使用蟒蛇支架修复主动脉瘤开窗术后随访第一年的肾和内脏动脉构型:心电图门控CTA扫描的前瞻性纵向多中心研究。

IF 1.5 2区 医学 Q3 PERIPHERAL VASCULAR DISEASE
Journal of Endovascular Therapy Pub Date : 2025-10-01 Epub Date: 2023-11-07 DOI:10.1177/15266028231209929
Jaimy A Simmering, Maaike A Koenrades, Cornelis H Slump, Erik Groot Jebbink, Clark J Zeebregts, Michel M P J Reijnen, Robert H Geelkerken
{"title":"使用蟒蛇支架修复主动脉瘤开窗术后随访第一年的肾和内脏动脉构型:心电图门控CTA扫描的前瞻性纵向多中心研究。","authors":"Jaimy A Simmering, Maaike A Koenrades, Cornelis H Slump, Erik Groot Jebbink, Clark J Zeebregts, Michel M P J Reijnen, Robert H Geelkerken","doi":"10.1177/15266028231209929","DOIUrl":null,"url":null,"abstract":"<p><strong>Objective: </strong>The performance of fenestrated endovascular aortic aneurysm repair (FEVAR) may be compromised by complications related to the dynamic vascular environment. The aim of this study was to analyze the behavior of FEVAR bridging stent configurations during the cardiac cycle and during follow-up to improve our understanding on treatment durability.</p><p><strong>Design: </strong>Twenty-one patients presenting with complex abdominal aortic aneurysms (AAAs; 9 juxtarenal/6 pararenal/3 paravisceral/1 thoracoabdominal aortic aneurysm type IV), treated with a fenestrated Anaconda (Terumo Aortic, Inchinnan, Scotland, UK) with Advanta V12 bridging stents (Getinge, Merrimack, NH, USA), were prospectively enrolled in a multicenter observational cohort study and underwent electrocardiogram (ECG)-gated computed tomographic angiography (CTA) preoperatively, at discharge, 7-week, and 12-month follow-ups.</p><p><strong>Methods: </strong>Fenestrated endovascular aortic aneurysm repair stability was assessed considering the following variables: branch angle as the angle between the aorta and the target artery, end-stent angle as the angle between the end of the bridging stent and the native artery downstream from it, curvature and tortuosity index (TI) to describe the bending of the target artery. Body-bridging stent stability was assessed considering bridging stent flare lengths, the distances between the proximal sealing stent-ring and fenestrations and the distance between the fenestration and first apposition in the target artery.</p><p><strong>Results: </strong>Renal branch angles significantly increased after FEVAR toward a perpendicular position (right renal artery from median 60.9°, inter quartile range [IQR]=44.2-84.9° preoperatively to 94.4°, IQR=72.6-99.8°, p=0.001 at 12-month follow-up; left renal artery [LRA], from 63.7°, IQR=55.0-73.0° to 94.3°, IQR=68.2-105.6°, p<0.001), while visceral branch angles did not. The mean dynamic curvature only decreased for the LRA from preoperative (3.0, IQR=2.2-3.8 m<sup>-1</sup>) to 12-month follow-up (1.9, IQR=1.4-2.6 m<sup>-1</sup>, p=0.027). The remaining investigated variables did not seem to show any changes over time in this cohort.</p><p><strong>Conclusions: </strong>Fenestrated endovascular aortic aneurysm repair for complex AAAs using the Anaconda fenestrated stent-graft and balloon-expandable Advanta V12 bridging stents demonstrated stable configurations up to 12-month follow-up, except for increasing renal branch angles toward perpendicular orientation to the aorta, yet without apparent clinical consequences in this cohort.Clinical ImpactThis study provides detailed information on the cardiac-pulsatility-induced (dynamic) and longitudinal geometry deformations of the target arteries and bridging stents after fenestrated endovascular aortic aneurysm repair (FEVAR) up to 12-month follow-up. The configuration demonstrated limited dynamic and longitudinal deformations in terms of branch angle, end-stent angle, curvature, and tortuosity index (TI), except for the increasing renal branch angles that go toward a perpendicular orientation to the aorta. Overall, the results suggest that the investigated FEVAR configurations are stable and durable, though careful consideration of increasing renal branch angles and significant geometry alterations is advised.</p>","PeriodicalId":50210,"journal":{"name":"Journal of Endovascular Therapy","volume":" ","pages":"1466-1477"},"PeriodicalIF":1.5000,"publicationDate":"2025-10-01","publicationTypes":"Journal Article","fieldsOfStudy":null,"isOpenAccess":false,"openAccessPdf":"https://www.ncbi.nlm.nih.gov/pmc/articles/PMC12433541/pdf/","citationCount":"0","resultStr":"{\"title\":\"Renal and Visceral Artery Configuration During the First Year of Follow-Up After Fenestrated Aortic Aneurysm Repair Using the Anaconda Stent-graft: A Prospective Longitudinal Multicenter Study With ECG-Gated CTA Scans.\",\"authors\":\"Jaimy A Simmering, Maaike A Koenrades, Cornelis H Slump, Erik Groot Jebbink, Clark J Zeebregts, Michel M P J Reijnen, Robert H Geelkerken\",\"doi\":\"10.1177/15266028231209929\",\"DOIUrl\":null,\"url\":null,\"abstract\":\"<p><strong>Objective: </strong>The performance of fenestrated endovascular aortic aneurysm repair (FEVAR) may be compromised by complications related to the dynamic vascular environment. The aim of this study was to analyze the behavior of FEVAR bridging stent configurations during the cardiac cycle and during follow-up to improve our understanding on treatment durability.</p><p><strong>Design: </strong>Twenty-one patients presenting with complex abdominal aortic aneurysms (AAAs; 9 juxtarenal/6 pararenal/3 paravisceral/1 thoracoabdominal aortic aneurysm type IV), treated with a fenestrated Anaconda (Terumo Aortic, Inchinnan, Scotland, UK) with Advanta V12 bridging stents (Getinge, Merrimack, NH, USA), were prospectively enrolled in a multicenter observational cohort study and underwent electrocardiogram (ECG)-gated computed tomographic angiography (CTA) preoperatively, at discharge, 7-week, and 12-month follow-ups.</p><p><strong>Methods: </strong>Fenestrated endovascular aortic aneurysm repair stability was assessed considering the following variables: branch angle as the angle between the aorta and the target artery, end-stent angle as the angle between the end of the bridging stent and the native artery downstream from it, curvature and tortuosity index (TI) to describe the bending of the target artery. Body-bridging stent stability was assessed considering bridging stent flare lengths, the distances between the proximal sealing stent-ring and fenestrations and the distance between the fenestration and first apposition in the target artery.</p><p><strong>Results: </strong>Renal branch angles significantly increased after FEVAR toward a perpendicular position (right renal artery from median 60.9°, inter quartile range [IQR]=44.2-84.9° preoperatively to 94.4°, IQR=72.6-99.8°, p=0.001 at 12-month follow-up; left renal artery [LRA], from 63.7°, IQR=55.0-73.0° to 94.3°, IQR=68.2-105.6°, p<0.001), while visceral branch angles did not. The mean dynamic curvature only decreased for the LRA from preoperative (3.0, IQR=2.2-3.8 m<sup>-1</sup>) to 12-month follow-up (1.9, IQR=1.4-2.6 m<sup>-1</sup>, p=0.027). The remaining investigated variables did not seem to show any changes over time in this cohort.</p><p><strong>Conclusions: </strong>Fenestrated endovascular aortic aneurysm repair for complex AAAs using the Anaconda fenestrated stent-graft and balloon-expandable Advanta V12 bridging stents demonstrated stable configurations up to 12-month follow-up, except for increasing renal branch angles toward perpendicular orientation to the aorta, yet without apparent clinical consequences in this cohort.Clinical ImpactThis study provides detailed information on the cardiac-pulsatility-induced (dynamic) and longitudinal geometry deformations of the target arteries and bridging stents after fenestrated endovascular aortic aneurysm repair (FEVAR) up to 12-month follow-up. The configuration demonstrated limited dynamic and longitudinal deformations in terms of branch angle, end-stent angle, curvature, and tortuosity index (TI), except for the increasing renal branch angles that go toward a perpendicular orientation to the aorta. Overall, the results suggest that the investigated FEVAR configurations are stable and durable, though careful consideration of increasing renal branch angles and significant geometry alterations is advised.</p>\",\"PeriodicalId\":50210,\"journal\":{\"name\":\"Journal of Endovascular Therapy\",\"volume\":\" \",\"pages\":\"1466-1477\"},\"PeriodicalIF\":1.5000,\"publicationDate\":\"2025-10-01\",\"publicationTypes\":\"Journal Article\",\"fieldsOfStudy\":null,\"isOpenAccess\":false,\"openAccessPdf\":\"https://www.ncbi.nlm.nih.gov/pmc/articles/PMC12433541/pdf/\",\"citationCount\":\"0\",\"resultStr\":null,\"platform\":\"Semanticscholar\",\"paperid\":null,\"PeriodicalName\":\"Journal of Endovascular Therapy\",\"FirstCategoryId\":\"3\",\"ListUrlMain\":\"https://doi.org/10.1177/15266028231209929\",\"RegionNum\":2,\"RegionCategory\":\"医学\",\"ArticlePicture\":[],\"TitleCN\":null,\"AbstractTextCN\":null,\"PMCID\":null,\"EPubDate\":\"2023/11/7 0:00:00\",\"PubModel\":\"Epub\",\"JCR\":\"Q3\",\"JCRName\":\"PERIPHERAL VASCULAR DISEASE\",\"Score\":null,\"Total\":0}","platform":"Semanticscholar","paperid":null,"PeriodicalName":"Journal of Endovascular Therapy","FirstCategoryId":"3","ListUrlMain":"https://doi.org/10.1177/15266028231209929","RegionNum":2,"RegionCategory":"医学","ArticlePicture":[],"TitleCN":null,"AbstractTextCN":null,"PMCID":null,"EPubDate":"2023/11/7 0:00:00","PubModel":"Epub","JCR":"Q3","JCRName":"PERIPHERAL VASCULAR DISEASE","Score":null,"Total":0}
引用次数: 0

摘要

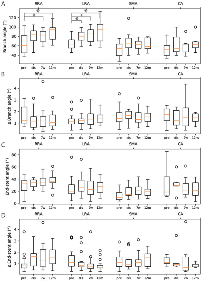
目的:开窗血管内主动脉瘤修复术(FEVAR)的性能可能会受到与动态血管环境相关的并发症的影响。本研究的目的是分析FEVAR桥接支架配置在心动周期和随访期间的行为,以提高我们对治疗耐久性的理解。设计:21名患有复杂腹主动脉瘤的患者(AAAs;9例肾旁/6例肾旁/3例内脏旁/1例胸腹主动脉瘤IV型),用开窗Anaconda(Terumo Aostic,Inchinnan,Scotland,UK)和Advanta V12桥接支架(Getinge,Merrimack,NH,USA)治疗,前瞻性地纳入一项多中心观察队列研究,并在术前、出院时、7周、,方法:考虑以下变量评估开窗血管内主动脉瘤修复的稳定性:分支角度是主动脉和靶动脉之间的角度,支架末端角度是桥接支架末端和其下游天然动脉之间的角,以描述目标动脉的弯曲。考虑桥接支架扩口长度、近端密封支架环和开窗之间的距离以及开窗和目标动脉中第一个附着物之间的距离,评估身体桥接支架的稳定性。结果:FEVAR后,肾支角度向垂直位置显著增加(右肾动脉从术前中位数60.9°,四分位间距[IQR]=44.2-84.9°到94.4°,IQR=72.6-99.8°,12个月随访时p=0.001;左肾动脉[LAR]从63.7°,IQR=55.0-73.0°到94.3°,IQR=68.2-105.6°,p-1)到12个月的随访(1.9,IQR=1.4-2.6 m-1,p=0.027)在这个队列中,其余的研究变量似乎没有显示出任何随时间的变化。结论:使用Anaconda开窗支架移植物和球囊可扩张Advanta V12桥接支架对复杂AAA进行开窗腔内主动脉瘤修复,在长达12个月的随访中表现出稳定的结构,除了向垂直于主动脉的方向增加肾支角度外,但在该队列中没有明显的临床后果。临床影响:本研究提供了关于开窗血管内主动脉瘤修复术(FEVAR)12个月随访后目标动脉和桥接支架的心脏搏动诱导(动态)和纵向几何变形的详细信息。该配置在分支角度、支架末端角度、曲率和弯曲指数(TI)方面表现出有限的动态和纵向变形,除了肾分支角度朝着与主动脉垂直的方向增加。总体而言,研究结果表明,所研究的FEVAR配置是稳定和持久的,尽管建议仔细考虑增加的肾分支角度和显著的几何结构改变。
本文章由计算机程序翻译,如有差异,请以英文原文为准。

Renal and Visceral Artery Configuration During the First Year of Follow-Up After Fenestrated Aortic Aneurysm Repair Using the Anaconda Stent-graft: A Prospective Longitudinal Multicenter Study With ECG-Gated CTA Scans.

Renal and Visceral Artery Configuration During the First Year of Follow-Up After Fenestrated Aortic Aneurysm Repair Using the Anaconda Stent-graft: A Prospective Longitudinal Multicenter Study With ECG-Gated CTA Scans.

Renal and Visceral Artery Configuration During the First Year of Follow-Up After Fenestrated Aortic Aneurysm Repair Using the Anaconda Stent-graft: A Prospective Longitudinal Multicenter Study With ECG-Gated CTA Scans.

Renal and Visceral Artery Configuration During the First Year of Follow-Up After Fenestrated Aortic Aneurysm Repair Using the Anaconda Stent-graft: A Prospective Longitudinal Multicenter Study With ECG-Gated CTA Scans.

Objective: The performance of fenestrated endovascular aortic aneurysm repair (FEVAR) may be compromised by complications related to the dynamic vascular environment. The aim of this study was to analyze the behavior of FEVAR bridging stent configurations during the cardiac cycle and during follow-up to improve our understanding on treatment durability.

Design: Twenty-one patients presenting with complex abdominal aortic aneurysms (AAAs; 9 juxtarenal/6 pararenal/3 paravisceral/1 thoracoabdominal aortic aneurysm type IV), treated with a fenestrated Anaconda (Terumo Aortic, Inchinnan, Scotland, UK) with Advanta V12 bridging stents (Getinge, Merrimack, NH, USA), were prospectively enrolled in a multicenter observational cohort study and underwent electrocardiogram (ECG)-gated computed tomographic angiography (CTA) preoperatively, at discharge, 7-week, and 12-month follow-ups.

Methods: Fenestrated endovascular aortic aneurysm repair stability was assessed considering the following variables: branch angle as the angle between the aorta and the target artery, end-stent angle as the angle between the end of the bridging stent and the native artery downstream from it, curvature and tortuosity index (TI) to describe the bending of the target artery. Body-bridging stent stability was assessed considering bridging stent flare lengths, the distances between the proximal sealing stent-ring and fenestrations and the distance between the fenestration and first apposition in the target artery.

Results: Renal branch angles significantly increased after FEVAR toward a perpendicular position (right renal artery from median 60.9°, inter quartile range [IQR]=44.2-84.9° preoperatively to 94.4°, IQR=72.6-99.8°, p=0.001 at 12-month follow-up; left renal artery [LRA], from 63.7°, IQR=55.0-73.0° to 94.3°, IQR=68.2-105.6°, p<0.001), while visceral branch angles did not. The mean dynamic curvature only decreased for the LRA from preoperative (3.0, IQR=2.2-3.8 m-1) to 12-month follow-up (1.9, IQR=1.4-2.6 m-1, p=0.027). The remaining investigated variables did not seem to show any changes over time in this cohort.

Conclusions: Fenestrated endovascular aortic aneurysm repair for complex AAAs using the Anaconda fenestrated stent-graft and balloon-expandable Advanta V12 bridging stents demonstrated stable configurations up to 12-month follow-up, except for increasing renal branch angles toward perpendicular orientation to the aorta, yet without apparent clinical consequences in this cohort.Clinical ImpactThis study provides detailed information on the cardiac-pulsatility-induced (dynamic) and longitudinal geometry deformations of the target arteries and bridging stents after fenestrated endovascular aortic aneurysm repair (FEVAR) up to 12-month follow-up. The configuration demonstrated limited dynamic and longitudinal deformations in terms of branch angle, end-stent angle, curvature, and tortuosity index (TI), except for the increasing renal branch angles that go toward a perpendicular orientation to the aorta. Overall, the results suggest that the investigated FEVAR configurations are stable and durable, though careful consideration of increasing renal branch angles and significant geometry alterations is advised.

求助全文
通过发布文献求助,成功后即可免费获取论文全文。 去求助
来源期刊
CiteScore
5.30
自引率
15.40%
发文量
203
审稿时长
6-12 weeks
期刊介绍: The Journal of Endovascular Therapy (formerly the Journal of Endovascular Surgery) was established in 1994 as a forum for all physicians, scientists, and allied healthcare professionals who are engaged or interested in peripheral endovascular techniques and technology. An official publication of the International Society of Endovascular Specialists (ISEVS), the Journal of Endovascular Therapy publishes peer-reviewed articles of interest to clinicians and researchers in the field of peripheral endovascular interventions.
×
引用
GB/T 7714-2015
复制
MLA
复制
APA
复制
导出至
BibTeX EndNote RefMan NoteFirst NoteExpress
×
提示
您的信息不完整,为了账户安全,请先补充。
现在去补充
×
提示
您因"违规操作"
具体请查看互助需知
我知道了
×
提示
确定
请完成安全验证×
copy
已复制链接
快去分享给好友吧!
我知道了
右上角分享
点击右上角分享
0
联系我们:info@booksci.cn Book学术提供免费学术资源搜索服务,方便国内外学者检索中英文文献。致力于提供最便捷和优质的服务体验。 Copyright © 2023 布克学术 All rights reserved.
京ICP备2023020795号-1
ghs 京公网安备 11010802042870号
Book学术文献互助
Book学术文献互助群
群 号:604180095
Book学术官方微信