同种异体脂肪组织间充质基质细胞治疗肌萎缩性侧索硬化症患者的安全性和有效性,单中心、前瞻性、开放标签、单臂临床试验,长期随访。

Cell Journal (Yakhteh) Pub Date : 2021-12-01 Epub Date: 2021-12-29 DOI:10.22074/cellj.2021.7984
Seyed Massood Nabavi, S Hahedeh Karimi, Leila Arab, Leila Sanjari, Soura Mardpour, Vajiheh Azimian, Neda Jarughi, Azadeh Ghaheri, Seyedeh-Esmat Hosseini, Nasser Aghdami, Massoud Vosough
{"title":"同种异体脂肪组织间充质基质细胞治疗肌萎缩性侧索硬化症患者的安全性和有效性,单中心、前瞻性、开放标签、单臂临床试验,长期随访。","authors":"Seyed Massood Nabavi, S Hahedeh Karimi, Leila Arab, Leila Sanjari, Soura Mardpour, Vajiheh Azimian, Neda Jarughi, Azadeh Ghaheri, Seyedeh-Esmat Hosseini, Nasser Aghdami, Massoud Vosough","doi":"10.22074/cellj.2021.7984","DOIUrl":null,"url":null,"abstract":"<p><p>Amyotrophic lateral sclerosis (ALS) is a fatal neurodegenerative disorder with very limited treatment options. Stem cells have been raised as a new treatment modality for these patients. We have designed a single-center, prospective, open-label, and single arm clinical trial to assess the safety, feasibility, and rather efficacy of administrating allogeneic adipose-derived mesenchymal stromal cells (Ad-MSCs) in ALS patients. We enrolled 17 patients with confirmed ALS diagnosis with ALS Functional Rating Scale-Revised (ALSFRS-R) ≥24 and predicted forced vital capacity (FVC) ≥40%. Allogeneic Ad-MSCs were transplanted intravenously for all patients. Follow-ups were done at 24 hours, 2, 4, 6, and 12 months after cell infusion by checking adverse events, laboratory tests, and clinically by ALSFRS-R and FVC. Patients were also followed five years later and ALSFRS-R score was recorded in the survived individuals. There was no report of severe adverse events related to cell infusion. Two patients experienced dyspnea and chest pain 36 and 65 days after cell infusion due to pulmonary emboli. The progressive decrease in ALSFRS-R and FVC levels was recorded and three patients died in the first year. During five years follow up, despite a notable decrease in functional scores, 5 patients survived. Intravenous (IV) infusion of allogeneic Ad-MSCs in ALS patients is safe and feasible. The survival rate of the patients is more than IV autologous MSCs (Registration number: IRCT20080728001031N26).</p>","PeriodicalId":9692,"journal":{"name":"Cell Journal (Yakhteh)","volume":"41 1","pages":"772-778"},"PeriodicalIF":0.0000,"publicationDate":"2021-12-01","publicationTypes":"Journal Article","fieldsOfStudy":null,"isOpenAccess":false,"openAccessPdf":"https://www.ncbi.nlm.nih.gov/pmc/articles/PMC8753106/pdf/","citationCount":"0","resultStr":"{\"title\":\"Safety and Efficacy of Allogeneic Adipose Tissue Mesenchymal Stromal Cells in Amyotrophic Lateral Sclerosis Patients, Single-Center, Prospective, Open-Label, Single-Arm Clinical Trial, Long-Term Follow-up.\",\"authors\":\"Seyed Massood Nabavi, S Hahedeh Karimi, Leila Arab, Leila Sanjari, Soura Mardpour, Vajiheh Azimian, Neda Jarughi, Azadeh Ghaheri, Seyedeh-Esmat Hosseini, Nasser Aghdami, Massoud Vosough\",\"doi\":\"10.22074/cellj.2021.7984\",\"DOIUrl\":null,\"url\":null,\"abstract\":\"<p><p>Amyotrophic lateral sclerosis (ALS) is a fatal neurodegenerative disorder with very limited treatment options. Stem cells have been raised as a new treatment modality for these patients. We have designed a single-center, prospective, open-label, and single arm clinical trial to assess the safety, feasibility, and rather efficacy of administrating allogeneic adipose-derived mesenchymal stromal cells (Ad-MSCs) in ALS patients. We enrolled 17 patients with confirmed ALS diagnosis with ALS Functional Rating Scale-Revised (ALSFRS-R) ≥24 and predicted forced vital capacity (FVC) ≥40%. Allogeneic Ad-MSCs were transplanted intravenously for all patients. Follow-ups were done at 24 hours, 2, 4, 6, and 12 months after cell infusion by checking adverse events, laboratory tests, and clinically by ALSFRS-R and FVC. Patients were also followed five years later and ALSFRS-R score was recorded in the survived individuals. There was no report of severe adverse events related to cell infusion. Two patients experienced dyspnea and chest pain 36 and 65 days after cell infusion due to pulmonary emboli. The progressive decrease in ALSFRS-R and FVC levels was recorded and three patients died in the first year. During five years follow up, despite a notable decrease in functional scores, 5 patients survived. Intravenous (IV) infusion of allogeneic Ad-MSCs in ALS patients is safe and feasible. The survival rate of the patients is more than IV autologous MSCs (Registration number: IRCT20080728001031N26).</p>\",\"PeriodicalId\":9692,\"journal\":{\"name\":\"Cell Journal (Yakhteh)\",\"volume\":\"41 1\",\"pages\":\"772-778\"},\"PeriodicalIF\":0.0000,\"publicationDate\":\"2021-12-01\",\"publicationTypes\":\"Journal Article\",\"fieldsOfStudy\":null,\"isOpenAccess\":false,\"openAccessPdf\":\"https://www.ncbi.nlm.nih.gov/pmc/articles/PMC8753106/pdf/\",\"citationCount\":\"0\",\"resultStr\":null,\"platform\":\"Semanticscholar\",\"paperid\":null,\"PeriodicalName\":\"Cell Journal (Yakhteh)\",\"FirstCategoryId\":\"1085\",\"ListUrlMain\":\"https://doi.org/10.22074/cellj.2021.7984\",\"RegionNum\":0,\"RegionCategory\":null,\"ArticlePicture\":[],\"TitleCN\":null,\"AbstractTextCN\":null,\"PMCID\":null,\"EPubDate\":\"2021/12/29 0:00:00\",\"PubModel\":\"Epub\",\"JCR\":\"\",\"JCRName\":\"\",\"Score\":null,\"Total\":0}","platform":"Semanticscholar","paperid":null,"PeriodicalName":"Cell Journal (Yakhteh)","FirstCategoryId":"1085","ListUrlMain":"https://doi.org/10.22074/cellj.2021.7984","RegionNum":0,"RegionCategory":null,"ArticlePicture":[],"TitleCN":null,"AbstractTextCN":null,"PMCID":null,"EPubDate":"2021/12/29 0:00:00","PubModel":"Epub","JCR":"","JCRName":"","Score":null,"Total":0}
引用次数: 0

摘要

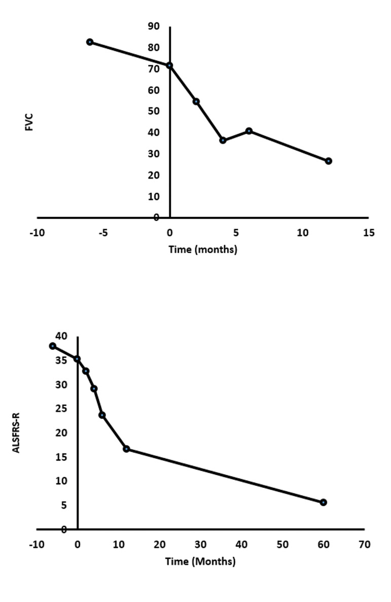
肌萎缩性侧索硬化症(ALS)是一种致命的神经退行性疾病,治疗方案非常有限。干细胞已被提出作为一种新的治疗方式。我们设计了一项单中心、前瞻性、开放标签、单臂临床试验,以评估同种异体脂肪源性间充质间质细胞(Ad-MSCs)治疗ALS患者的安全性、可行性和有效性。我们纳入了17例确诊为ALS的患者,ALS功能评定量表-修订版(ALSFRS-R)≥24,预测用力肺活量(FVC)≥40%。所有患者均静脉移植同种异体Ad-MSCs。分别于细胞输注后24小时、2、4、6、12个月进行随访,检查不良事件、实验室检查和临床ALSFRS-R和FVC。5年后对患者进行随访,记录存活个体的ALSFRS-R评分。没有与细胞输注相关的严重不良事件的报道。2例患者因肺栓塞在细胞输注后36天和65天出现呼吸困难和胸痛。ALSFRS-R和FVC水平逐渐下降,3例患者在第一年死亡。在5年的随访中,尽管功能评分明显下降,但仍有5例患者存活。静脉(IV)输注同种异体Ad-MSCs在ALS患者中是安全可行的。患者生存率高于IV自体MSCs(注册号:IRCT20080728001031N26)。
本文章由计算机程序翻译,如有差异,请以英文原文为准。

Safety and Efficacy of Allogeneic Adipose Tissue Mesenchymal Stromal Cells in Amyotrophic Lateral Sclerosis Patients, Single-Center, Prospective, Open-Label, Single-Arm Clinical Trial, Long-Term Follow-up.

Safety and Efficacy of Allogeneic Adipose Tissue Mesenchymal Stromal Cells in Amyotrophic Lateral Sclerosis Patients, Single-Center, Prospective, Open-Label, Single-Arm Clinical Trial, Long-Term Follow-up.

Safety and Efficacy of Allogeneic Adipose Tissue Mesenchymal Stromal Cells in Amyotrophic Lateral Sclerosis Patients, Single-Center, Prospective, Open-Label, Single-Arm Clinical Trial, Long-Term Follow-up.

Amyotrophic lateral sclerosis (ALS) is a fatal neurodegenerative disorder with very limited treatment options. Stem cells have been raised as a new treatment modality for these patients. We have designed a single-center, prospective, open-label, and single arm clinical trial to assess the safety, feasibility, and rather efficacy of administrating allogeneic adipose-derived mesenchymal stromal cells (Ad-MSCs) in ALS patients. We enrolled 17 patients with confirmed ALS diagnosis with ALS Functional Rating Scale-Revised (ALSFRS-R) ≥24 and predicted forced vital capacity (FVC) ≥40%. Allogeneic Ad-MSCs were transplanted intravenously for all patients. Follow-ups were done at 24 hours, 2, 4, 6, and 12 months after cell infusion by checking adverse events, laboratory tests, and clinically by ALSFRS-R and FVC. Patients were also followed five years later and ALSFRS-R score was recorded in the survived individuals. There was no report of severe adverse events related to cell infusion. Two patients experienced dyspnea and chest pain 36 and 65 days after cell infusion due to pulmonary emboli. The progressive decrease in ALSFRS-R and FVC levels was recorded and three patients died in the first year. During five years follow up, despite a notable decrease in functional scores, 5 patients survived. Intravenous (IV) infusion of allogeneic Ad-MSCs in ALS patients is safe and feasible. The survival rate of the patients is more than IV autologous MSCs (Registration number: IRCT20080728001031N26).

求助全文
通过发布文献求助,成功后即可免费获取论文全文。 去求助
来源期刊
自引率
0.00%
发文量
0
×
引用
GB/T 7714-2015
复制
MLA
复制
APA
复制
导出至
BibTeX EndNote RefMan NoteFirst NoteExpress
×
提示
您的信息不完整,为了账户安全,请先补充。
现在去补充
×
提示
您因"违规操作"
具体请查看互助需知
我知道了
×
提示
确定
请完成安全验证×
copy
已复制链接
快去分享给好友吧!
我知道了
右上角分享
点击右上角分享
0
联系我们:info@booksci.cn Book学术提供免费学术资源搜索服务,方便国内外学者检索中英文文献。致力于提供最便捷和优质的服务体验。 Copyright © 2023 布克学术 All rights reserved.
京ICP备2023020795号-1
ghs 京公网安备 11010802042870号
Book学术文献互助
Book学术文献互助群
群 号:604180095
Book学术官方微信