具有Bregman距离的牛顿法梯度正则化

IF 2.5 2区 数学 Q2 COMPUTER SCIENCE, SOFTWARE ENGINEERING
Mathematical Programming Pub Date : 2024-01-01 Epub Date: 2023-03-24 DOI:10.1007/s10107-023-01943-7
Nikita Doikov, Yurii Nesterov
{"title":"具有Bregman距离的牛顿法梯度正则化","authors":"Nikita Doikov, Yurii Nesterov","doi":"10.1007/s10107-023-01943-7","DOIUrl":null,"url":null,"abstract":"<p><p>In this paper, we propose a first second-order scheme based on arbitrary non-Euclidean norms, incorporated by Bregman distances. They are introduced directly in the Newton iterate with regularization parameter proportional to the square root of the norm of the current gradient. For the basic scheme, as applied to the composite convex optimization problem, we establish the global convergence rate of the order <math><mrow><mi>O</mi><mo>(</mo><msup><mi>k</mi><mrow><mo>-</mo><mn>2</mn></mrow></msup><mo>)</mo></mrow></math> both in terms of the functional residual and in the norm of subgradients. Our main assumption on the smooth part of the objective is Lipschitz continuity of its Hessian. For uniformly convex functions of degree three, we justify global linear rate, and for strongly convex function we prove the local superlinear rate of convergence. Our approach can be seen as a relaxation of the Cubic Regularization of the Newton method (Nesterov and Polyak in Math Program 108(1):177-205, 2006) for convex minimization problems. This relaxation preserves the convergence properties and global complexities of the Cubic Newton in convex case, while the auxiliary subproblem at each iteration is simpler. We equip our method with adaptive search procedure for choosing the regularization parameter. We propose also an accelerated scheme with convergence rate <math><mrow><mi>O</mi><mo>(</mo><msup><mi>k</mi><mrow><mo>-</mo><mn>3</mn></mrow></msup><mo>)</mo></mrow></math>, where <i>k</i> is the iteration counter.</p>","PeriodicalId":18297,"journal":{"name":"Mathematical Programming","volume":"1 1","pages":"1-25"},"PeriodicalIF":2.5000,"publicationDate":"2024-01-01","publicationTypes":"Journal Article","fieldsOfStudy":null,"isOpenAccess":false,"openAccessPdf":"https://www.ncbi.nlm.nih.gov/pmc/articles/PMC10869408/pdf/","citationCount":"0","resultStr":"{\"title\":\"Gradient regularization of Newton method with Bregman distances.\",\"authors\":\"Nikita Doikov, Yurii Nesterov\",\"doi\":\"10.1007/s10107-023-01943-7\",\"DOIUrl\":null,\"url\":null,\"abstract\":\"<p><p>In this paper, we propose a first second-order scheme based on arbitrary non-Euclidean norms, incorporated by Bregman distances. They are introduced directly in the Newton iterate with regularization parameter proportional to the square root of the norm of the current gradient. For the basic scheme, as applied to the composite convex optimization problem, we establish the global convergence rate of the order <math><mrow><mi>O</mi><mo>(</mo><msup><mi>k</mi><mrow><mo>-</mo><mn>2</mn></mrow></msup><mo>)</mo></mrow></math> both in terms of the functional residual and in the norm of subgradients. Our main assumption on the smooth part of the objective is Lipschitz continuity of its Hessian. For uniformly convex functions of degree three, we justify global linear rate, and for strongly convex function we prove the local superlinear rate of convergence. Our approach can be seen as a relaxation of the Cubic Regularization of the Newton method (Nesterov and Polyak in Math Program 108(1):177-205, 2006) for convex minimization problems. This relaxation preserves the convergence properties and global complexities of the Cubic Newton in convex case, while the auxiliary subproblem at each iteration is simpler. We equip our method with adaptive search procedure for choosing the regularization parameter. We propose also an accelerated scheme with convergence rate <math><mrow><mi>O</mi><mo>(</mo><msup><mi>k</mi><mrow><mo>-</mo><mn>3</mn></mrow></msup><mo>)</mo></mrow></math>, where <i>k</i> is the iteration counter.</p>\",\"PeriodicalId\":18297,\"journal\":{\"name\":\"Mathematical Programming\",\"volume\":\"1 1\",\"pages\":\"1-25\"},\"PeriodicalIF\":2.5000,\"publicationDate\":\"2024-01-01\",\"publicationTypes\":\"Journal Article\",\"fieldsOfStudy\":null,\"isOpenAccess\":false,\"openAccessPdf\":\"https://www.ncbi.nlm.nih.gov/pmc/articles/PMC10869408/pdf/\",\"citationCount\":\"0\",\"resultStr\":null,\"platform\":\"Semanticscholar\",\"paperid\":null,\"PeriodicalName\":\"Mathematical Programming\",\"FirstCategoryId\":\"100\",\"ListUrlMain\":\"https://doi.org/10.1007/s10107-023-01943-7\",\"RegionNum\":2,\"RegionCategory\":\"数学\",\"ArticlePicture\":[],\"TitleCN\":null,\"AbstractTextCN\":null,\"PMCID\":null,\"EPubDate\":\"2023/3/24 0:00:00\",\"PubModel\":\"Epub\",\"JCR\":\"Q2\",\"JCRName\":\"COMPUTER SCIENCE, SOFTWARE ENGINEERING\",\"Score\":null,\"Total\":0}","platform":"Semanticscholar","paperid":null,"PeriodicalName":"Mathematical Programming","FirstCategoryId":"100","ListUrlMain":"https://doi.org/10.1007/s10107-023-01943-7","RegionNum":2,"RegionCategory":"数学","ArticlePicture":[],"TitleCN":null,"AbstractTextCN":null,"PMCID":null,"EPubDate":"2023/3/24 0:00:00","PubModel":"Epub","JCR":"Q2","JCRName":"COMPUTER SCIENCE, SOFTWARE ENGINEERING","Score":null,"Total":0}
引用次数: 0

摘要

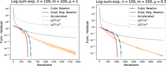
在本文中,我们提出了一种基于任意非欧几里得规范的一阶二阶方案,并将布雷格曼距离纳入其中。它们直接引入牛顿迭代,正则化参数与当前梯度规范的平方根成正比。对于应用于复合凸优化问题的基本方案,我们确定了在函数残差和子梯度规范方面的全局收敛率为 O(k-2)。我们对目标光滑部分的主要假设是其赫西数的 Lipschitz 连续性。对于三度均匀凸函数,我们证明了全局线性收敛率;对于强凸函数,我们证明了局部超线性收敛率。我们的方法可以看作是牛顿方法立方正则化(Nesterov 和 Polyak 在 Math Program 108(1):177-205, 2006)对凸最小化问题的一种放松。这种松弛保留了凸牛顿法的收敛特性和全局复杂性,而每次迭代的辅助子问题则更为简单。我们的方法采用自适应搜索程序来选择正则化参数。我们还提出了一种收敛速率为 O(k-3)的加速方案,其中 k 是迭代计数器。
本文章由计算机程序翻译,如有差异,请以英文原文为准。

Gradient regularization of Newton method with Bregman distances.

Gradient regularization of Newton method with Bregman distances.

Gradient regularization of Newton method with Bregman distances.

Gradient regularization of Newton method with Bregman distances.

In this paper, we propose a first second-order scheme based on arbitrary non-Euclidean norms, incorporated by Bregman distances. They are introduced directly in the Newton iterate with regularization parameter proportional to the square root of the norm of the current gradient. For the basic scheme, as applied to the composite convex optimization problem, we establish the global convergence rate of the order O(k-2) both in terms of the functional residual and in the norm of subgradients. Our main assumption on the smooth part of the objective is Lipschitz continuity of its Hessian. For uniformly convex functions of degree three, we justify global linear rate, and for strongly convex function we prove the local superlinear rate of convergence. Our approach can be seen as a relaxation of the Cubic Regularization of the Newton method (Nesterov and Polyak in Math Program 108(1):177-205, 2006) for convex minimization problems. This relaxation preserves the convergence properties and global complexities of the Cubic Newton in convex case, while the auxiliary subproblem at each iteration is simpler. We equip our method with adaptive search procedure for choosing the regularization parameter. We propose also an accelerated scheme with convergence rate O(k-3), where k is the iteration counter.

求助全文
通过发布文献求助,成功后即可免费获取论文全文。 去求助
来源期刊
Mathematical Programming
Mathematical Programming 数学-计算机:软件工程
CiteScore
5.70
自引率
11.10%
发文量
160
审稿时长
4-8 weeks
期刊介绍: Mathematical Programming publishes original articles dealing with every aspect of mathematical optimization; that is, everything of direct or indirect use concerning the problem of optimizing a function of many variables, often subject to a set of constraints. This involves theoretical and computational issues as well as application studies. Included, along with the standard topics of linear, nonlinear, integer, conic, stochastic and combinatorial optimization, are techniques for formulating and applying mathematical programming models, convex, nonsmooth and variational analysis, the theory of polyhedra, variational inequalities, and control and game theory viewed from the perspective of mathematical programming.
×
引用
GB/T 7714-2015
复制
MLA
复制
APA
复制
导出至
BibTeX EndNote RefMan NoteFirst NoteExpress
×
提示
您的信息不完整,为了账户安全,请先补充。
现在去补充
×
提示
您因"违规操作"
具体请查看互助需知
我知道了
×
提示
确定
请完成安全验证×
copy
已复制链接
快去分享给好友吧!
我知道了
右上角分享
点击右上角分享
0
联系我们:info@booksci.cn Book学术提供免费学术资源搜索服务,方便国内外学者检索中英文文献。致力于提供最便捷和优质的服务体验。 Copyright © 2023 布克学术 All rights reserved.
京ICP备2023020795号-1
ghs 京公网安备 11010802042870号
Book学术文献互助
Book学术文献互助群
群 号:604180095
Book学术官方微信