使用闭环胰岛素输送或传感器增强泵护理1型糖尿病儿童的睡眠质量和数量

IF 5.6 3区 医学 Q2 ENDOCRINOLOGY & METABOLISM
Pediatric Diabetes Pub Date : 2023-06-13 eCollection Date: 2023-01-01 DOI:10.1155/2023/7937007
Juan J Madrid-Valero, Julia Ware, Janet M Allen, Charlotte K Boughton, Sara Hartnell, Malgorzata E Wilinska, Ajay Thankamony, Carine de Beaufort, Ulrike Schierloh, Fiona M Campbell, Judy Sibayan, Laura E Bocchino, Craig Kollman, Roman Hovorka, Alice M Gregory, KidsAP Consortium
{"title":"使用闭环胰岛素输送或传感器增强泵护理1型糖尿病儿童的睡眠质量和数量","authors":"Juan J Madrid-Valero, Julia Ware, Janet M Allen, Charlotte K Boughton, Sara Hartnell, Malgorzata E Wilinska, Ajay Thankamony, Carine de Beaufort, Ulrike Schierloh, Fiona M Campbell, Judy Sibayan, Laura E Bocchino, Craig Kollman, Roman Hovorka, Alice M Gregory, KidsAP Consortium","doi":"10.1155/2023/7937007","DOIUrl":null,"url":null,"abstract":"<p><strong>Introduction: </strong>Parents of children living with type 1 diabetes (T1D) often report short and/or poor quality sleep. The development of closed-loop systems promises to transform the management of T1D. This study compared sleep quality and quantity in caregivers of children using a closed-loop system (CL) or sensor-augmented pump (SAP) therapy.</p><p><strong>Method: </strong>Data from sleep diaries, accelerometers, and questionnaires were provided by forty parents (classified as caregiver 1 (main analyses) or 2 (supplementary analyses) based on their contribution towards treatment management) of 21 very young children aged 1 to 7 years living with T1D (mean age: 4.7 (SD = 1.7)). Assessments were made at a single post-randomisation time point when the child was completing either the 16-week CL arm (<i>n</i> = 10) or the 16-week SAP arm (<i>n</i> = 11) of the main study.</p><p><strong>Results: </strong>Overall, there was a mixed pattern of results and group differences were not statistically significant at the <i>p</i> < 0.05 level. However, when we consider the direction of results and results from caregiver 1, sleep diary data showed that parents of the CL (as compared to the SAP) group reported a shorter sleep duration but better sleep quality, fewer awakenings, and less wake after sleep onset (WASO). Actiwatch data showed that caregiver 1 of the CL (as compared to the SAP) group had a shorter sleep latency; greater sleep efficiency; and less wake after sleep onset. Results from the Pittsburgh Sleep Quality Index also showed better sleep quality for caregiver 1 of the CL group as compared to the SAP group.</p><p><strong>Conclusions: </strong>Results from this study suggest that sleep quality and quantity in parents of children using CL were not significantly different to those using SAP. Considering effect sizes and the direction of the non-significant results, CL treatment could be associated with better sleep quality in the primary caregiver. However, further research is needed to confirm these findings. This trial is registered with NCT05158816.</p>","PeriodicalId":19797,"journal":{"name":"Pediatric Diabetes","volume":" ","pages":"7937007"},"PeriodicalIF":5.6000,"publicationDate":"2023-06-13","publicationTypes":"Journal Article","fieldsOfStudy":null,"isOpenAccess":false,"openAccessPdf":"https://www.ncbi.nlm.nih.gov/pmc/articles/PMC12016902/pdf/","citationCount":"0","resultStr":"{\"title\":\"Sleep Quality and Quantity in Caregivers of Children with Type 1 Diabetes Using Closed-Loop Insulin Delivery or a Sensor-Augmented Pump.\",\"authors\":\"Juan J Madrid-Valero, Julia Ware, Janet M Allen, Charlotte K Boughton, Sara Hartnell, Malgorzata E Wilinska, Ajay Thankamony, Carine de Beaufort, Ulrike Schierloh, Fiona M Campbell, Judy Sibayan, Laura E Bocchino, Craig Kollman, Roman Hovorka, Alice M Gregory, KidsAP Consortium\",\"doi\":\"10.1155/2023/7937007\",\"DOIUrl\":null,\"url\":null,\"abstract\":\"<p><strong>Introduction: </strong>Parents of children living with type 1 diabetes (T1D) often report short and/or poor quality sleep. The development of closed-loop systems promises to transform the management of T1D. This study compared sleep quality and quantity in caregivers of children using a closed-loop system (CL) or sensor-augmented pump (SAP) therapy.</p><p><strong>Method: </strong>Data from sleep diaries, accelerometers, and questionnaires were provided by forty parents (classified as caregiver 1 (main analyses) or 2 (supplementary analyses) based on their contribution towards treatment management) of 21 very young children aged 1 to 7 years living with T1D (mean age: 4.7 (SD = 1.7)). Assessments were made at a single post-randomisation time point when the child was completing either the 16-week CL arm (<i>n</i> = 10) or the 16-week SAP arm (<i>n</i> = 11) of the main study.</p><p><strong>Results: </strong>Overall, there was a mixed pattern of results and group differences were not statistically significant at the <i>p</i> < 0.05 level. However, when we consider the direction of results and results from caregiver 1, sleep diary data showed that parents of the CL (as compared to the SAP) group reported a shorter sleep duration but better sleep quality, fewer awakenings, and less wake after sleep onset (WASO). Actiwatch data showed that caregiver 1 of the CL (as compared to the SAP) group had a shorter sleep latency; greater sleep efficiency; and less wake after sleep onset. Results from the Pittsburgh Sleep Quality Index also showed better sleep quality for caregiver 1 of the CL group as compared to the SAP group.</p><p><strong>Conclusions: </strong>Results from this study suggest that sleep quality and quantity in parents of children using CL were not significantly different to those using SAP. Considering effect sizes and the direction of the non-significant results, CL treatment could be associated with better sleep quality in the primary caregiver. However, further research is needed to confirm these findings. This trial is registered with NCT05158816.</p>\",\"PeriodicalId\":19797,\"journal\":{\"name\":\"Pediatric Diabetes\",\"volume\":\" \",\"pages\":\"7937007\"},\"PeriodicalIF\":5.6000,\"publicationDate\":\"2023-06-13\",\"publicationTypes\":\"Journal Article\",\"fieldsOfStudy\":null,\"isOpenAccess\":false,\"openAccessPdf\":\"https://www.ncbi.nlm.nih.gov/pmc/articles/PMC12016902/pdf/\",\"citationCount\":\"0\",\"resultStr\":null,\"platform\":\"Semanticscholar\",\"paperid\":null,\"PeriodicalName\":\"Pediatric Diabetes\",\"FirstCategoryId\":\"3\",\"ListUrlMain\":\"https://doi.org/10.1155/2023/7937007\",\"RegionNum\":3,\"RegionCategory\":\"医学\",\"ArticlePicture\":[],\"TitleCN\":null,\"AbstractTextCN\":null,\"PMCID\":null,\"EPubDate\":\"2023/1/1 0:00:00\",\"PubModel\":\"eCollection\",\"JCR\":\"Q2\",\"JCRName\":\"ENDOCRINOLOGY & METABOLISM\",\"Score\":null,\"Total\":0}","platform":"Semanticscholar","paperid":null,"PeriodicalName":"Pediatric Diabetes","FirstCategoryId":"3","ListUrlMain":"https://doi.org/10.1155/2023/7937007","RegionNum":3,"RegionCategory":"医学","ArticlePicture":[],"TitleCN":null,"AbstractTextCN":null,"PMCID":null,"EPubDate":"2023/1/1 0:00:00","PubModel":"eCollection","JCR":"Q2","JCRName":"ENDOCRINOLOGY & METABOLISM","Score":null,"Total":0}
引用次数: 0

摘要

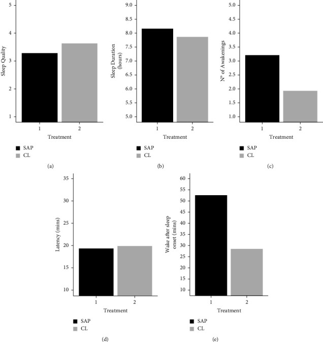
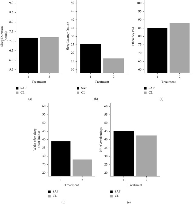
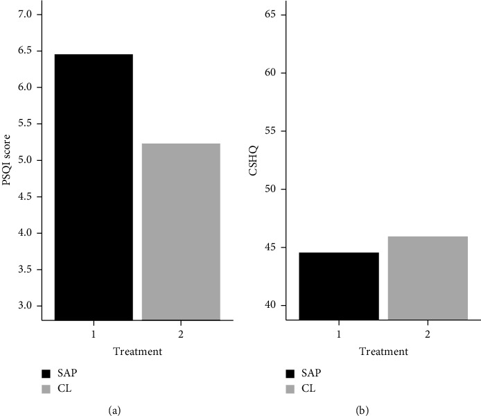
介绍。患有1型糖尿病(T1D)儿童的父母经常报告睡眠不足和/或睡眠质量差。闭环系统的发展有望改变T1D的管理。本研究比较了使用闭环系统(CL)或传感器增强泵(SAP)治疗的儿童护理人员的睡眠质量和睡眠量。方法。来自睡眠日记、加速度计和问卷的数据由40位父母(根据他们对治疗管理的贡献分为看护1(主要分析)或2(补充分析))提供,这些父母为21名1至7岁患有T1D的幼儿(平均年龄:4.7 (SD = 1.7))。在儿童完成主要研究的16周CL组(n = 10)或16周SAP组(n = 11)时,在随机化后的单个时间点进行评估。结果。总体而言,结果混合模式,组间差异在p < 0.05水平上无统计学意义。然而,当我们考虑结果的方向和照顾者1的结果时,睡眠日记数据显示,与SAP组相比,CL组的父母报告的睡眠时间更短,但睡眠质量更好,更少的觉醒,更少的睡眠后醒来(WASO)。Actiwatch数据显示,与SAP组相比,CL组护理人员1的睡眠潜伏期较短;提高睡眠效率;睡眠开始后醒得更少。匹兹堡睡眠质量指数的结果也显示,与SAP组相比,CL组的护理人员的睡眠质量更好。结论。本研究结果表明,使用CL的儿童父母的睡眠质量和睡眠量与使用SAP的儿童父母的睡眠质量和睡眠量没有显著差异。考虑到效应量和非显著结果的方向,CL治疗可能与主要照顾者的睡眠质量改善有关。然而,需要进一步的研究来证实这些发现。本试验注册号为NCT05158816。
本文章由计算机程序翻译,如有差异,请以英文原文为准。

Sleep Quality and Quantity in Caregivers of Children with Type 1 Diabetes Using Closed-Loop Insulin Delivery or a Sensor-Augmented Pump.

Sleep Quality and Quantity in Caregivers of Children with Type 1 Diabetes Using Closed-Loop Insulin Delivery or a Sensor-Augmented Pump.

Sleep Quality and Quantity in Caregivers of Children with Type 1 Diabetes Using Closed-Loop Insulin Delivery or a Sensor-Augmented Pump.

Sleep Quality and Quantity in Caregivers of Children with Type 1 Diabetes Using Closed-Loop Insulin Delivery or a Sensor-Augmented Pump.

Introduction: Parents of children living with type 1 diabetes (T1D) often report short and/or poor quality sleep. The development of closed-loop systems promises to transform the management of T1D. This study compared sleep quality and quantity in caregivers of children using a closed-loop system (CL) or sensor-augmented pump (SAP) therapy.

Method: Data from sleep diaries, accelerometers, and questionnaires were provided by forty parents (classified as caregiver 1 (main analyses) or 2 (supplementary analyses) based on their contribution towards treatment management) of 21 very young children aged 1 to 7 years living with T1D (mean age: 4.7 (SD = 1.7)). Assessments were made at a single post-randomisation time point when the child was completing either the 16-week CL arm (n = 10) or the 16-week SAP arm (n = 11) of the main study.

Results: Overall, there was a mixed pattern of results and group differences were not statistically significant at the p < 0.05 level. However, when we consider the direction of results and results from caregiver 1, sleep diary data showed that parents of the CL (as compared to the SAP) group reported a shorter sleep duration but better sleep quality, fewer awakenings, and less wake after sleep onset (WASO). Actiwatch data showed that caregiver 1 of the CL (as compared to the SAP) group had a shorter sleep latency; greater sleep efficiency; and less wake after sleep onset. Results from the Pittsburgh Sleep Quality Index also showed better sleep quality for caregiver 1 of the CL group as compared to the SAP group.

Conclusions: Results from this study suggest that sleep quality and quantity in parents of children using CL were not significantly different to those using SAP. Considering effect sizes and the direction of the non-significant results, CL treatment could be associated with better sleep quality in the primary caregiver. However, further research is needed to confirm these findings. This trial is registered with NCT05158816.

求助全文
通过发布文献求助,成功后即可免费获取论文全文。 去求助
来源期刊
Pediatric Diabetes
Pediatric Diabetes 医学-内分泌学与代谢
CiteScore
6.60
自引率
14.70%
发文量
141
审稿时长
4-8 weeks
期刊介绍: Pediatric Diabetes is a bi-monthly journal devoted to disseminating new knowledge relating to the epidemiology, etiology, pathogenesis, management, complications and prevention of diabetes in childhood and adolescence. The aim of the journal is to become the leading vehicle for international dissemination of research and practice relating to diabetes in youth. Papers are considered for publication based on the rigor of scientific approach, novelty, and importance for understanding mechanisms involved in the epidemiology and etiology of this disease, especially its molecular, biochemical and physiological aspects. Work relating to the clinical presentation, course, management and outcome of diabetes, including its physical and emotional sequelae, is considered. In vitro studies using animal or human tissues, whole animal and clinical studies in humans are also considered. The journal reviews full-length papers, preliminary communications with important new information, clinical reports, and reviews of major topics. Invited editorials, commentaries, and perspectives are a regular feature. The editors, based in the USA, Europe, and Australasia, maintain regular communications to assure rapid turnaround time of submitted manuscripts.
×
引用
GB/T 7714-2015
复制
MLA
复制
APA
复制
导出至
BibTeX EndNote RefMan NoteFirst NoteExpress
×
提示
您的信息不完整,为了账户安全,请先补充。
现在去补充
×
提示
您因"违规操作"
具体请查看互助需知
我知道了
×
提示
确定
请完成安全验证×
copy
已复制链接
快去分享给好友吧!
我知道了
右上角分享
点击右上角分享
0
联系我们:info@booksci.cn Book学术提供免费学术资源搜索服务,方便国内外学者检索中英文文献。致力于提供最便捷和优质的服务体验。 Copyright © 2023 布克学术 All rights reserved.
京ICP备2023020795号-1
ghs 京公网安备 11010802042870号
Book学术文献互助
Book学术文献互助群
群 号:604180095
Book学术官方微信