兔(Oryctolagus cuniculus)羊膜干细胞的表型和多潜能性。

IF 2.781
Jéssica Borghesi, Lara Carolina Mario, Ana Claudia Oliveira Carreira, Maria Angélica Miglino, Phelipe Oliveira Favaron
{"title":"兔(Oryctolagus cuniculus)羊膜干细胞的表型和多潜能性。","authors":"Jéssica Borghesi, Lara Carolina Mario, Ana Claudia Oliveira Carreira, Maria Angélica Miglino, Phelipe Oliveira Favaron","doi":"10.1186/s13287-016-0468-z","DOIUrl":null,"url":null,"abstract":"<p><strong>Background: </strong>Stem cells are capable of unlimited self-renewal and are able to remain undifferentiated for extended periods of time prior to their differentiation into specific cell lineages. Because of the issues (ethical and religious) involved in the use of embryonic stem cells and the limited plasticity of adult stem cells, an alternative cell source could be foetal stem cells derived from extra-embryonic tissue, which are highly proliferative, grow in vitro and possess interesting immunogenic characteristics. As a result, the amniotic membrane of several species has been studied as an important new source of stem cells.</p><p><strong>Methods: </strong>Here, we cultured and characterized mesenchymal progenitor cells derived from the rabbit amniotic membrane, and investigated their differentiation potential. In total, amniotic membranes were collected from eight rabbit foetuses and were isolated by the explant technique. The obtained cells were cultured in DMEM-HIGH glucose and incubated at 37 °C in a humidified atmosphere with 5% CO<sub>2</sub>.</p><p><strong>Results: </strong>The cells adhered to the culture plates and showed a high proliferative capacity with fibroblast-like morphologies. The cells showed a positive response for markers for the cytoskeleton, mesenchymal stem cells and proliferation, pluripotency and haematopoietic precursor stem cells. However, the cells were negative for CD45, a marker of haematopoietic cells. Furthermore, the cells had the capacity to be induced to differentiate into osteogenic, adipogenic and chondrogenic lineages. In addition, when the cells were injected into nude mice, we did not observe the formation of tumours.</p><p><strong>Conclusions: </strong>In summary, our results demonstrate that multipotent mesenchymal stem cells can be obtained from the rabbit amniotic membrane for possible use in future cell therapy applications.</p>","PeriodicalId":58,"journal":{"name":"The Journal of Physical Chemistry ","volume":"100 30","pages":"27"},"PeriodicalIF":2.7810,"publicationDate":"2017-02-07","publicationTypes":"Journal Article","fieldsOfStudy":null,"isOpenAccess":false,"openAccessPdf":"https://www.ncbi.nlm.nih.gov/pmc/articles/PMC5297200/pdf/","citationCount":"0","resultStr":"{\"title\":\"Phenotype and multipotency of rabbit (Oryctolagus cuniculus) amniotic stem cells.\",\"authors\":\"Jéssica Borghesi, Lara Carolina Mario, Ana Claudia Oliveira Carreira, Maria Angélica Miglino, Phelipe Oliveira Favaron\",\"doi\":\"10.1186/s13287-016-0468-z\",\"DOIUrl\":null,\"url\":null,\"abstract\":\"<p><strong>Background: </strong>Stem cells are capable of unlimited self-renewal and are able to remain undifferentiated for extended periods of time prior to their differentiation into specific cell lineages. Because of the issues (ethical and religious) involved in the use of embryonic stem cells and the limited plasticity of adult stem cells, an alternative cell source could be foetal stem cells derived from extra-embryonic tissue, which are highly proliferative, grow in vitro and possess interesting immunogenic characteristics. As a result, the amniotic membrane of several species has been studied as an important new source of stem cells.</p><p><strong>Methods: </strong>Here, we cultured and characterized mesenchymal progenitor cells derived from the rabbit amniotic membrane, and investigated their differentiation potential. In total, amniotic membranes were collected from eight rabbit foetuses and were isolated by the explant technique. The obtained cells were cultured in DMEM-HIGH glucose and incubated at 37 °C in a humidified atmosphere with 5% CO<sub>2</sub>.</p><p><strong>Results: </strong>The cells adhered to the culture plates and showed a high proliferative capacity with fibroblast-like morphologies. The cells showed a positive response for markers for the cytoskeleton, mesenchymal stem cells and proliferation, pluripotency and haematopoietic precursor stem cells. However, the cells were negative for CD45, a marker of haematopoietic cells. Furthermore, the cells had the capacity to be induced to differentiate into osteogenic, adipogenic and chondrogenic lineages. In addition, when the cells were injected into nude mice, we did not observe the formation of tumours.</p><p><strong>Conclusions: </strong>In summary, our results demonstrate that multipotent mesenchymal stem cells can be obtained from the rabbit amniotic membrane for possible use in future cell therapy applications.</p>\",\"PeriodicalId\":58,\"journal\":{\"name\":\"The Journal of Physical Chemistry \",\"volume\":\"100 30\",\"pages\":\"27\"},\"PeriodicalIF\":2.7810,\"publicationDate\":\"2017-02-07\",\"publicationTypes\":\"Journal Article\",\"fieldsOfStudy\":null,\"isOpenAccess\":false,\"openAccessPdf\":\"https://www.ncbi.nlm.nih.gov/pmc/articles/PMC5297200/pdf/\",\"citationCount\":\"0\",\"resultStr\":null,\"platform\":\"Semanticscholar\",\"paperid\":null,\"PeriodicalName\":\"The Journal of Physical Chemistry \",\"FirstCategoryId\":\"3\",\"ListUrlMain\":\"https://doi.org/10.1186/s13287-016-0468-z\",\"RegionNum\":0,\"RegionCategory\":null,\"ArticlePicture\":[],\"TitleCN\":null,\"AbstractTextCN\":null,\"PMCID\":null,\"EPubDate\":\"\",\"PubModel\":\"\",\"JCR\":\"\",\"JCRName\":\"\",\"Score\":null,\"Total\":0}","platform":"Semanticscholar","paperid":null,"PeriodicalName":"The Journal of Physical Chemistry ","FirstCategoryId":"3","ListUrlMain":"https://doi.org/10.1186/s13287-016-0468-z","RegionNum":0,"RegionCategory":null,"ArticlePicture":[],"TitleCN":null,"AbstractTextCN":null,"PMCID":null,"EPubDate":"","PubModel":"","JCR":"","JCRName":"","Score":null,"Total":0}
引用次数: 0

摘要

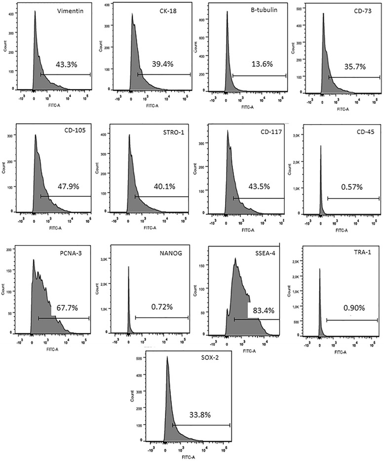
背景:干细胞具有无限自我更新的能力,在分化成特定细胞系之前,能够长时间保持未分化状态。由于使用胚胎干细胞涉及伦理和宗教问题,而且成体干细胞的可塑性有限,因此可从胚外组织中提取胎儿干细胞作为替代细胞来源,这种干细胞增殖能力强,可在体外生长,并具有有趣的免疫原性。方法:在此,我们培养了兔羊膜间充质祖细胞并对其特征进行了描述,还研究了它们的分化潜能。我们总共从 8 个兔胎儿身上采集了羊膜,并通过外植体技术将其分离出来。获得的细胞在 DMEM-高葡萄糖中培养,37 °C、5% CO2 的湿润环境中培养:结果:细胞粘附在培养板上,具有很强的增殖能力,形态类似成纤维细胞。细胞对细胞骨架、间充质干细胞和增殖、多能性和造血前体干细胞的标记呈阳性反应。不过,这些细胞的造血细胞标记 CD45 呈阴性。此外,这些细胞还具有诱导分化为成骨、成脂和软骨细胞系的能力。此外,将细胞注入裸鼠体内时,我们没有观察到肿瘤的形成:总之,我们的研究结果表明,可以从兔羊膜中获得多能间充质干细胞,可用于未来的细胞治疗。
本文章由计算机程序翻译,如有差异,请以英文原文为准。

Phenotype and multipotency of rabbit (Oryctolagus cuniculus) amniotic stem cells.

Phenotype and multipotency of rabbit (Oryctolagus cuniculus) amniotic stem cells.

Phenotype and multipotency of rabbit (Oryctolagus cuniculus) amniotic stem cells.

Phenotype and multipotency of rabbit (Oryctolagus cuniculus) amniotic stem cells.

Background: Stem cells are capable of unlimited self-renewal and are able to remain undifferentiated for extended periods of time prior to their differentiation into specific cell lineages. Because of the issues (ethical and religious) involved in the use of embryonic stem cells and the limited plasticity of adult stem cells, an alternative cell source could be foetal stem cells derived from extra-embryonic tissue, which are highly proliferative, grow in vitro and possess interesting immunogenic characteristics. As a result, the amniotic membrane of several species has been studied as an important new source of stem cells.

Methods: Here, we cultured and characterized mesenchymal progenitor cells derived from the rabbit amniotic membrane, and investigated their differentiation potential. In total, amniotic membranes were collected from eight rabbit foetuses and were isolated by the explant technique. The obtained cells were cultured in DMEM-HIGH glucose and incubated at 37 °C in a humidified atmosphere with 5% CO2.

Results: The cells adhered to the culture plates and showed a high proliferative capacity with fibroblast-like morphologies. The cells showed a positive response for markers for the cytoskeleton, mesenchymal stem cells and proliferation, pluripotency and haematopoietic precursor stem cells. However, the cells were negative for CD45, a marker of haematopoietic cells. Furthermore, the cells had the capacity to be induced to differentiate into osteogenic, adipogenic and chondrogenic lineages. In addition, when the cells were injected into nude mice, we did not observe the formation of tumours.

Conclusions: In summary, our results demonstrate that multipotent mesenchymal stem cells can be obtained from the rabbit amniotic membrane for possible use in future cell therapy applications.

求助全文
通过发布文献求助,成功后即可免费获取论文全文。 去求助
来源期刊
自引率
0.00%
发文量
0
×
引用
GB/T 7714-2015
复制
MLA
复制
APA
复制
导出至
BibTeX EndNote RefMan NoteFirst NoteExpress
×
提示
您的信息不完整,为了账户安全,请先补充。
现在去补充
×
提示
您因"违规操作"
具体请查看互助需知
我知道了
×
提示
确定
请完成安全验证×
copy
已复制链接
快去分享给好友吧!
我知道了
右上角分享
点击右上角分享
0
联系我们:info@booksci.cn Book学术提供免费学术资源搜索服务,方便国内外学者检索中英文文献。致力于提供最便捷和优质的服务体验。 Copyright © 2023 布克学术 All rights reserved.
京ICP备2023020795号-1
ghs 京公网安备 11010802042870号
Book学术文献互助
Book学术文献互助群
群 号:604180095
Book学术官方微信