德国死亡供体和移植前受体参数对早期肾移植总存活率的影响

IF 2.2 Q3 SURGERY
Journal of Transplantation Pub Date : 2015-01-01 Epub Date: 2015-10-11 DOI:10.1155/2015/307230
Carl-Ludwig Fischer-Fröhlich, Marcus Kutschmann, Johanna Feindt, Irene Schmidtmann, Günter Kirste, Nils R Frühauf, Ulrike Wirges, Axel Rahmel, Christina Schleicher
{"title":"德国死亡供体和移植前受体参数对早期肾移植总存活率的影响","authors":"Carl-Ludwig Fischer-Fröhlich, Marcus Kutschmann, Johanna Feindt, Irene Schmidtmann, Günter Kirste, Nils R Frühauf, Ulrike Wirges, Axel Rahmel, Christina Schleicher","doi":"10.1155/2015/307230","DOIUrl":null,"url":null,"abstract":"<p><p>Background. Scarcity of grafts for kidney transplantation (KTX) caused an increased consideration of deceased donors with substantial risk factors. There is no agreement on which ones are detrimental for overall graft-survival. Therefore, we investigated in a nationwide multicentre study the impact of donor and recipient related risks known before KTX on graft-survival based on the original data used for allocation and graft acceptance. Methods. A nationwide deidentified multicenter study-database was created of data concerning kidneys donated and transplanted in Germany between 2006 and 2008 as provided by the national organ procurement organization (Deutsche Stiftung Organtransplantation) and BQS Institute. Multiple Cox regression (significance level 5%, hazard ratio [95% CI]) was conducted (n = 4411, isolated KTX). Results. Risk factors associated with graft-survival were donor age (1.020 [1.013-1.027] per year), donor size (0.985 [0.977-0.993] per cm), donor's creatinine at admission (1.002 [1.001-1.004] per µmol/L), donor treatment with catecholamine (0.757 [0.635-0.901]), and reduced graft-quality at procurement (1.549 [1.217-1.973]), as well as recipient age (1.012 [1.003-1.021] per year), actual panel reactive antibodies (1.007 [1.002-1.011] per percent), retransplantation (1.850 [1.484-2.306]), recipient's cardiovascular comorbidity (1.436 [1.212-1.701]), and use of IL2-receptor antibodies for induction (0.741 [0.619-0.887]). Conclusion. Some donor characteristics persist to impact graft-survival (e.g., age) while the effect of others could be mitigated by elaborate donor-recipient match and care. </p>","PeriodicalId":45795,"journal":{"name":"Journal of Transplantation","volume":"2015 1","pages":"307230"},"PeriodicalIF":2.2000,"publicationDate":"2015-01-01","publicationTypes":"Journal Article","fieldsOfStudy":null,"isOpenAccess":false,"openAccessPdf":"https://www.ncbi.nlm.nih.gov/pmc/articles/PMC4619958/pdf/","citationCount":"0","resultStr":"{\"title\":\"Influence of Deceased Donor and Pretransplant Recipient Parameters on Early Overall Kidney Graft-Survival in Germany.\",\"authors\":\"Carl-Ludwig Fischer-Fröhlich, Marcus Kutschmann, Johanna Feindt, Irene Schmidtmann, Günter Kirste, Nils R Frühauf, Ulrike Wirges, Axel Rahmel, Christina Schleicher\",\"doi\":\"10.1155/2015/307230\",\"DOIUrl\":null,\"url\":null,\"abstract\":\"<p><p>Background. Scarcity of grafts for kidney transplantation (KTX) caused an increased consideration of deceased donors with substantial risk factors. There is no agreement on which ones are detrimental for overall graft-survival. Therefore, we investigated in a nationwide multicentre study the impact of donor and recipient related risks known before KTX on graft-survival based on the original data used for allocation and graft acceptance. Methods. A nationwide deidentified multicenter study-database was created of data concerning kidneys donated and transplanted in Germany between 2006 and 2008 as provided by the national organ procurement organization (Deutsche Stiftung Organtransplantation) and BQS Institute. Multiple Cox regression (significance level 5%, hazard ratio [95% CI]) was conducted (n = 4411, isolated KTX). Results. Risk factors associated with graft-survival were donor age (1.020 [1.013-1.027] per year), donor size (0.985 [0.977-0.993] per cm), donor's creatinine at admission (1.002 [1.001-1.004] per µmol/L), donor treatment with catecholamine (0.757 [0.635-0.901]), and reduced graft-quality at procurement (1.549 [1.217-1.973]), as well as recipient age (1.012 [1.003-1.021] per year), actual panel reactive antibodies (1.007 [1.002-1.011] per percent), retransplantation (1.850 [1.484-2.306]), recipient's cardiovascular comorbidity (1.436 [1.212-1.701]), and use of IL2-receptor antibodies for induction (0.741 [0.619-0.887]). Conclusion. Some donor characteristics persist to impact graft-survival (e.g., age) while the effect of others could be mitigated by elaborate donor-recipient match and care. </p>\",\"PeriodicalId\":45795,\"journal\":{\"name\":\"Journal of Transplantation\",\"volume\":\"2015 1\",\"pages\":\"307230\"},\"PeriodicalIF\":2.2000,\"publicationDate\":\"2015-01-01\",\"publicationTypes\":\"Journal Article\",\"fieldsOfStudy\":null,\"isOpenAccess\":false,\"openAccessPdf\":\"https://www.ncbi.nlm.nih.gov/pmc/articles/PMC4619958/pdf/\",\"citationCount\":\"0\",\"resultStr\":null,\"platform\":\"Semanticscholar\",\"paperid\":null,\"PeriodicalName\":\"Journal of Transplantation\",\"FirstCategoryId\":\"1085\",\"ListUrlMain\":\"https://doi.org/10.1155/2015/307230\",\"RegionNum\":0,\"RegionCategory\":null,\"ArticlePicture\":[],\"TitleCN\":null,\"AbstractTextCN\":null,\"PMCID\":null,\"EPubDate\":\"2015/10/11 0:00:00\",\"PubModel\":\"Epub\",\"JCR\":\"Q3\",\"JCRName\":\"SURGERY\",\"Score\":null,\"Total\":0}","platform":"Semanticscholar","paperid":null,"PeriodicalName":"Journal of Transplantation","FirstCategoryId":"1085","ListUrlMain":"https://doi.org/10.1155/2015/307230","RegionNum":0,"RegionCategory":null,"ArticlePicture":[],"TitleCN":null,"AbstractTextCN":null,"PMCID":null,"EPubDate":"2015/10/11 0:00:00","PubModel":"Epub","JCR":"Q3","JCRName":"SURGERY","Score":null,"Total":0}
引用次数: 0

摘要

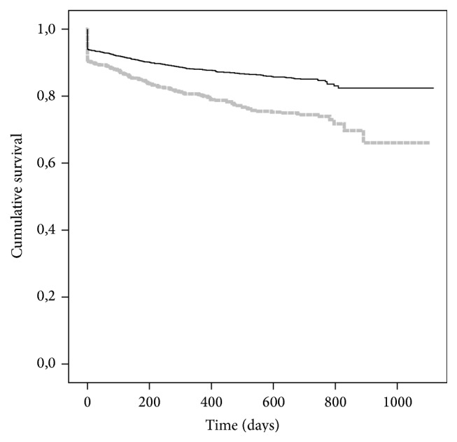
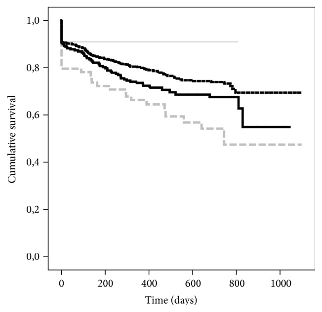
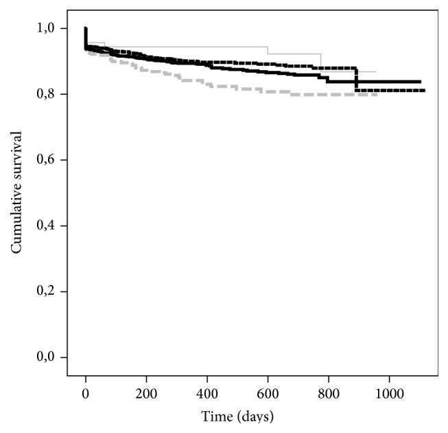
背景。肾移植(KTX)移植物的稀缺导致人们越来越多地考虑具有重大风险因素的已故供体。关于哪些因素对移植物的整体存活不利,目前还没有达成一致意见。因此,我们在一项全国性多中心研究中,根据用于分配和接受移植物的原始数据,调查了 KTX 之前已知的供体和受体相关风险对移植物存活率的影响。研究方法根据德国国家器官移植组织(Deutsche Stiftung Organtransplantation)和BQS研究所提供的2006年至2008年间德国肾脏捐献和移植的相关数据,建立了一个全国性的去身份化多中心研究数据库。进行了多元 Cox 回归(显著性水平为 5%,危险比 [95% CI])(n = 4411,孤立 KTX)。结果与移植物存活率相关的风险因素有:供体年龄(1.020 [1.013-1.027] /年)、供体大小(0.985 [0.977-0.993] /厘米)、供体入院时的肌酐(1.002 [1.001-1.004] /微摩尔/升)、供体接受儿茶酚胺治疗(0.757 [0.635-0.901] /年)、获取时移植物质量下降(1.549 [1.217-1.973]),以及受体年龄(1.012 [1.003-1.021] 年)、实际面板反应性抗体(1.007 [1.002-1.011] 百分比)、再移植(1.850[1.484-2.306])、受者的心血管合并症(1.436[1.212-1.701])和使用 IL2 受体抗体诱导(0.741[0.619-0.887])。结论某些供体特征(如年龄)会持续影响移植物存活率,而其他特征的影响则可以通过精心的供体-受体匹配和护理来减轻。
本文章由计算机程序翻译,如有差异,请以英文原文为准。

Influence of Deceased Donor and Pretransplant Recipient Parameters on Early Overall Kidney Graft-Survival in Germany.

Influence of Deceased Donor and Pretransplant Recipient Parameters on Early Overall Kidney Graft-Survival in Germany.

Influence of Deceased Donor and Pretransplant Recipient Parameters on Early Overall Kidney Graft-Survival in Germany.

Influence of Deceased Donor and Pretransplant Recipient Parameters on Early Overall Kidney Graft-Survival in Germany.

Background. Scarcity of grafts for kidney transplantation (KTX) caused an increased consideration of deceased donors with substantial risk factors. There is no agreement on which ones are detrimental for overall graft-survival. Therefore, we investigated in a nationwide multicentre study the impact of donor and recipient related risks known before KTX on graft-survival based on the original data used for allocation and graft acceptance. Methods. A nationwide deidentified multicenter study-database was created of data concerning kidneys donated and transplanted in Germany between 2006 and 2008 as provided by the national organ procurement organization (Deutsche Stiftung Organtransplantation) and BQS Institute. Multiple Cox regression (significance level 5%, hazard ratio [95% CI]) was conducted (n = 4411, isolated KTX). Results. Risk factors associated with graft-survival were donor age (1.020 [1.013-1.027] per year), donor size (0.985 [0.977-0.993] per cm), donor's creatinine at admission (1.002 [1.001-1.004] per µmol/L), donor treatment with catecholamine (0.757 [0.635-0.901]), and reduced graft-quality at procurement (1.549 [1.217-1.973]), as well as recipient age (1.012 [1.003-1.021] per year), actual panel reactive antibodies (1.007 [1.002-1.011] per percent), retransplantation (1.850 [1.484-2.306]), recipient's cardiovascular comorbidity (1.436 [1.212-1.701]), and use of IL2-receptor antibodies for induction (0.741 [0.619-0.887]). Conclusion. Some donor characteristics persist to impact graft-survival (e.g., age) while the effect of others could be mitigated by elaborate donor-recipient match and care.

求助全文
通过发布文献求助,成功后即可免费获取论文全文。 去求助
来源期刊
自引率
4.00%
发文量
5
审稿时长
16 weeks
×
引用
GB/T 7714-2015
复制
MLA
复制
APA
复制
导出至
BibTeX EndNote RefMan NoteFirst NoteExpress
×
提示
您的信息不完整,为了账户安全,请先补充。
现在去补充
×
提示
您因"违规操作"
具体请查看互助需知
我知道了
×
提示
确定
请完成安全验证×
copy
已复制链接
快去分享给好友吧!
我知道了
右上角分享
点击右上角分享
0
联系我们:info@booksci.cn Book学术提供免费学术资源搜索服务,方便国内外学者检索中英文文献。致力于提供最便捷和优质的服务体验。 Copyright © 2023 布克学术 All rights reserved.
京ICP备2023020795号-1
ghs 京公网安备 11010802042870号
Book学术文献互助
Book学术文献互助群
群 号:604180095
Book学术官方微信