使用突变特异性基因分型方法评估博茨瓦纳抗逆转录病毒治疗无效的 HIV-1 C 亚型感染者的 HIV-1 耐药性。

Q2 Multidisciplinary
AAS Open Research Pub Date : 2021-05-07 eCollection Date: 2020-01-01 DOI:10.12688/aasopenres.13107.2
Dorcas Maruapula, Iain J MacLeod, Sikhulile Moyo, Rosemary Musonda, Kaelo Seatla, Kesaobaka Molebatsi, Melvin Leteane, Max Essex, Simani Gaseitsiwe, Christopher F Rowley
{"title":"使用突变特异性基因分型方法评估博茨瓦纳抗逆转录病毒治疗无效的 HIV-1 C 亚型感染者的 HIV-1 耐药性。","authors":"Dorcas Maruapula, Iain J MacLeod, Sikhulile Moyo, Rosemary Musonda, Kaelo Seatla, Kesaobaka Molebatsi, Melvin Leteane, Max Essex, Simani Gaseitsiwe, Christopher F Rowley","doi":"10.12688/aasopenres.13107.2","DOIUrl":null,"url":null,"abstract":"<p><p><b>Background:</b> HIV-1 drug resistance poses a major threat to the success of antiretroviral therapy. The high costs of available HIV drug resistance assays prohibit their routine usage in resource-limited settings. Pan-degenerate amplification and adaptation (PANDAA), a focused genotyping approach based on quantitative PCR (qPCR), promises a fast and cost-effective way to detect HIV drug resistance mutations (HIVDRMs).  Given the high cost of current genotyping methods, we sought to use PANDAA for screening key HIVDRMs in antiretroviral-naïve individuals at codons 103, 106 and 184 of the HIV-1 reverse transcriptase gene. Mutations selected at these positions have been shown to be the most common driver mutations in treatment failure.  <b>Methods:</b> A total of 103 samples from antiretroviral-naïve individuals previously genotyped by Sanger population sequencing were used to assess and verify the performance of PANDAA. PANDAA samples were run on the ABI 7500 Sequence Detection System to genotype the K103N, V106M and M184V HIVDRMs. In addition, the cost per sample and reaction times were compared. <b>Results:</b> Sanger population sequencing and PANDAA detected K103N mutation in three (2.9%) out of 103 participants.  There was no evidence of baseline V106M and M184V mutations observed in our study. To genotype the six HIVDRMs it costs approximately 40 USD using PANDAA, while the reagents cost per test for Sanger population sequencing is approximately 100 USD per sample. PANDAA was performed quicker compared to Sanger sequencing, 2 hours for PANDAA versus 15 hours for Sanger sequencing. <b>Conclusion:</b> The performance of PANDAA and Sanger population sequencing demonstrated complete concordance. PANDAA could improve patient management by providing quick and relatively cheap access to drug-resistance information.</p>","PeriodicalId":34179,"journal":{"name":"AAS Open Research","volume":"3 1","pages":"50"},"PeriodicalIF":0.0000,"publicationDate":"2021-05-07","publicationTypes":"Journal Article","fieldsOfStudy":null,"isOpenAccess":false,"openAccessPdf":"https://www.ncbi.nlm.nih.gov/pmc/articles/PMC8112461/pdf/","citationCount":"0","resultStr":"{\"title\":\"Use of a mutation-specific genotyping method to assess for HIV-1 drug resistance in antiretroviral-naïve HIV-1 Subtype C-infected patients in Botswana.\",\"authors\":\"Dorcas Maruapula, Iain J MacLeod, Sikhulile Moyo, Rosemary Musonda, Kaelo Seatla, Kesaobaka Molebatsi, Melvin Leteane, Max Essex, Simani Gaseitsiwe, Christopher F Rowley\",\"doi\":\"10.12688/aasopenres.13107.2\",\"DOIUrl\":null,\"url\":null,\"abstract\":\"<p><p><b>Background:</b> HIV-1 drug resistance poses a major threat to the success of antiretroviral therapy. The high costs of available HIV drug resistance assays prohibit their routine usage in resource-limited settings. Pan-degenerate amplification and adaptation (PANDAA), a focused genotyping approach based on quantitative PCR (qPCR), promises a fast and cost-effective way to detect HIV drug resistance mutations (HIVDRMs).  Given the high cost of current genotyping methods, we sought to use PANDAA for screening key HIVDRMs in antiretroviral-naïve individuals at codons 103, 106 and 184 of the HIV-1 reverse transcriptase gene. Mutations selected at these positions have been shown to be the most common driver mutations in treatment failure.  <b>Methods:</b> A total of 103 samples from antiretroviral-naïve individuals previously genotyped by Sanger population sequencing were used to assess and verify the performance of PANDAA. PANDAA samples were run on the ABI 7500 Sequence Detection System to genotype the K103N, V106M and M184V HIVDRMs. In addition, the cost per sample and reaction times were compared. <b>Results:</b> Sanger population sequencing and PANDAA detected K103N mutation in three (2.9%) out of 103 participants.  There was no evidence of baseline V106M and M184V mutations observed in our study. To genotype the six HIVDRMs it costs approximately 40 USD using PANDAA, while the reagents cost per test for Sanger population sequencing is approximately 100 USD per sample. PANDAA was performed quicker compared to Sanger sequencing, 2 hours for PANDAA versus 15 hours for Sanger sequencing. <b>Conclusion:</b> The performance of PANDAA and Sanger population sequencing demonstrated complete concordance. PANDAA could improve patient management by providing quick and relatively cheap access to drug-resistance information.</p>\",\"PeriodicalId\":34179,\"journal\":{\"name\":\"AAS Open Research\",\"volume\":\"3 1\",\"pages\":\"50\"},\"PeriodicalIF\":0.0000,\"publicationDate\":\"2021-05-07\",\"publicationTypes\":\"Journal Article\",\"fieldsOfStudy\":null,\"isOpenAccess\":false,\"openAccessPdf\":\"https://www.ncbi.nlm.nih.gov/pmc/articles/PMC8112461/pdf/\",\"citationCount\":\"0\",\"resultStr\":null,\"platform\":\"Semanticscholar\",\"paperid\":null,\"PeriodicalName\":\"AAS Open Research\",\"FirstCategoryId\":\"1085\",\"ListUrlMain\":\"https://doi.org/10.12688/aasopenres.13107.2\",\"RegionNum\":0,\"RegionCategory\":null,\"ArticlePicture\":[],\"TitleCN\":null,\"AbstractTextCN\":null,\"PMCID\":null,\"EPubDate\":\"2020/1/1 0:00:00\",\"PubModel\":\"eCollection\",\"JCR\":\"Q2\",\"JCRName\":\"Multidisciplinary\",\"Score\":null,\"Total\":0}","platform":"Semanticscholar","paperid":null,"PeriodicalName":"AAS Open Research","FirstCategoryId":"1085","ListUrlMain":"https://doi.org/10.12688/aasopenres.13107.2","RegionNum":0,"RegionCategory":null,"ArticlePicture":[],"TitleCN":null,"AbstractTextCN":null,"PMCID":null,"EPubDate":"2020/1/1 0:00:00","PubModel":"eCollection","JCR":"Q2","JCRName":"Multidisciplinary","Score":null,"Total":0}
引用次数: 0

摘要

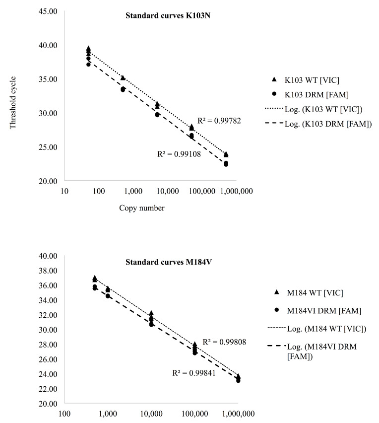
背景:HIV-1 耐药性是抗逆转录病毒疗法成功的主要威胁。现有的 HIV 耐药性检测方法成本高昂,无法在资源有限的环境中常规使用。泛变异扩增和适应(PANDAA)是一种基于定量 PCR(qPCR)的重点基因分型方法,有望成为检测 HIV 耐药性突变(HIVDRMs)的一种快速、经济有效的方法。 鉴于目前的基因分型方法成本高昂,我们试图利用 PANDAA 在 HIV-1 逆转录酶基因的 103、106 和 184 号密码子上筛选抗逆转录病毒免疫个体中的关键 HIVDRMs。这些位置上的突变已被证明是导致治疗失败的最常见驱动突变。 研究方法为了评估和验证 PANDAA 的性能,共使用了 103 份先前通过 Sanger 群体测序进行基因分型的抗逆转录病毒免疫个体样本。PANDAA 样本在 ABI 7500 序列检测系统上运行,对 K103N、V106M 和 M184V HIVDRM 进行基因分型。此外,还比较了每个样本的成本和反应时间。结果桑格群体测序和 PANDAA 检测出 103 名参与者中有 3 人(2.9%)存在 K103N 突变。 在我们的研究中没有发现基线 V106M 和 M184V 突变。使用 PANDAA 对 6 个 HIVDRMs 进行基因分型的成本约为 40 美元,而 Sanger 群体测序每次测试的试剂成本约为每个样本 100 美元。与 Sanger 测序相比,PANDAA 的操作速度更快,PANDAA 只需 2 个小时,而 Sanger 测序则需要 15 个小时。结论PANDAA 和 Sanger 群体测序的性能完全一致。PANDAA 可以快速、相对便宜地获取耐药性信息,从而改善患者管理。
本文章由计算机程序翻译,如有差异,请以英文原文为准。

Use of a mutation-specific genotyping method to assess for HIV-1 drug resistance in antiretroviral-naïve HIV-1 Subtype C-infected patients in Botswana.

Use of a mutation-specific genotyping method to assess for HIV-1 drug resistance in antiretroviral-naïve HIV-1 Subtype C-infected patients in Botswana.

Use of a mutation-specific genotyping method to assess for HIV-1 drug resistance in antiretroviral-naïve HIV-1 Subtype C-infected patients in Botswana.

Use of a mutation-specific genotyping method to assess for HIV-1 drug resistance in antiretroviral-naïve HIV-1 Subtype C-infected patients in Botswana.

Background: HIV-1 drug resistance poses a major threat to the success of antiretroviral therapy. The high costs of available HIV drug resistance assays prohibit their routine usage in resource-limited settings. Pan-degenerate amplification and adaptation (PANDAA), a focused genotyping approach based on quantitative PCR (qPCR), promises a fast and cost-effective way to detect HIV drug resistance mutations (HIVDRMs).  Given the high cost of current genotyping methods, we sought to use PANDAA for screening key HIVDRMs in antiretroviral-naïve individuals at codons 103, 106 and 184 of the HIV-1 reverse transcriptase gene. Mutations selected at these positions have been shown to be the most common driver mutations in treatment failure.  Methods: A total of 103 samples from antiretroviral-naïve individuals previously genotyped by Sanger population sequencing were used to assess and verify the performance of PANDAA. PANDAA samples were run on the ABI 7500 Sequence Detection System to genotype the K103N, V106M and M184V HIVDRMs. In addition, the cost per sample and reaction times were compared. Results: Sanger population sequencing and PANDAA detected K103N mutation in three (2.9%) out of 103 participants.  There was no evidence of baseline V106M and M184V mutations observed in our study. To genotype the six HIVDRMs it costs approximately 40 USD using PANDAA, while the reagents cost per test for Sanger population sequencing is approximately 100 USD per sample. PANDAA was performed quicker compared to Sanger sequencing, 2 hours for PANDAA versus 15 hours for Sanger sequencing. Conclusion: The performance of PANDAA and Sanger population sequencing demonstrated complete concordance. PANDAA could improve patient management by providing quick and relatively cheap access to drug-resistance information.

求助全文
通过发布文献求助,成功后即可免费获取论文全文。 去求助
来源期刊
AAS Open Research
AAS Open Research Multidisciplinary-Multidisciplinary
CiteScore
2.90
自引率
0.00%
发文量
16
审稿时长
6 weeks
×
引用
GB/T 7714-2015
复制
MLA
复制
APA
复制
导出至
BibTeX EndNote RefMan NoteFirst NoteExpress
×
提示
您的信息不完整,为了账户安全,请先补充。
现在去补充
×
提示
您因"违规操作"
具体请查看互助需知
我知道了
×
提示
确定
请完成安全验证×
copy
已复制链接
快去分享给好友吧!
我知道了
右上角分享
点击右上角分享
0
联系我们:info@booksci.cn Book学术提供免费学术资源搜索服务,方便国内外学者检索中英文文献。致力于提供最便捷和优质的服务体验。 Copyright © 2023 布克学术 All rights reserved.
京ICP备2023020795号-1
ghs 京公网安备 11010802042870号
Book学术文献互助
Book学术文献互助群
群 号:604180095
Book学术官方微信