前体RNA中三通结纳米基的热力学稳定性。

Libraria Jurnal Perpustakaan Pub Date : 2017-04-01 Epub Date: 2017-01-09 DOI:10.1261/rna.059220.116
Alyssa C Hill, Susan J Schroeder
{"title":"前体RNA中三通结纳米基的热力学稳定性。","authors":"Alyssa C Hill, Susan J Schroeder","doi":"10.1261/rna.059220.116","DOIUrl":null,"url":null,"abstract":"<p><p>The thermodynamic stabilities of four natural prohead or packaging RNA (pRNA) three-way junction (3WJ) nanomotifs and seven phi29 pRNA 3WJ deletion mutant nanomotifs were investigated using UV optical melting on a three-component RNA system. Our data reveal that some pRNA 3WJs are more stable than the phi29 pRNA 3WJ. The stability of the 3WJ contributes to the unique self-assembly properties of pRNA. Thus, ultrastable pRNA 3WJ motifs suggest new scaffolds for pRNA-based nanotechnology. We present data demonstrating that pRNA 3WJs differentially respond to the presence of metal ions. A comparison of our data with free energies predicted by currently available RNA secondary structure prediction programs shows that these programs do not accurately predict multibranch loop stabilities. These results will expand the existing parameters used for RNA secondary structure prediction from sequence in order to better inform RNA structure-function hypotheses and guide the rational design of functional RNA supramolecular assemblies.</p>","PeriodicalId":55732,"journal":{"name":"Libraria Jurnal Perpustakaan","volume":"1 1","pages":"521-529"},"PeriodicalIF":0.0000,"publicationDate":"2017-04-01","publicationTypes":"Journal Article","fieldsOfStudy":null,"isOpenAccess":false,"openAccessPdf":"https://sci-hub-pdf.com/10.1261/rna.059220.116","citationCount":"12","resultStr":"{\"title\":\"Thermodynamic stabilities of three-way junction nanomotifs in prohead RNA.\",\"authors\":\"Alyssa C Hill, Susan J Schroeder\",\"doi\":\"10.1261/rna.059220.116\",\"DOIUrl\":null,\"url\":null,\"abstract\":\"<p><p>The thermodynamic stabilities of four natural prohead or packaging RNA (pRNA) three-way junction (3WJ) nanomotifs and seven phi29 pRNA 3WJ deletion mutant nanomotifs were investigated using UV optical melting on a three-component RNA system. Our data reveal that some pRNA 3WJs are more stable than the phi29 pRNA 3WJ. The stability of the 3WJ contributes to the unique self-assembly properties of pRNA. Thus, ultrastable pRNA 3WJ motifs suggest new scaffolds for pRNA-based nanotechnology. We present data demonstrating that pRNA 3WJs differentially respond to the presence of metal ions. A comparison of our data with free energies predicted by currently available RNA secondary structure prediction programs shows that these programs do not accurately predict multibranch loop stabilities. These results will expand the existing parameters used for RNA secondary structure prediction from sequence in order to better inform RNA structure-function hypotheses and guide the rational design of functional RNA supramolecular assemblies.</p>\",\"PeriodicalId\":55732,\"journal\":{\"name\":\"Libraria Jurnal Perpustakaan\",\"volume\":\"1 1\",\"pages\":\"521-529\"},\"PeriodicalIF\":0.0000,\"publicationDate\":\"2017-04-01\",\"publicationTypes\":\"Journal Article\",\"fieldsOfStudy\":null,\"isOpenAccess\":false,\"openAccessPdf\":\"https://sci-hub-pdf.com/10.1261/rna.059220.116\",\"citationCount\":\"12\",\"resultStr\":null,\"platform\":\"Semanticscholar\",\"paperid\":null,\"PeriodicalName\":\"Libraria Jurnal Perpustakaan\",\"FirstCategoryId\":\"99\",\"ListUrlMain\":\"https://doi.org/10.1261/rna.059220.116\",\"RegionNum\":0,\"RegionCategory\":null,\"ArticlePicture\":[],\"TitleCN\":null,\"AbstractTextCN\":null,\"PMCID\":null,\"EPubDate\":\"2017/1/9 0:00:00\",\"PubModel\":\"Epub\",\"JCR\":\"\",\"JCRName\":\"\",\"Score\":null,\"Total\":0}","platform":"Semanticscholar","paperid":null,"PeriodicalName":"Libraria Jurnal Perpustakaan","FirstCategoryId":"99","ListUrlMain":"https://doi.org/10.1261/rna.059220.116","RegionNum":0,"RegionCategory":null,"ArticlePicture":[],"TitleCN":null,"AbstractTextCN":null,"PMCID":null,"EPubDate":"2017/1/9 0:00:00","PubModel":"Epub","JCR":"","JCRName":"","Score":null,"Total":0}
引用次数: 12

摘要

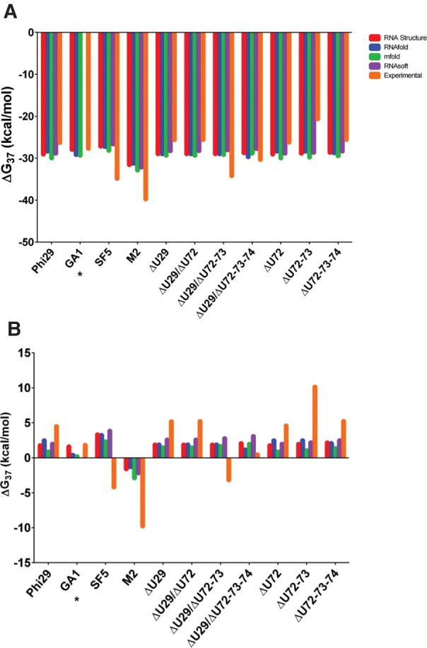
采用紫外光熔融法制备了4个天然前体或包装RNA (pRNA)三通结(3WJ)纳米基序和7个phi29 pRNA 3WJ缺失突变体纳米基序的热力学稳定性。我们的数据显示,一些pRNA 3WJ比phi29 pRNA 3WJ更稳定。3WJ的稳定性使得pRNA具有独特的自组装特性。因此,超稳定的pRNA 3WJ基序为基于pRNA的纳米技术提供了新的支架。我们提供的数据表明,pRNA 3WJs对金属离子的存在有不同的反应。我们的数据与目前可用的RNA二级结构预测程序预测的自由能的比较表明,这些程序不能准确地预测多分支环的稳定性。这些结果将扩展现有用于RNA二级结构预测的序列参数,以便更好地为RNA结构-功能假设提供信息,并指导功能性RNA超分子组件的合理设计。
本文章由计算机程序翻译,如有差异,请以英文原文为准。

Thermodynamic stabilities of three-way junction nanomotifs in prohead RNA.

Thermodynamic stabilities of three-way junction nanomotifs in prohead RNA.

Thermodynamic stabilities of three-way junction nanomotifs in prohead RNA.

Thermodynamic stabilities of three-way junction nanomotifs in prohead RNA.

The thermodynamic stabilities of four natural prohead or packaging RNA (pRNA) three-way junction (3WJ) nanomotifs and seven phi29 pRNA 3WJ deletion mutant nanomotifs were investigated using UV optical melting on a three-component RNA system. Our data reveal that some pRNA 3WJs are more stable than the phi29 pRNA 3WJ. The stability of the 3WJ contributes to the unique self-assembly properties of pRNA. Thus, ultrastable pRNA 3WJ motifs suggest new scaffolds for pRNA-based nanotechnology. We present data demonstrating that pRNA 3WJs differentially respond to the presence of metal ions. A comparison of our data with free energies predicted by currently available RNA secondary structure prediction programs shows that these programs do not accurately predict multibranch loop stabilities. These results will expand the existing parameters used for RNA secondary structure prediction from sequence in order to better inform RNA structure-function hypotheses and guide the rational design of functional RNA supramolecular assemblies.

求助全文
通过发布文献求助,成功后即可免费获取论文全文。 去求助
来源期刊
自引率
0.00%
发文量
0
审稿时长
24 weeks
×
引用
GB/T 7714-2015
复制
MLA
复制
APA
复制
导出至
BibTeX EndNote RefMan NoteFirst NoteExpress
×
提示
您的信息不完整,为了账户安全,请先补充。
现在去补充
×
提示
您因"违规操作"
具体请查看互助需知
我知道了
×
提示
确定
请完成安全验证×
copy
已复制链接
快去分享给好友吧!
我知道了
右上角分享
点击右上角分享
0
联系我们:info@booksci.cn Book学术提供免费学术资源搜索服务,方便国内外学者检索中英文文献。致力于提供最便捷和优质的服务体验。 Copyright © 2023 布克学术 All rights reserved.
京ICP备2023020795号-1
ghs 京公网安备 11010802042870号
Book学术文献互助
Book学术文献互助群
群 号:604180095
Book学术官方微信