitamin E and development of proteinuria in hypertensive patients.

Background: The prospective relationship between plasma vitamin E levels and proteinuria remains uncertain. We aimed to evaluate the association between baseline plasma vitamin E levels and the development of proteinuria and examine any possible effect modifiers in patients with hypertension.

Methods: This was a post hoc analysis of the renal sub-study of the China Stroke Primary Prevention Trial (CSPPT). In total, 780 participants with vitamin E measurements and without proteinuria at baseline were included in the current study. The study outcome was the development of proteinuria, defined as a urine dipstick reading of a trace or ≥ 1+ at the exit visit.

Results: During a median follow-up duration of 4.4 years, the development of proteinuria occurred in 93 (11.9%) participants. Overall, there was an inverse relationship between plasma vitamin E and the development of proteinuria (per standard deviation [SD] increment; odds ratio [OR]: 0.73, 95% confidence interval [CI]: 0.55-0.96). Consistently, when plasma vitamin E was assessed as quartiles, lower risk of proteinuria development was found in participants in quartiles 2-4 (≥ 7.3 μg/mL; OR: 0.57, 95% CI: 0.34-0.96) compared to those in quartile 1. None of the variables, including sex, age, and body mass index, significantly modified the association between vitamin E and proteinuria development.

Conclusion: There was a significant inverse association between plasma vitamin E levels and the development of proteinuria in patients with hypertension. The results were consistent among participants with different baseline characteristics.

求助全文
通过发布文献求助,成功后即可免费获取论文全文。 去求助
来源期刊
Astrophysical Journal Supplement Series
Astrophysical Journal Supplement Series 地学天文-天文与天体物理
CiteScore
14.50
自引率
5.70%
发文量
264
审稿时长
2 months
期刊介绍: The Astrophysical Journal Supplement (ApJS) serves as an open-access journal that publishes significant articles featuring extensive data or calculations in the field of astrophysics. It also facilitates Special Issues, presenting thematically related papers simultaneously in a single volume.
×
引用
GB/T 7714-2015
复制
MLA
复制
APA
复制
导出至
BibTeX EndNote RefMan NoteFirst NoteExpress
×
提示
您的信息不完整,为了账户安全,请先补充。
现在去补充
×
提示
您因"违规操作"
具体请查看互助需知
我知道了
×
提示
确定
请完成安全验证×
copy
已复制链接
快去分享给好友吧!
我知道了
右上角分享
点击右上角分享
0
联系我们:info@booksci.cn Book学术提供免费学术资源搜索服务,方便国内外学者检索中英文文献。致力于提供最便捷和优质的服务体验。 Copyright © 2023 布克学术 All rights reserved.
京ICP备2023020795号-1
ghs 京公网安备 11010802042870号
Book学术文献互助
Book学术文献互助群
群 号:604180095
Book学术官方微信